Papers by Ahmad Hassanzadeh

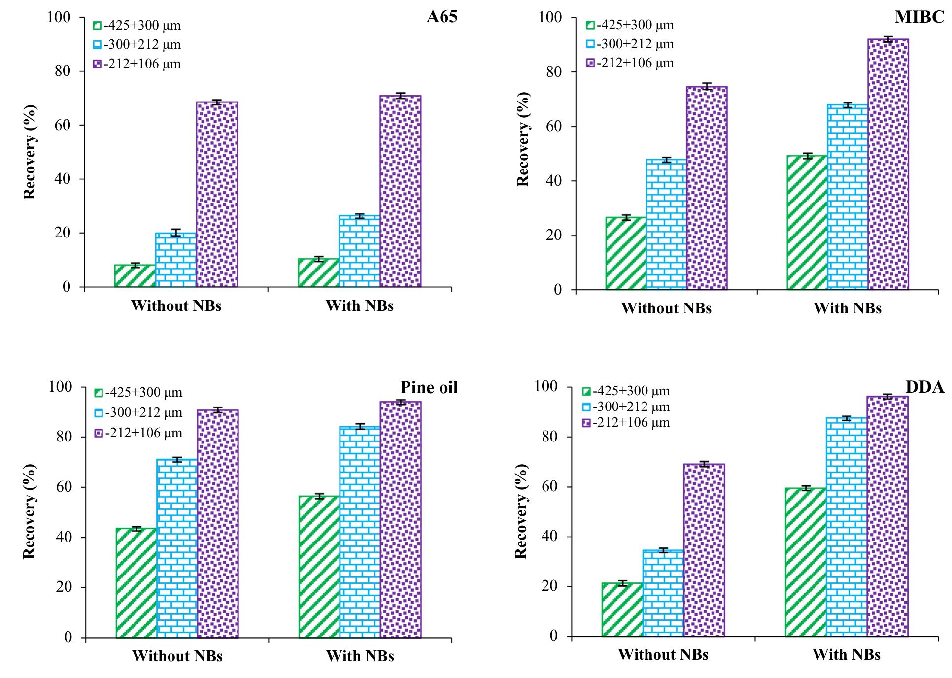
Dodecylamine (DDA) is a commonly used collector in the froth flotation of quartz particles. The p... more Dodecylamine (DDA) is a commonly used collector in the froth flotation of quartz particles. The present work for the first time studies the effect of DDA nanobubbles (NBs) on the flotation of coarse particles (−425 + 300 μm, −300 + 212 μm and − 212 + 106 μm). For this purpose, 50 mg/l DDA was employed as a primary material for producing bulk NBs via hydrodynamic cavitation technique to be used in the flotation kinetics tests. For comparative purposes, pine oil (PO), Methyl Isobutyl Carbinol (MIBC) and polypropylene glycol (A65) with a concentration of 22.4 mg/l were utilized for generating NBs and also as a frother. According to the results, generated NBs categorized based on the stability and mean bubble size as DDA > PO > MIBC>A65. The flotation rate constants (k) and ultimate recoveries (R max) obtained in the presence of the DDA-NBs were substantially improved compared to the corresponding values given for the frother types NBs. That was mainly related to the chemical func-tionality of the agent together with its extended stability. The experimental results showed a R max of 97.5% using the DDA-NBs in the condition of without any frother; however, the highest recovery using common air bubbles (CBs) was obtained 90.8% by the PO. Additionally, the influential order of the three frothers and the DDA on flo-tation rate constant was shown as DDA > PO > MIBC>A65 for each fraction size. Finally, the results indicated that the k and R max of coarse particles were improved by 22% and 21% in the presence of the DDA-NBs.

