Papers by Ali Asghar Bataleblu
Robust trajectory-tracking for a Bi-copter Drone using IBKS and SPNN Adaptive Controller
2022 10th RSI International Conference on Robotics and Mechatronics (ICRoM)
Co-design Optimization of a Novel Multi-identity Drone Helicopter (MICOPTER)
Journal of Intelligent & Robotic Systems

An Augmented Sequential Optimization and Reliability Assessment for Reliability-Based Design Optimization
Involving inevitable uncertainties in an engineering system design optimization is a necessity an... more Involving inevitable uncertainties in an engineering system design optimization is a necessity and requirements to achieve a reliable design which reliable design optimization approaches are expressed as Reliability-Based Design Optimization (RBDO) methods. Despite tremendous efforts have been made in the field of RBDO, computational efficiency improvement is still a significant challenge. Sequential Optimization and Reliability Assessment (SORA) has made great efforts to improve computational efficiency by decoupling RBDO problem into sequential deterministic optimization and reliability assessment as a single-loop method. In this paper, in order to further improve computational efficiency and extend the application of the current SORA method, an Augmented SORA (ASORA) is proposed by refraining from reliability assessment for satisfied probabilistic constraints in each cycle until all probabilistic constraints are be satisfied. The accuracy and efficiency of the proposed method com...

3 یوجشناد دشرا یسانشراک اضف اوه یسدنهم ، نارهت ،یسوط نیدلا ریصن هجاوخ یتعنص هاگشناد ، یتسپ قودنص ... more 3 یوجشناد دشرا یسانشراک اضف اوه یسدنهم ، نارهت ،یسوط نیدلا ریصن هجاوخ یتعنص هاگشناد ، یتسپ قودنص ،نارهت * 83911-16569 ، [email protected] هلاقم تاعلاطا هدیکچ لماک یشهوژپ هلاقم :تفایرد 09 رویرهش 1396 :شریذپ 14 نمهب 1396 :تیاس رد هئارا 10 دنفسا 1396 هنیهب ( نانیمطا تیلباق یانبم رب یحارط یزاس RBDO هنیهب یارب ) متسیس یزاس مدع روضح رد یسدنهم یاه تیعطق ،یحارط یاهریغتم رد اه نآ ود ره ای متسیس یاهرتماراپ .تسا هتفرگ رارق هدافتسا دروم اه RBDO تیلباق لیلحت شخب کی یاراد یدایز رادقم هب زاین هک تسا نانیمطا شور کی ،عوضوم نیا لیدعت یارب .دراد یعقاو یایند یدربراک لئاسم اب ییورایور رد صوصخ هب ،یتابساحم شلات ک و دیدج دمآرا کمک هب لدم شور و یتابساحم شوه .تسا هدش هئارا هلاقم نیا رد نیزگیاج یاه هیزجت رب ینتبم یاه RBDO هدش بیکرت رگیدکی اب شور کی ات دنا یارب عیرس RBDO هکبش رب ینتبم دیدج شور نیا .دبای هعسوت هب یعونصم یبصع یاه هنیهب شور و نیزگیاج لدم ناونع و یبیترت یزاس ایزرا ( نانیمطا تیلباق یب SORA هب ) شور ناونع RBDO رد .تسا SORA هنیهب هقلح کی هب هلئسم ، یبایزرا هقلح کی و یبیترت نیعم یزاس یم هیزجت نانی...

Robust trajectory optimization of space launch vehicle using computational intelligence
2015 IEEE Congress on Evolutionary Computation (CEC), 2015
Metamodeling techniques using computational intelligence have been used in Uncertainty-based Desi... more Metamodeling techniques using computational intelligence have been used in Uncertainty-based Design Optimization (UDO) to reduce the high computational cost of the uncertainty analysis and improve the performance of stochastic optimization problems with computationally expensive simulation models. Optimal trajectory generation is a major part of Space Launch Vehicle (SLV) design and if it is robust relative to uncertainties can improve vehicle reliability, safety and operational cost. This paper presents a combination of Latin Hypercube Sampling (LHS) and Extreme Learning Machine (ELM) in order to create an appropriate trajectory metamodel for reducing computational time of robust trajectory design optimization of a two-stage-to-orbit SLV. The sampled data of LHS is then used as training data for ELM. Complex and costly uncertainty analyses are replaced by an ELM Neural Network (NN) which is used to instantaneously estimate the mean and standard deviation of objective function and constraints. The evolutionary genetic algorithm is used for global optimization of layers' connection weights and biases to minimize the learning error during learning phase of NN. A Hybrid Search Algorithm (HSA), which associates Simulated Annealing (SA) as a global optimizer with Simplex as a local optimizer is employed to find robust optimum point of this metamodel. The optimal and robust trajectories are compared. The results show excellent approximation of highly non-linear design space and drastic reduction in overall UDO time, due to greatly reduced number of exact trajectory analyses.

