Journal Paper by Ajit Behera

Journal of Materials Engineering and Performance , 2026
Ni-based superalloys have high demand in aero-industry components that operate at high temperatur... more Ni-based superalloys have high demand in aero-industry components that operate at high temperatures. The main challenge in developing the superalloy is to select the proper composition and post-treatment procedure, which are responsible for the development of the hard phase (in situ reinforcement phase, such as cÕ and other intermetallics) that will significantly contribute to high strength at high temperature. This paper investigates the effect of varying iron in Ni-based superalloys, which is responsible for significantly reducing the cost of alloys. Here, elemental powders are blended for 8 hours in a planetary ball mill, followed by cold compaction at 600 MPa. All the green pellets are sintered at 1100 °C and 1200 °C for 2 hours. The objective of this paper is to investigate the influence of variation in powder composition and sintering temperature on microstructure and mechanical properties. The microstructure and phase evaluation of the powder and the sintered samples were carried out using SEM and XRD analysis. It was observed that the sintered sample consists of intermetallic phases such as Ni 3 Al, Ni 3 Cr, and Ni 3 Fe. It is revealed that densification, hardness, and elastic modulus values increase with the increase in temperature. The 1200 °C sintered sample (S3) achieved the higher value of hardness, 6.78 GPa, and elastic modulus, 293.54 GPa, in comparison with other sets of compositions and sintering temperatures.

Journal of Materials Research and Technology, 2026
Wire arc additive manufacturing (WAAM) is a type of fusion manufacturing technique that uses the ... more Wire arc additive manufacturing (WAAM) is a type of fusion manufacturing technique that uses the heat energy of an electric arc to melt the electrodes and deposit material(s) layer-by-layer to build a wall or to concurrently clad two materials to produce a composite structure. In recent past, a significant interest is shown by various industrial sectors-aerospace, automotive, nuclear, and mould and die making-for the use of WAAM, which indicates compatibility and comprehensiveness. The successful printing of WAAM depends on parameters like bead width, bead height, tensile strength, and hardness, for shape, size, and quality. Optimization of these process parameters can lead to optimal deposition and high-quality products. The current work explores analysis of variance (ANOVA) and response surface methodology (RSM) methods for arriving at optimized input parameters to deposit the copper coated AWS ER70S-6. The determined optimized input parameters-travel speed, wire feed rate, and welding current, are 30 cm/min, 5 m/min, and 90 A respectively. In addition, prediction of the input parameters via machine leaning based techniques has also been carried out. Predictive models for bead width, bead height, tensile strength, and hardness have proven effective in optimizing process parameters for specific applications. Amongst the three models used, Extra Trees and XGBoost can be considered as good candidates to solve a regression problem, whereas multilayer perception (MLP) performs poorly on new data as applicable to the current study.

Inter. J. Interact. Desig. Manufactur., 2023
In recent years,4D printing domain is a growing part of additive manufacturing, received a great ... more In recent years,4D printing domain is a growing part of additive manufacturing, received a great deal of interest because of its capacity to make products with the ability to alter form and demonstrate behavioural changes when reacts to stimuli from outside. 4D-printed constructions show smart behaviour with transformation as a function of time. In certain cases, the ideal arrangement of a 4D-printed structure cannot be obtained by merely subjecting the smart materials to an external stimulus. As a component of the interaction process, the stimulus being given must be administered in a particular order and over a sufficient quantity of time. Mathematics is required for 4D printing so as to create the material spread and framework required to accomplish the intended shape, property, or utility modification. Theoretical and numerical representations must be established in order to determine the interactions among four fundamental components: the structure of the material, desirable ultimate shape, material characteristics, and stimulus characteristics. This permits self-assembly, multifunction, and self-repair. This paper provides an in-depth examination of the 4D printing procedure, including a summary of the practical concepts, associated tools, processing parameters and future potential of the field.
Experimental Analysis of Wire-EDM on Sub-Cooled Low-Carbon Tool Steel using Hybrid MARCOS Method and Honey Badger Algorithm
Surface Review and Letters, 2023
.