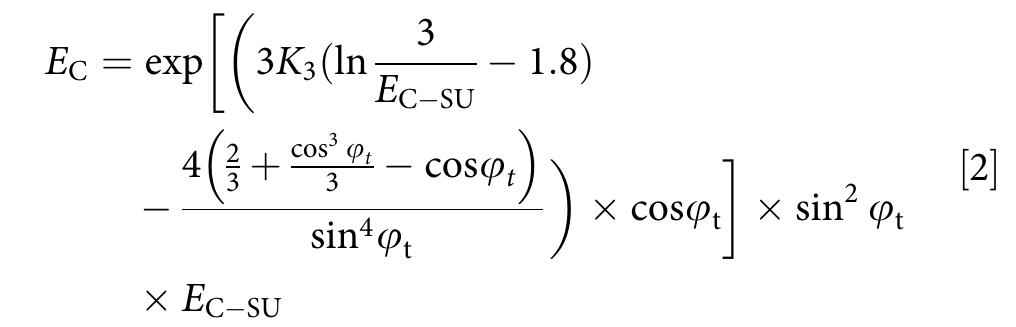
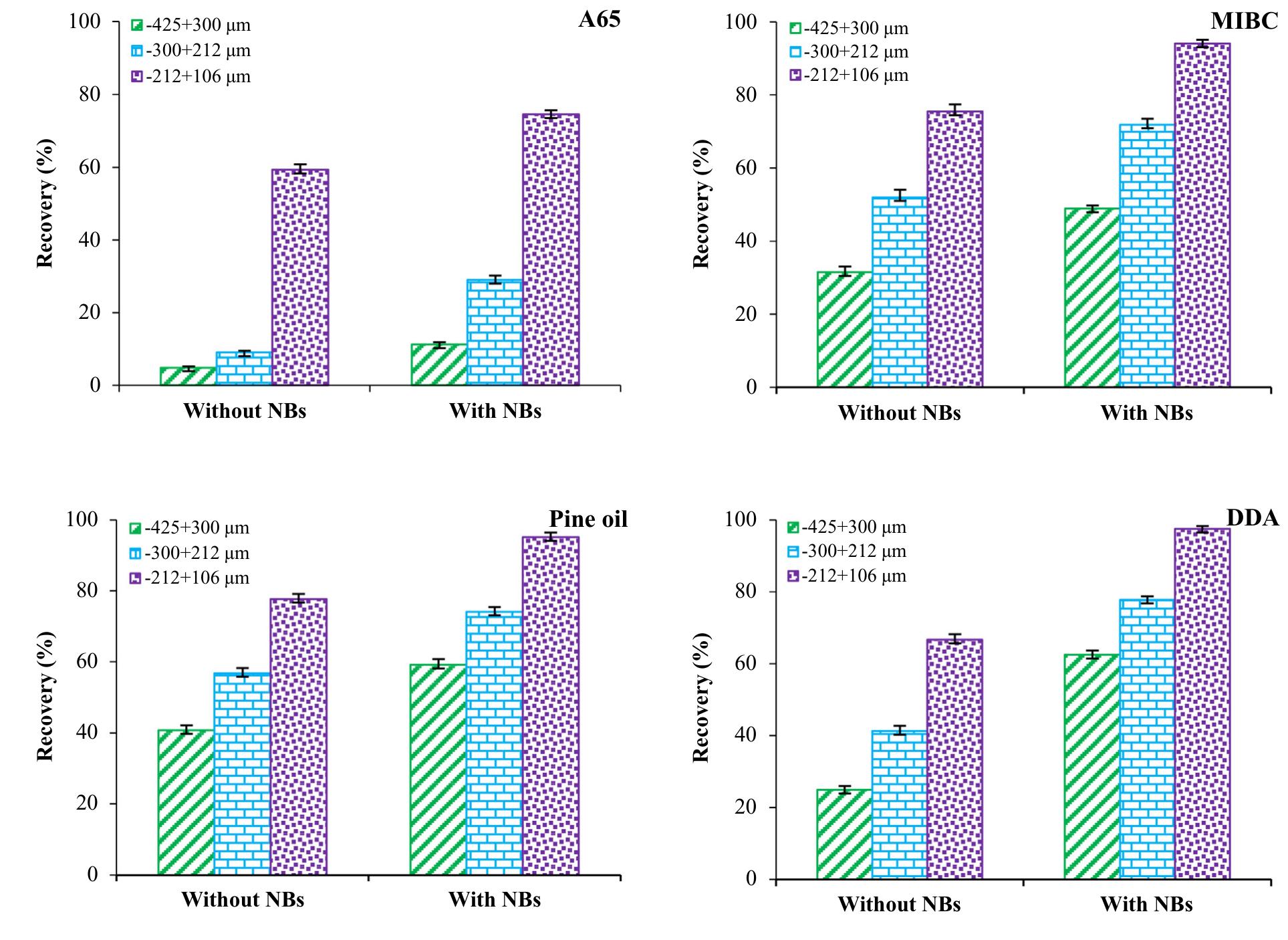
Although submicron (nano)-bubbles (NBs) have been broadly used in the laboratory flotation proces... more Although submicron (nano)-bubbles (NBs) have been broadly used in the laboratory flotation processes, the role of critical factors in their generation is not adequately explored in the literature. The present study investigates the effect of six key factors on generating submicron-sized bubbles and its application to coarse-sized quartz flotation. Interaction of influential factors is highlighted, which was generally overlooked in previous studies. These parameters i.e. frother type (MIBC and A65), frother dosage (50-130 mg/L), air flow rate (0.1-0.4 L/min), pressure in Venturi tube (250-400 kPa), liquid temperature (22-42 °C) and pH (6-10) were evaluated through software based statistical fractional factorial design. The size distribution of NBs produced by the principle of hydrodynamic cavitation was measured using a laser particle size analyzer (LPSA), and Sauter mean bubble diameter (d32) was considered as the response of experimental design. Batch flotation experiments were performed with and without the A65 and MIBC-NBs. The results of experimental design showed that relative intensity of the main factors followed the order of air flow rate>temperature>frother type as the most effective parameters on the bubble size. It was revealed that the lowest air flow rate (0.1 L/min) produced the smallest bubbles. Meanwhile, the d32 decreased as the liquid temperature increased, and the bubble size strongly was related to the frother type and its concentration. Indeed, with changing frother from MIBC to A65, the reduction in mean bubble size was twofold. Interaction of frother type with its dosage, air flow rate and pressure were statistically recognized significant on the mean bubble size, which was confirmed by p-values. Finally, flotation recovery of quartz particles improved ca. 22% in the presence of NBs compared to the conventional flotation.