Proceedings of the Institution of Mechanical Engineers, Part G: Journal of Aerospace Engineering, 2019
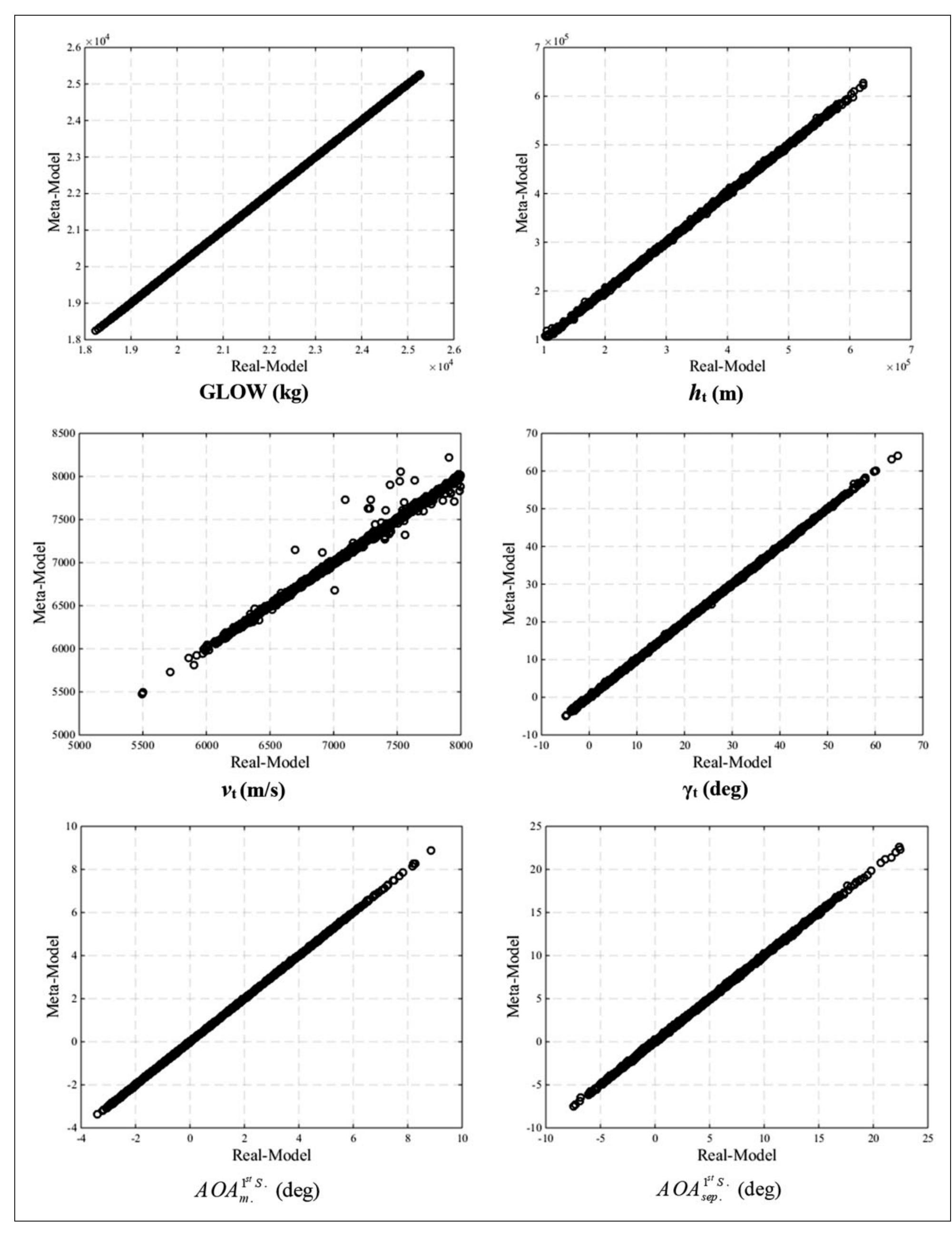
Uncertainty-based design optimization has been widely acknowledged as an advanced methodology to ... more Uncertainty-based design optimization has been widely acknowledged as an advanced methodology to address competing objectives of aerospace vehicle design, such as reliability and robustness. Despite the usefulness of uncertainty-based design optimization, the computational burden associated with uncertainty propagation and analysis process still remains a major challenge of this field of study. The metamodeling is known as the most promising methodology for significantly reducing the computational cost of the uncertainty propagation process. On the other hand, the nonlinearity of the uncertainty-based design optimization problem's design space with multiple local optima reduces the accuracy and efficiency of the metamodels prediction. In this article, a novel metamodel management strategy, which controls the evolution during the optimization process, is proposed to alleviate these difficulties. For this purpose, a combination of improved Latin hypercube sampling and artificial n...
Computational Intelligence and Its Applications
Abstract This book focuses on computational intelligence techniques and its applications-fast-gro... more Abstract This book focuses on computational intelligence techniques and its applications-fast-growing and promising research topics that have drawn a great deal of attention from researchers over the years. It brings together many different aspects of the current research on intelligence technologies such as neural networks, support vector machines, fuzzy logic and evolutionary computation, and covers a wide range of applications from pattern recognition and system modeling, to intelligent control problems and biomedical ...
Robust Backstepping Control of Position and Attitude for a Bi-copter Drone
2021 9th RSI International Conference on Robotics and Mechatronics (ICRoM)