Journal of Materials Engineering and Performance, 2023
The objective of this work is to study the effects of Fe additions on the phase evolution, micros... more The objective of this work is to study the effects of Fe additions on the phase evolution, microstructure, and mechanical properties of heat-treated Ni (50-X)Ti 50 Fe X shape memory alloys. The NiTiFe specimens were prepared by mechanical alloying, compaction, sintering, and heat treatment processes. The microstructural and phase analysis of the sample shows the NiTiFe phase along with Ti-rich and Ni-rich phases. Better mechanical properties were observed in 4 at.% Fe samples owing to the presence of secondary intermetallic phases such as Ti 2 Ni, Ni 3 Ti, Fe 3 Ti, and Ni 4 Ti 3 compared to other samples. The 10 at.% Fe samples containing a higher percentage of NiTi(B19Õ) and FeTi phases showed better shape memory behavior while showing a higher coefficient of friction as compared to other samples. Wear tests were done to determine the wear mechanisms prevalent during the tests. It was found that the adhesive and the abrasive wear were the most common mechanisms that contributed to the wear behavior of the sample.
Metal Science and Heat Treatment , 2023
The dependence of microstructure and mechanical properties on the thickness of Ni/Ti coatings dep... more The dependence of microstructure and mechanical properties on the thickness of Ni/Ti coatings deposited on a Si(100) substrate by magnetron sputtering and on the temperature of their subsequent annealing is studied. The thickness and the surface roughness of the coatings are determined using profilometry and atomic force microscopy. Nanoindentation is used to determine the penetration resistance, the hardness, and the modulus of elasticity. The layers with minimum thickness are shown to possess the highest mechanical properties. Annealing conducted after the sputtering results in gradual retardation of the process of coarsening of atomic clusters and improvement of the mechanical properties of the layer.

Journal of Materials Engineering and Performance, 2023
Solid particle erosion is a severe problem for a machine working in a sandy environment. Due to t... more Solid particle erosion is a severe problem for a machine working in a sandy environment. Due to this service, life of instruments decreases as comparision to the requirement. In this research, the elemental composition of Ni 50 Ti 50 has been taken to coat mild steel substrate at different substrate preheating temperatures (100, 200, 300 and 400°C). An atmospheric plasma spraying procedure has been used to spray uniform deposition of NiTi powder on the mild steel substrate. After coating, an x-Ray diffractometer (XRD), scratch tester and scanning electron microscopy (SEM) were applied to measure the surface property. The wear property was investigated by air jet erosion test rig at 45°and 90°impingement angles. Again, the eroded surface morphology was investigated by SEM. Various phases such as NiTi, Ti 2 Ni, Ni 3 Ti, Ni 4 Ti 3, Ti 2 O, TiO 2 and NiO are obtained by XRD analysis. NiTi and their intermetallics (such as Ni 4 Ti 3 , Ni 3 Ti, TiO 2) play an important role in forming dense splat formation and higher hardness. Several erosion mechanisms were obtained, such as scratches, splat fragmentation and plastic deformation. It was noticed that the erosion rate is relatively low at low substrate preheating temperatures compared to higher preheating temperatures. Scratch wear resistance for low preheating temperature is high as compared to high preheating temperature due to variations of NiTi intermetallic phases on the coating surface.

Journal of Materials Engineering and Performance, 2023
Powder metallurgy is an effective method to produce Cu-Al-based alloys for automotive and aerospa... more Powder metallurgy is an effective method to produce Cu-Al-based alloys for automotive and aerospace engineering components. The finer grain size, low cost, and low-temperature synthesis make this process more suitable than the other conventional production method such as melting and casting. The addition of Ni (austenite stabilizer) into the Cu increases the stability of Cu and refines the grain size. Again, the addition of Ni into the Cu-Al alloy increases the strength and hardness. In the present work, Cu-12Al alloys are developed by varying the wt.% of Ni content from 0 to 8 using powder metallurgy process through mechanical alloying method. Mechanical alloyed powder mixture is compacted by applying a load of 5 tons and sintered at 850°C for 1 h under nitrogen atmosphere. It is found that a-Cu, c 2-Cu 9 Al 4 , and NiAl phases are presented in the Cu-12Al-Ni alloy which influences the properties of the alloy. The theoretical, sintered, and relative density values are decreased with increasing the wt.% of Ni content. However, the Vickers hardness of the alloy is improved by increasing the wt.% of Ni content up to 4 wt.% and then reduced for 8 wt.% of Ni content due to the coarsening and network-type structure of the NiAl phase. A higher amount of wear loss or wear rate is observed for the Cu-12Al and Cu-12Al-2Ni alloy than the Cu-12Al-4Ni and Cu-12Al-8Ni alloy. The presence of oxygen peaks in the EDS analysis revealed that an oxidative type of wear is occurred for the Cu-12Al alloy samples with varying the wt.% of Ni content. The electrochemical corrosion analysis revealed that the rate of corrosion is higher for Cu-12Al alloy without Ni. However, the rate of corrosion is reduced by increasing the wt.% of Ni content from 2 to 8.