It has been known that the power ultrasound is used as a pretreatment and rarely applied as a sim... more It has been known that the power ultrasound is used as a pretreatment and rarely applied as a simultaneous method to improve grade and recovery during froth flotation processes. This work aimed at investigating the impact of simultaneously used ultrasonic waves under variant operating configurations on the flotation of representative porphyry copper ore during rougher and re-cleaner stages. For this purpose, four different operating outlines were examined as (I) conventional flotation, (II) homogenizer, (III) ultrasonic bath, and (IV) combination of a homogenizer and an ultrasonic bath. The ultrasonic vibration was generated by the homogenizer (21 kHz, 1 kW) in the froth zone and ultrasonic bath (35 kHz, 0.3 kW) in the bulk zone. The rougher and re-cleaner flotation experiments were conducted using Denver-type mechanically agitated cells with 4.2 and 1 L capacities, respectively. The results showed that using the homogenizer (at 0.4 kW) slightly affected the selectivity separation index of chalcopyrite and pyrite, although it positively increased the grade of chalcopyrite from 21.5% to 25.7%. The ultrasonic-assisted flotation experiments with the ultrasonic bath and its combination with the homogenizer (0.4 kW) (i.e., configurations III and IV) led to an increase of approximately 16.1% and 26.9% in the chalcopyrite selectivity index compared to the conventional flotation, respectively. At the cleaning stage, a lower grade of aluminum silicate-based minerals was obtained desirably in every ultrasonic-treated configuration, which was supported with the water recoveries. Finally, applying the homogenizer and its combination with the ultrasonic bath were recommended for re-cleaner and rougher stages, respectively. Further fundamental and practical knowledge gaps required to be studied were highlighted.

Minerals, 2020
The dominant challenge of current copper beneficiation plants is the low recoverability of oxide ... more The dominant challenge of current copper beneficiation plants is the low recoverability of oxide copper-bearing minerals associated with sulfide type ones. Furthermore, applying commonly used conventional methodologies does not allow the interactional effects of critical parameters in the flotation processes to be investigated, which is mostly overlooked in the literature. To tackle this issue, the present paper aimed at characterizing the behavior of five key effective factors and their interactions in a sulfidized copper ore. In this context, dosage of collector (sodium di-ethydithiophosphate, 60-100 g/t), depressant (sodium silicate, 80-120 g/t) and frother (methyl isobutyl carbinol (MIBC), 6-10 g/t), pulp pH (7-11) and agitation rate (900-1300 rpm) were examined and statistically analyzed using response surface methodology. Flotation experiments were conducted in a Denver type agitated flotation cell at the rougher stage. The experimental results showed that increasing the pH (from 8 to 10) at low agitation rate (1000 rpm) enhanced the recovery from 80.36% to 85.22%, while at high agitation rate (1200 rpm), a slight declination occurred in the recovery. Meanwhile, increasing the collector dosage at a lower frother value (7 g/t), caused a reduction of about 4.44% in copper recovery owing to the interactions between factors, whereas at a higher frother level (9 g/t), the recovery was almost unchanged. The optimization process was also performed using the goal function approach, and maximum copper recovery of 92.75% was obtained using~70 g/t collector, 110 g/t depressant, 7 g/t frother, pulp pH of 10 and 1000 rpm agitation rate.

Chemical Engineering Research and Design, 2019
In flotation, the froth characteristics strongly influence the separation process as t... more In flotation, the froth characteristics strongly influence the separation process as they are
linked to water recovery, bubble size, entrainment of gangue particles, flotation rate constants and finally grade and recovery. In the case of a high-grade apatite ore with a high mass
pull in lab-scale flotation, significant changes in pulp and froth properties occur, such that
the froth stability decreases with increasing flotation time. These changes can be related
to different particle and reagent concentrations. We describe the change of entrainment in
a rich apatite ore batch flotation with time more precisely by measuring froth properties
using a Dynamic Froth Analyzer (DFA). It is concluded that the degree of entrainment is not
only dependent on particle size but also the pulp density due to its effect on particle settling
and also froth properties in varying resistance to drainage. Through a combination of timeresolved dynamic froth analysis and automated mineralogy, we identify the dynamic effects
governing in the froth and compare the entrainment results with existing models. Furthermore, our analyses offer novel support for the extension of the common understanding of
the entrainment phenomena.

Powder Technology, 2019
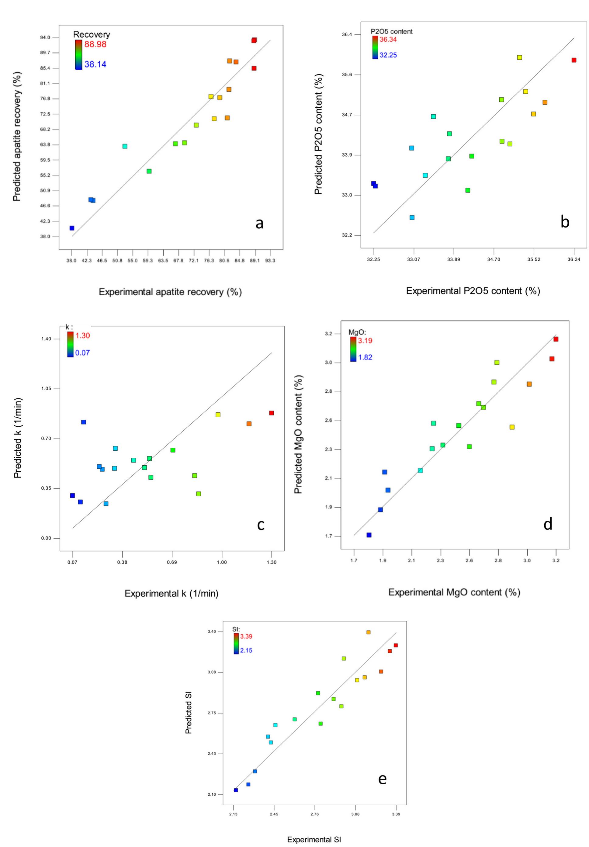
The flotation beneficiation of phosphate ore is increasingly facing challenges, especially for fi... more The flotation beneficiation of phosphate ore is increasingly facing challenges, especially for finely disseminated sedimentary ores rich in carbonates. This study aims to optimize and assess the impact of key hydrodynamic parameters including pulp density, air flowrate and impeller speed on flotation and metallurgical responses (i.e. grade, recovery, flotation rate constant and selectivity index (SI)). We carried out locked cycle flotation tests using the best conditions from the rougher flotation test to generate an experimental simulation of a continuous circuit. The mineralogical and chemical properties were characterized by mineral liberation analysis (MLA) and inductively coupled plasma optical emission spectroscopy (ICP-OES) techniques, respectively. A modified-McGill bubble size viewer was used for measuring bubble sizes and evaluating the interaction between hydrodynamic factors and bubble diameters. Finally, the design of experiment (DOE) method was applied to determine the relative intensity of the studied factors. It was found that under optimal conditions with the targets of high recovery and maximum SI, the final apatite concentrate achieved a recovery of 86.3% at a grade of 35.5%, while the MgO content was 1.2% and 84.3% of dolomite was removed from a feed ore containing about 25% P 2 O 5 , 4.6% MgO, and 41% CaO. Furthermore, another locked cycle flotation test showed that a 0.82% MgO content in the final apatite concentrate can be achieved with an apatite recovery of 75.6% at a P 2 O 5 grade of 36.76%, and a ratio CaO/P 2 O 5 = 1.33. The obtained concentrate in this investigation under the optimum conditions is the highest in both apatite recovery and grade with low MgO content reported in the literature.

ENERGY SOURCES, PART A: RECOVERY, UTILIZATION, AND ENVIRONMENTAL EFFECTS, 2020
The present work initially studies the impact of a laboratory microwave
(MW)’s location (before a... more The present work initially studies the impact of a laboratory microwave
(MW)’s location (before and after a jaw crusher) on grindability of a copper
ore. Additionally, the role of MW’s radiation time (15–150 sec) and grinding
time (13, 15 and 17 min) on the produced particle size distribution (PSD),
mineral liberation degree (LD) and energy consumption are investigated.
relative work index (RWI), standard Bond work index (Wi), and grindability
index (GI) together with the breakage and selection functions were utilized
to assess the grinding efficiency and its kinetics of the untreated and MWpretreated (at a constant power of 0.9 kW) samples. Bond work indices were
obtained 13.70, 13.04 and 10.86 kWh/t for the untreated, MW-treated
uncrushed and MW-treated crushed samples, respectively. Besides, the
results confirmed that the microwave pretreatment was comparatively
effective at the shortest grinding time (13 min). Furthermore, locating the
microwave after the crushing stage indicated substantial improvements in
the sample’s grindability and its kinetics rate. The product size (P80) of the
MW-treated crushed sample (13 min, 0.9 kW, 150 sec) showed enhancements of 27% and 17% in comparison with the un-microwaved and MWtreated uncrushed samples. Finally, the comparative GIs acquired in the
entire spectrum of the particle range were reasonably higher if the microwave was located after the jaw crusher, particularly for the coarse fraction
sizes