Metallurgical and Materials Transactions A, 2023
This paper investigates the microstructure and mechanical properties of Ti 50 Ni (50ÀX) Fe X allo... more This paper investigates the microstructure and mechanical properties of Ti 50 Ni (50ÀX) Fe X alloys fabricated by powder metallurgy technique. Here, sintering temperatures varied from 1100°C to 1200°C for the compacted milled powder mixture. Microstructure, chemical composition, phase formation, porosity, density, hardness, wear, shape memory effect, and compressive strength of the sintered sample were carried out using SEM, EDS, XRD, and mechanical tests, respectively. The SEM and XRD analysis results show that the microstructure of alloys consists of (Ni, Fe)-rich, Ti-rich phases with less retained pore. The densification and hardness increase with increasing the sintering temperature. The 4 at. pct Fe sample sintered at 1200°C shows higher densification, a lower friction coefficient, and a higher hardness value. The 4 at. pct Fe sample sintered at 1150°C shows higher compressive, and yield strengths of 132.57 and 116.86 MPa, respectively, and the 6 at. pct Fe sample sintered at 1200°C shows a higher shape memory effect of 3.37 pct, which are higher in comparison to other compositions and other sintering temperature samples. Abrasive wear of the sample has been carried out, and it found that there is a decrease in friction coefficient value with an increase in sintering temperature from 1150°C to 1200°C of the sample.

In the absence of any literature regarding the
development of erosion resistance protective coati... more In the absence of any literature regarding the
development of erosion resistance protective coatings on the
aerospace engine parts using NiTi alloy, the current work has
been focused on the detail investigation of the solid particle
erosion resistance of the NiTi coating developed by atmospheric plasma spray technique. The coating has been prepared by considering an elemental mixture of equiatomic Ni
and Ti powder as feedstock material with different plasma
arc currents and primary gas flow rates. The quality of the
coatings has been checked by different characterization
techniques like x-ray diffraction, scanning electron microscopy and energy-dispersive spectroscopy. The defects
observed from the microstructural investigation sometimes
lead to more erosion and sometimes resulted in less erosion
rate. The investigation of the effect of the porosity percentage on the erosion rate revealed that as the porosity percentage increases, the erosion rate increases at both 45 and
90 erodent impingement angles due to the lack in strength at
the edges of the pores. Furthermore, the surface area of the
roughness peaks, the stress concentration at the gap between
the roughness peaks and height of the surface profile are
mainly responsible for the erosion performance at both the
erodent impact angles. The erosion rate is inversely
proportional to the microhardness of the coatings. In addition
to the above, according to the results disclosed by the erosion
performance at different impingement angles, the coating is
brittle in nature. The surface morphological study of the
eroded coatings indicated various erosion mechanisms like
plastic deformation, plowing, microcutting, lip formation,
scratches, groove formation on the coatings impinged at 45
impact angle and groove formation, splat fracture, splat
fragmentation, splat delamination, pit formation on the
coatings impinged at 90 impingement angle.
International Journal of Surgery, 2022
.

NITINOL is the most popular and economic shape memory alloy (SMA) used in various industries. For... more NITINOL is the most popular and economic shape memory alloy (SMA) used in various industries. For temperature associated applications, the shape memory effect (SME) is the major phenomenon for the shape and strain recovery of materials after deformation. The machinability and cold working ability of NiTi alloys are poor compared to conventional alloys. So to reduce the post-processing of the finished product with good homogenization of elements, the powder technology route is suitable for making these SMAs. Due to the simplicity and cost-effectiveness, the uniaxial press and sinter process was used for pellet making. In this paper, before sintering 450, 475, 500, 525, 550, 575 and 600 MPa compaction pressures were analysed by their green densities and 600 MPa compacted pellet yielded the better density. Sintering was done at 950, 1000, 1050, 1100 and 1150 °C with the variation of sintering time 0.5, 1, 1.5 and 2 h. The XRD and SEM studies showed that samples sintered at 950 °C have oxide phases with elemental Ni and Ni 3 Ti phases. For samples sintered at 1000, 1050 and 1100 °C, NiTi and Ti 2 Ni formed as major phases with minor phases of βTi and Ni 4 Ti 3 precipitates formed inside the NiTi matrix. It was difficult to detect the minor phases for the sample sintered at 1150 °C. Needle shaped martensitic NiTi forms inside the austenitic NiTi matrix and was detected at a very high magnification of 5000× in SEM. From the Differential Scanning Calorimetry study, it was found that an increase in sintering time and sintering temperature results in a faster shape memory response.

In the current investigation, the mechanical properties evaluation and optimization of process pa... more In the current investigation, the mechanical properties evaluation and optimization of process parameters of plasma-sprayed NITINOL coating on mild steel substrate has been performed. The relation between the mechanical properties and process parameters of the coating was established by proposing a nonlinear regression equation. The obtained coefficient of determination (R 2) and the mean relative error for microhardness (99.7 and 4.85%) and adhesion strength (99.2 and 6.88%) confirmed the statistical validity of the proposed nonlinear regression equation. The Genetic Algorithm optimization technique was implemented to obtain the optimized parametric setting for the plasma spray coating process. To check the quality of the coating fabricated by the optimized parametric combination (plasma arc current of 550 A and primary gas flow rate of 45 lpm), the characterizations (x-ray diffraction, scanning electron microscope, energy dispersive spectroscopy, and 3D surface roughness measurement) of the coating were performed. The SEM morphology of the surface and the interface of the coating revealed the better flattening behavior of the splat and the lamellar structure of the coating, respectively. The obtained phases (Ni, Ti, NiTi, Ti 2 Ni, Ni 3 Ti, Ni 4 Ti 3 , TiO, NiO) found in the XRD pattern were confirmed from the EDS analysis at various regions of the specimen surface, and the obtained coating surface roughness (roughness average (S a)) is 12.35 lm.

A Critical Review on Nickel–Titanium Thin-Film Shape Memory Alloy Fabricated by Magnetron Sputtering and Influence of Process Parameters
Transaction of Indian Institute of Metals, 2021
This paper discussed the fundamentals of NiTi shape memory alloy and its applications in advanced... more This paper discussed the fundamentals of NiTi shape memory alloy and its applications in advanced scientific fields. Currently, the world is focusing on miniaturized systems for various industrial and functional applications. The thin-film shape memory NiTi alloy plays a crucial role in MEMS/NEMS industry in fabrication of microdevices. In this article, the NiTi phase diagram along with the shape memory effect and superelasticity has also been explained. Among several types of fabrication techniques for NiTi thin films, magnetron sputtering, which yields a better homogeneous film, has been discussed. Both the operational parameters (target type, Ar pressure, applied power, target–substrate distance, substrate rotation, substrate temperature, plasma stability, deposition rate) and the material’s parameters (deposition pattern, orientation of adatom, film thickness, film stress, crystal structure, grain size, intermetallic formation, oxide formation, phase transformation) have been correlated in this article. The utilization of shape memory behavior in various industrial applications has been discussed here, also the advantages and limitations of SMA have been briefly discussed.