Physicochemical Problems of Mineral Processing, 2020
The present work aims at investigating the effect of microwave local positions (i.e. before crush... more The present work aims at investigating the effect of microwave local positions (i.e. before crushing (BC), after crushing (AC) and after milling (AM)) on microwave-assisted flotation of chalcopyrite and pyrite in a porphyry copper complex deposit. Individual given samples for each state were pre-treated with a variable power microwave at a power level of 90 to 900W for 15, 30, and 60s. Furthermore, froth floatation experiments were carried out using a laboratory mechanical Denver flotation cell on both microwave-treated and untreated samples. Particle surface properties were characterized by a scanning electron microscopy (SEM) and an energy-dispersive X-ray spectroscopy (EDX) analysis. The results showed that the chalcopyrite and pyrite floatabilities increased monotonically by rising the exposure time and power level for the uncrushed preconditioned samples (BC) due to the enhancement of mineral liberation degrees together with the formation of sulphide species and polysulphides on the mineral surfaces. However, flotation results of treated samples for the crushed one (AC) revealed an optimum range. Formation of intensive oxide layers on the mineral surfaces of milled samples (AM) led to a substantial reduction in their recoveries by increasing the microwave's power level and the sample's exposure time. The results obtained from mineral's floatabilities in recleaner stage showed that the microwave-assisted sample at 900W for 30s at BC state favourably provided 5% higher S.E.'s than that of the untreated sample. Finally, it was concluded that the microwave pretreatment of samples induced the best floatability responses if it located before the crusher.

Minerals Engineering, 2019
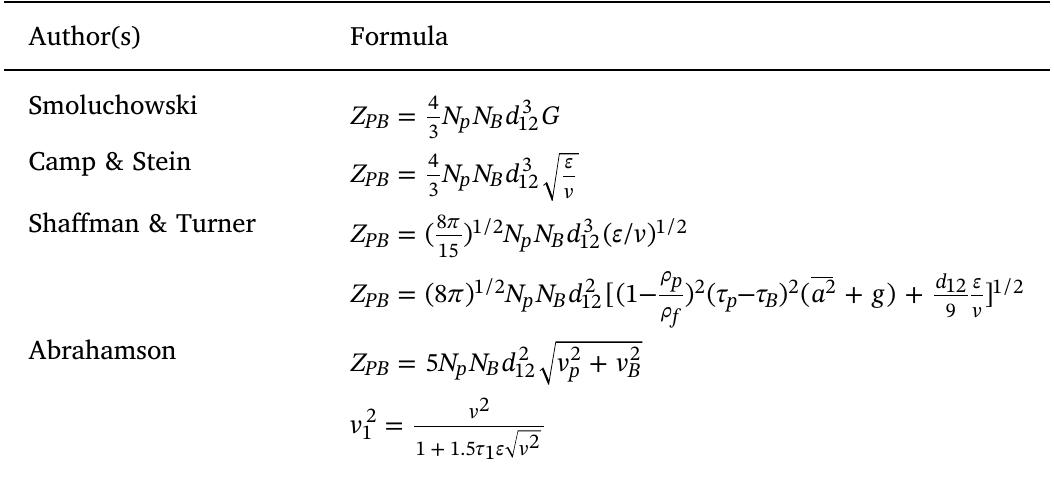
Particle-bubble sub-processes cannot be directly and physically obtained in froth flotation due t... more Particle-bubble sub-processes cannot be directly and physically obtained in froth flotation due to the complexity of the process as well as numerous and dynamic interactions of particles and bubbles in an extremely intensive turbulent condition. Therefore, over the last three decades, two fundamental model configurations have been used as an only solution for prediction of particle-bubble collection efficiencies (E coll). Additionally, the relative intensity of the main flotation parameters on flotation rate constant, particle-bubble interactions together with their interrelations is not adequately addressed in the literature. The present study attempts in two separate phases to overcome these difficulties. In the first stage, prediction and evaluation of particle-bubble sub-processes are critically discussed by categorizing them in two configurations. The analytical models (approach I) commonly applied generalized Sutherland equation (E c GSE), modified Dobby-Finch (E a DF) and modified Schulze stability (E s SC) models. The second approach, numerical models, utilized Yoon-Luttrell (E c YL), Yoon-Luttrell (intermediate) (E a YL) and modified Schulze stability (E s SC) models. In the second stage, relative intensity and interrelation of key effective hydrodynamic parameters on the probability of particle-bubble encounter (E c) and flotation rate constant (k) are obtained and optimized by means of the response surface modeling (RSM) based on central composite design (CCD). Five key factors including particle size (1-100 µm), particle density (1.3-4.1 kg/m 3), bubble size (0.05-0.10 cm) and bubble velocity (10-30 cm/s) together with turbulence dissipation rate (18-30 m 2 /s 3) are considered in order to maximize the responses including the k and E c. The results obtained show that the E coll calculated by numerical techniques (configuration (II)) is greater than that of analytical approaches (configuration (I)) due to assumptions involved in using Yoon-Luttrell collision and attachment models. It is also found that under the conditions studied, particle size and bubble velocity are the most effective factors on E c and k, respectively. Furthermore, not only the relative significance of factors on E c and k but also the interrelation of cell turbulence and bubble size as well as bubble velocity and turbulence are shown to be inconsistent in the literature and thus require further studies. We briefly reported the main long-standing challenges in flotation kinetic modeling and emphasized on a serious need for fulfilling lack of physical observations. Finally, the presented analyses with respect to three-zone model offer a new concept for the extension of common flotation modeling approach using analytical and numerical techniques.

Journal of Dispersion Science and Technology , 2019
Despite flotation kinetic modeling is well discussed in the literature, its evaluation from overf... more Despite flotation kinetic modeling is well discussed in the literature, its evaluation from overfitting, the number of model parameters and model complexities have not been adequately addressed. Flotation kinetic behavior of two deposits including an elevated-pyritic (Cu/S ¼ 0.21) complex copper sulfide ore and a high-grade carbonaceous sedimentary apatite (P 2 O 5 ! 25%) ore were investigated. The flotation kinetic experiments were carried out in a mechanically agitated batch flotation cell. Different flotation kinetic models including seven common empirical and initially four mathematical models were applied to the experimental data. In addition to assessment of the goodness of fit (GOF) for each model, a factor of model complexity was considered using advanced statistical techniques (i.e. Bayesian information (BIC), low of iterated logarithm (LILC) and Akaike information (AIC) indices). The results confirmed that flotation kinetic modeling significantly depends on the feed type. The empirical models were found more sensitive than the mathematical ones to the ore properties and the mineral types. Furthermore, the mathematical models demonstrated relatively favorable results than the practical models concerning the variation of ore properties due to the consideration of more parameters in the modeling. Finally, it was concluded that the IC indices must be applied to the process of model selection owing to consideration of GOF, the complexity of a model and model consistency. The IC was introduced as a more reliable indicator than the common regression approach for evaluating, sequential ordering and selecting the suitable flotation kinetic models. Further studies are required for model's generalizability from a statistical point of view.

Misreported pyrite into copper concentrates dramatically declines copper grade and recovery. Copp... more Misreported pyrite into copper concentrates dramatically declines copper grade and recovery. Copper flotation can be also more complicated if flotation feed comes from an elevated-pyritic copper ore. In this investigation, the effect of two different ore types (high pyritic and low pyritic feeds) was studied on rougher stage of industrial copper flotation circuit. Samples were taken from different streams and the structure of chalcopyrite within the pyrite and non-sulfide gangue minerals was examined in various size fractions for mentioned ore types. Results indicated that 72% and 56% of the total floated pyrite was transferred to concentrate in first four cells in the low and high pyritic feeds, respectively. Whereas, this proportion for floated SiO 2 in last ten cells was detected as 72% and 71%, respectively. A detailed interpretation of the effect of locked particles in different size fractions on rougher flotation cells is studied from industrial point of view.

In this study, Schulze collision inertial model was employed to investigate the effec... more In this study, Schulze collision inertial model was employed to investigate the effect of neglecting the negative inertial forces in collision efficiency and flotation rate constant predictions. The model evaluation was carried out with the Generalized Sutherland Equation (GSE) model in which the estimation of both positive and negative inertial forces have been well accounted. The general flotation kinetic model has been used in this study to demonstrate changes when the negative particle inertia is omitted. Theoretical comparisons were made on two minerals, i.e. quartz and chalcopyrite. The effect of particle density on the modified kinetic model was very significant when a dense mineral like galena was used. This reveals that the general flotation rate model is very sensitive to the substitution of Schulze model. Results obtained were far from satisfactory and show that the Schulze model cannot cope with the change of density very well. It was found that when Schulze collision model was implemented in flotation rate constant calculation, there is a wide range of particle size which is not strongly influenced by parameters such as bubble size and velocity, and particle density and results are very close to each other. This is not in good agreement with the experimental results or GSE model data.