In the current work, by using NiTi plasma spray, superhydrophobic property is developed for compr... more In the current work, by using NiTi plasma spray, superhydrophobic property is developed for compressor parts used in aerospace engine. The durability of the coating enhances in case of droplet impingement in cold condition (temperature = 25 °C). For the hot condition the aforesaid coating needs to become hydrophilic for the retention of high durability characteristic. The discussed switching is achieved by keeping the coating with in an influence of electric field. The results revealed that the surface roughness (12.4 µm) of the coating supports the attainment of superhydrophobic characteristic depicting contact and rolling angle of 164° ± 1.5 and 8° ± 1, respectively at normal condition. By applying electric field, the coating is converted to hydrophilic in hot condition noticed by impact mapping of droplets. Furthermore, it has been observed that the coated steel plate shows better efficiency as compared to uncoated steel plate under electric field.

Atmospheric Plasma Spray Coating of NiTi on Mild Steel Substrate: An Microstructural Investigation
Journal of Bio- and Tribo-Corrosion volume, 2021
In the current investigation, an equiatomic mixture of Ni and Ti was coated on the mild steel sub... more In the current investigation, an equiatomic mixture of Ni and Ti was coated on the mild steel substrate by atmospheric plasma spray coating technology. The coating process was performed by varying the primary gas flow rate and plasma arc current process parameters. The microhardness and adhesion strength of the coating was evaluated after successful coating operation. The variation of microhardness and adhesion strength with primary gas flow rate and plasma arc current was observed. The results revealed that the microhardness varies directly with plasma arc current and primary gas flow rate. The enhancement in molten fraction and pinching effect was resulted due to increase in the primary gas flow rate that leads to the increase in microhardness. Furthermore, the enhancement in enthalpy and reduction in diffused air due to increase in arc current resulted in an increment in microhardness. The increase in plasma velocity and molten fraction of the particles resulted in better adhesion strength of the coating at higher gas flow rate and arc current. The microstructures of the coatings developed at higher and lower parameters support the above-stated relation.
Applied Science, 2021
https://www.mdpi.com/2076-3417/11/10/4445#abstract

In the work, an elemental mixture of Ni and Ti was deposited by atmospheric plasma spray technolo... more In the work, an elemental mixture of Ni and Ti was deposited by atmospheric plasma spray technology on the mild steel substrate by varying the process parameters such as primary gas flow rate and plasma arc current. The properties such as surface roughness, microhardness, and erosion rate of the coating were determined and the relationship between process parameters and coating properties was established. To optimize the process parameters and to find out the optimum parametric setting, the fuzzy technique for order preference by similarity to an ideal solution hybrid technique was im-plemented. By keeping all the parameters constant, the coating with better properties was obtained at an optimum parametric setting of 550 A arc current and 45 lpm primary gas flow rate. Furthermore, by implementing the Analysis of Variance, the primary gas flow rate was found to be a significant con-tributing factor. The X-ray diffraction analysis of the coating developed at an optimized parametric setting revealed Ni, Ti, NiTi-B2 phase, Ni3Ti, Ti2Ni, Ni4Ti3, TiO, and NiO phases. The bonding of the coating with the substrate was confirmed by the line scan energy dispersive spectroscopy analysis. The surface morphology of the eroded surface of the coating developed at the optimum parameter revealed the crater formation, chip formation, lip formation, plastic deformation, and groove formation mechanisms.