This paper provides a comprehensive critical review of available studies on analytical and numeri... more This paper provides a comprehensive critical review of available studies on analytical and numerical modeling including computational fluid dynamics (CFD), as well as experimental approaches to determine the parti-cle–bubble interactions in flotation cells. The effects of some significant factors such as particle density, bubble size and velocity, and cell turbulence on the particle–bubble encounter are investigated in detail. This review indicates that interception collision models established based on stream functions are not applicable as they ignore the turbulence effect. The streamlines are not stationary in turbulent conditions and constantly change throughout time and space. Furthermore, the analytical models are restricted because of poor estimation of collision angle, Stokes numbers, effect of particle density and disregarding microhydrodynamic forces and turbulence effects. Unlike analytical modeling, numerical modeling is a very powerful technique for evaluating particle–bubble encounter interactions. The role of particle density and turbulence in particle–bubble encounter can be best identified by numerical methods. However, there is lack of experimental data to verify these models. Therefore, more specific and direct measurement techniques are required to develop accurate estimation of particle–bubble encounter probabilities. This review finally highlights the gaps in the evaluation of particle–-bubble encounter efficiency and recommends further works to investigate relationships between hydrodynamic properties, particle–bubble characterizations, flotation kinetic rates and particle–bubble encounter interactions.

The Canadian Journal of Metallurgy and Materials Science , 2018
An industrial ball mill operating in closed-circuit with hydrocyclones was studied by five sampli... more An industrial ball mill operating in closed-circuit with hydrocyclones was studied by five sampling
surveys. The aim of the present study was to optimise operating parameters (i.e. charge volume,
make-up ball size regime, slurry mean residence time, number of hydrocyclones in operation and
hydrocyclone’s feed solids content (Sf)) with respect to increasing throughout from 225 to 300 tons
per hour (tph). The obtained results showed that increasing charge volume from 32 to 39% led to
producing approximately 9% finer product size (P80). Binary ball size regime rather than using
mono-sized balls resulted in reduction of theP80relatively 5%. The Sf
was identified as the most
effective parameter on grinding efficiency. The cut-size plunged dramatically from 130 to 90μmby
reduction ofSf from 54 to 48%. Finally, it was concluded that the capacity of grinding circuit could
be practically increased to 300 tph if all relevant parameters fell into the optimised ranges.

Determining petrophysical parameters in one of the wells of southPars oilfield with Geolog 6.6
Main target of petrophysical investigation is study of rock characterizations and their relations... more Main target of petrophysical investigation is study of rock characterizations and their relations with fluids inside. This investigation utilizes well log information and Geolog software to estimation and develops the reservoir parameters. Also according to resulted data some parameters such as shale volume, well lithology, hydrocarbon zones, porosity, degree of water saturation, fluids percentage are calculated. All of calculations, environmental corrections and drawings are done in GEOLOG 6.6 environment in Probabilistic way. In this study after environmental corrections, neutron and density diagrams are simultaneously used to determine lithological facies. Main lithology in well is Calcite and Anhydrite. The main clay mineral was Illite. The other minerals which exist in well were Dolomite and Orthoclaze. Calculated saturation percentage was 54%. Average porosity in well is 20%. As there are clay minerals in well, they may lead to collapse the well or well deviation from perpendi...

Taylor and Francis, 2017
Comparison between anticipated and measured mean residence time (MRT) along with analysis of the ... more Comparison between anticipated and measured mean residence time (MRT) along with analysis of the shape of residence time distribution (RTD) curves provides the most useful and valid information about mixing properties within a ball mill operating at industrial scale. In this work, the RTD measurements were carried out for a primary ball mill in closed circuit with hydrocyclones at two feed rates (i.e., 280 and 230 tons per hour (t/h)) by means of tracer technique. Also, perfect mixer, N-Mixer, and Weller models were studied to describe the RTD curves. It was found that the mixing condition inside the ball mill was very far from the perfect mixing circumstance. While, N-perfect mixer in series (N-Mixer model) showed better results compared to the large and small tanks in series (Weller model). According to the obtained results of the N-Mixer RTD model, when the ball mill throughput was enhanced from 230 t/h to 280 t/h, the MRT was decreased from 9.92 to 7.39 min, respectively. Moreover, relative variance of N-Mixer model diminished approximately 18% and particle cumulative passing from 75 μm of ball mill discharge increased 9%. Finally, it was concluded that operating in over-filled condition and poor mixing circumstance of slurry were the main reasons of low grinding efficiency.

Obtaining high recovery in coarse particle size fractions has been always under investigation in ... more Obtaining high recovery in coarse particle size fractions has been always under investigation in recent years. In the present study, stage addition of chemical reagents is used to improve copper grade and recovery of coarse size fractions (i.e., >100 µm) at industrial rougher flotation cells. Due to the poor efficiency of primary grinding circuit, coarse particles were detected as predominate size fraction in rougher flotation feed. Sampling results from rougher tailings showed that 58% of precious copper minerals were distributed to size fraction of À 105 þ 297 µm. Stage addition of collectors including sodium isopropyl xanthate (Z11), dithiophosphate and mercaptobenzthiazole (Nascol-451), and xanthateflomin (C-4132) and frothers as methyl isobutyl carbonyl (MIBC) and Aerofroth 65 (A65) were implemented to avoid losing of coarse valuable particles in rougher tailings. Three different patterns were given for stage additions as 75-25-0, 75-0-25, and 75-13-12. The results indicated that copper grade of tailings declined relatively 56% using optimized stage addition of reagents at the head of rougher banks (i.e., 75-13-12). In addition, copper recovery of rougher cells improved around 2%. Size by size analysis of copper recovery for the rougher cells revealed the significant effect of the stage addition of chemical reagents on recovery improvement of coarse particles.
A new insight to the role of bubble properties on inertial effect in particle–bubble interaction

This study was performed in two phases of work. In the first stage, four conventional first-order... more This study was performed in two phases of work. In the first stage, four conventional first-order flotation kinetics models were fitted to the measured recoveries data and the best model were selected. In the second stage, influence of pH, solid concentration, water chemistry and the amount of collector dosage were investigated on kinetics parameters including flotation rate constant and ultimate recovery. The results indicated that that perfectly mixed reactor model and Kelsall model gave the best and the weakest fit to the experimental data, respectively. It was observed that flotation rate constant and ultimate recovery were strongly affected by chemical factors investigated especially water quality. The flotation rate constant decreased with increasing the solids content, while ultimate recovery increased to certain value and thereafter reduced. It was also found that the most values of flotation rate constant and ultimate recovery obtained in dosage of collector are 30 and 40 g/t, respectively.
Uploads
Papers by Ahmad Hassanzadeh
linked to water recovery, bubble size, entrainment of gangue particles, flotation rate constants and finally grade and recovery. In the case of a high-grade apatite ore with a high mass
pull in lab-scale flotation, significant changes in pulp and froth properties occur, such that
the froth stability decreases with increasing flotation time. These changes can be related
to different particle and reagent concentrations. We describe the change of entrainment in
a rich apatite ore batch flotation with time more precisely by measuring froth properties
using a Dynamic Froth Analyzer (DFA). It is concluded that the degree of entrainment is not
only dependent on particle size but also the pulp density due to its effect on particle settling
and also froth properties in varying resistance to drainage. Through a combination of timeresolved dynamic froth analysis and automated mineralogy, we identify the dynamic effects
governing in the froth and compare the entrainment results with existing models. Furthermore, our analyses offer novel support for the extension of the common understanding of
the entrainment phenomena.
(MW)’s location (before and after a jaw crusher) on grindability of a copper
ore. Additionally, the role of MW’s radiation time (15–150 sec) and grinding
time (13, 15 and 17 min) on the produced particle size distribution (PSD),
mineral liberation degree (LD) and energy consumption are investigated.
relative work index (RWI), standard Bond work index (Wi), and grindability
index (GI) together with the breakage and selection functions were utilized
to assess the grinding efficiency and its kinetics of the untreated and MWpretreated (at a constant power of 0.9 kW) samples. Bond work indices were
obtained 13.70, 13.04 and 10.86 kWh/t for the untreated, MW-treated
uncrushed and MW-treated crushed samples, respectively. Besides, the
results confirmed that the microwave pretreatment was comparatively
effective at the shortest grinding time (13 min). Furthermore, locating the
microwave after the crushing stage indicated substantial improvements in
the sample’s grindability and its kinetics rate. The product size (P80) of the
MW-treated crushed sample (13 min, 0.9 kW, 150 sec) showed enhancements of 27% and 17% in comparison with the un-microwaved and MWtreated uncrushed samples. Finally, the comparative GIs acquired in the
entire spectrum of the particle range were reasonably higher if the microwave was located after the jaw crusher, particularly for the coarse fraction
sizes
surveys. The aim of the present study was to optimise operating parameters (i.e. charge volume,
make-up ball size regime, slurry mean residence time, number of hydrocyclones in operation and
hydrocyclone’s feed solids content (Sf)) with respect to increasing throughout from 225 to 300 tons
per hour (tph). The obtained results showed that increasing charge volume from 32 to 39% led to
producing approximately 9% finer product size (P80). Binary ball size regime rather than using
mono-sized balls resulted in reduction of theP80relatively 5%. The Sf
was identified as the most
effective parameter on grinding efficiency. The cut-size plunged dramatically from 130 to 90μmby
reduction ofSf from 54 to 48%. Finally, it was concluded that the capacity of grinding circuit could
be practically increased to 300 tph if all relevant parameters fell into the optimised ranges.