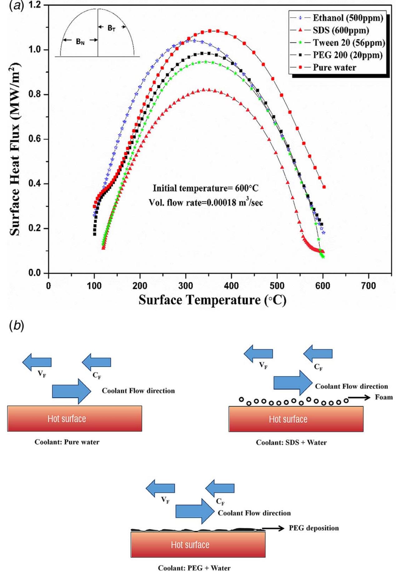
In the current work, for the simultaneous attainment of enhancement and uniformity in temperature... more In the current work, for the simultaneous attainment of enhancement and uniformity in temperature distribution in case of quenching performed in transition and nucleate boiling
regimes, the heat treatment is performed by adopting thin coolant flow boiling methodology
which depicts high replacement rate of vapor and low coolant consumption rate in comparison with the other cooling methodology such as jet and spray cooling. In addition to the
above, the simultaneous flow over the entire plate reduces the intensity of nonuniformity
in cooling. The analysis of experimental results in case of thin-film flow boiling clearly indicates significant improvement in initial heat flux (IHF) and critical heat flux (CHF) in comparison with low mass flux jet and spray coolings. The comparative study also ensures that
better enhancement and uniformity in cooling are achieved in the current case in comparison with the process such as low mass flux spray and jet coolings. Furthermore, the calculation indicates very low coolant consumption characteristic in comparison with the others,
the abovementioned parameters (CHF and IHF) alter due to the change in surface tension,
viscosity, specific heat, and thermal conductivity of the coolant and therefore, the role of
abovementioned coolant properties in case of thin-film boiling is monitored. For this,
various additives such as sodium dodecyl sulfate (SDS), polyethylene glycol (PEG), Polyoxyethylene 20 Sorbitan Monolaurate (Tween 20), and ethanol were used. In the present
work, the analysis discloses that for the better Nusselt number the optimum Reynolds
number is 1953 and Ohensorge number and Prandtl number are 0.0032 and 5.85, respectively.
Uploads
Journal Paper by Ajit Behera
development of erosion resistance protective coatings on the
aerospace engine parts using NiTi alloy, the current work has
been focused on the detail investigation of the solid particle
erosion resistance of the NiTi coating developed by atmospheric plasma spray technique. The coating has been prepared by considering an elemental mixture of equiatomic Ni
and Ti powder as feedstock material with different plasma
arc currents and primary gas flow rates. The quality of the
coatings has been checked by different characterization
techniques like x-ray diffraction, scanning electron microscopy and energy-dispersive spectroscopy. The defects
observed from the microstructural investigation sometimes
lead to more erosion and sometimes resulted in less erosion
rate. The investigation of the effect of the porosity percentage on the erosion rate revealed that as the porosity percentage increases, the erosion rate increases at both 45 and
90 erodent impingement angles due to the lack in strength at
the edges of the pores. Furthermore, the surface area of the
roughness peaks, the stress concentration at the gap between
the roughness peaks and height of the surface profile are
mainly responsible for the erosion performance at both the
erodent impact angles. The erosion rate is inversely
proportional to the microhardness of the coatings. In addition
to the above, according to the results disclosed by the erosion
performance at different impingement angles, the coating is
brittle in nature. The surface morphological study of the
eroded coatings indicated various erosion mechanisms like
plastic deformation, plowing, microcutting, lip formation,
scratches, groove formation on the coatings impinged at 45
impact angle and groove formation, splat fracture, splat
fragmentation, splat delamination, pit formation on the
coatings impinged at 90 impingement angle.
regimes, the heat treatment is performed by adopting thin coolant flow boiling methodology
which depicts high replacement rate of vapor and low coolant consumption rate in comparison with the other cooling methodology such as jet and spray cooling. In addition to the
above, the simultaneous flow over the entire plate reduces the intensity of nonuniformity
in cooling. The analysis of experimental results in case of thin-film flow boiling clearly indicates significant improvement in initial heat flux (IHF) and critical heat flux (CHF) in comparison with low mass flux jet and spray coolings. The comparative study also ensures that
better enhancement and uniformity in cooling are achieved in the current case in comparison with the process such as low mass flux spray and jet coolings. Furthermore, the calculation indicates very low coolant consumption characteristic in comparison with the others,
the abovementioned parameters (CHF and IHF) alter due to the change in surface tension,
viscosity, specific heat, and thermal conductivity of the coolant and therefore, the role of
abovementioned coolant properties in case of thin-film boiling is monitored. For this,
various additives such as sodium dodecyl sulfate (SDS), polyethylene glycol (PEG), Polyoxyethylene 20 Sorbitan Monolaurate (Tween 20), and ethanol were used. In the present
work, the analysis discloses that for the better Nusselt number the optimum Reynolds
number is 1953 and Ohensorge number and Prandtl number are 0.0032 and 5.85, respectively.