Launch VehicleTrajectory Robustness Modification
ABSTRACT Optimal trajectory generation is a major part of launch vehicle design. A robust traject... more ABSTRACT Optimal trajectory generation is a major part of launch vehicle design. A robust trajectory can improve launch vehicle reliability, safety and operational cost. In this paper, robustness of a trajectory of a two stage expendable Launch Vehicle is modified. The Three-degree-of-freedom trajectory simulation program with appropriate atmosphere and earth models are used. Some important uncertainties such as uncertainty in launch vehicle dry mass, engine’s thrust force, aerodynamic force coefficients and engine’s burn time is considered. Assuming normal distribution for parameters with uncertainty, Monte Carlo simulation method is used to calculate probability density function of output parameters for predetermined optimal pitch angle program. In this study, mission constraints (final orbit components) and constraints that appear during the flight (such as separation height, fall down position of the stages, Angle Of Attack (AOA) when Mach number is close to 1 and maximum amount of dynamic pressure multiply in AOA) are considered as output parameters. Afterwards, pitch angle program is modified to reduce the sensitivity of output parameters. Again, Monte Carlo simulation method is used to calculate probability density function of output parameters for modified pitch angle program. Results show that some modification in pitch angle program can improve the trajectory robustness.

A novel evolution control strategy for surrogate-assisted design optimization
Structural and Multidisciplinary Optimization
Optimization solutions of real-world engineering problems mainly suffer from the large computatio... more Optimization solutions of real-world engineering problems mainly suffer from the large computational cost, the curse of dimen-sionality, and the multidisciplinary nature of the involved disciplines. These issues may be intensified by incorporating uncertainties into the design and optimization of the problem. In this context, Surrogate-Assisted Optimization (SAO) methods and Evolution Control Strategies (ECS) have been considered as powerful paradigms to overcome or at least to alleviate the mentioned issues over the last two decades. This paper presents a novel ECS strategy based on the meta-models along with the real models. This strategy calculates the accuracy of the meta-model at each design point and determines if the real-model needs to be replaced with the meta-model. Moreover, the SAO and ECS are integrated to develop an augmented strategy to solve complex problems like Uncertainty-based Multidisciplinary Design Optimization (UMDO). In this context, the artificial neural networks are used along with the improved Latin hypercube sampling technique. Performance benefits of the proposed strategy in achieving the near-global optimum solution are shown by solving two simple mathematical problems and an engineering benchmark problem. To demonstrate the potential capability of this strategy, it applies to the UMDO problem of a space transportation system. Simulation results illustrate that the proposed strategy improves the computational efficiency as well as the globality of the optimal solution by proper management of the meta-models and real-models within the optimization process.

Launch VehicleTrajectory Robustness Modification
Optimal trajectory generation is a major part of launch vehicle design. A robust trajectory can i... more Optimal trajectory generation is a major part of launch vehicle design. A robust trajectory can improve launch vehicle reliability, safety and operational cost. In this paper, robustness of a trajectory of a two stage expendable Launch Vehicle is modified. The Three-degree-of-freedom trajectory simulation program with appropriate atmosphere and earth models are used. Some important uncertainties such as uncertainty in launch vehicle dry mass, engine’s thrust force, aerodynamic force coefficients and engine’s burn time is considered. Assuming normal distribution for parameters with uncertainty, Monte Carlo simulation method is used to calculate probability density function of output parameters for predetermined optimal pitch angle program. In this study, mission constraints (final orbit components) and constraints that appear during the flight (such as separation height, fall down position of the stages, Angle Of Attack (AOA) when Mach number is close to 1 and maximum amount of dynam...
Hybrid search multi-discipline feasible design optimization of a typical Space Launch Vehicle
2015 7th International Conference on Recent Advances in Space Technologies (RAST), 2015
Robust Design Optimization of A Launch Vehicle in Presence of Parametric Uncertainties

Robust ascent trajectory design and optimization of a typical launch vehicle
Proceedings of the Institution of Mechanical Engineers, Part C: Journal of Mechanical Engineering Science
Robustness and reliability of the designed trajectory are crucial for flight performance of launc... more Robustness and reliability of the designed trajectory are crucial for flight performance of launch vehicles. In this paper, robust trajectory design optimization of a typical LV is proposed. Two formulations of robust trajectory design optimization problem using single-objective and multi-objective optimization concept are presented. Both aleatory and epistemic uncertainties in model parameters and operational environment characteristics are incorporated in the problem, respectively. In order to uncertainty propagation and analysis, the improved Latin hypercube sampling is utilized. A comparison between robustness of the single-objective robust trajectory design optimization solution and deterministic design optimization solution is illustrated using probability density functions. The multi-objective robust trajectory design optimization is executed through NSGA-II and a set of feasible design points with a good spread is obtained in the form of Pareto frontier. The final Pareto fro...

SAGE Publishing and Proceedings of the Institution of Mechanical Engineers, Part G: Journal of Aerospace Engineering, 2019
Uncertainty-based design optimization has been widely acknowledged as an advanced methodology to ... more Uncertainty-based design optimization has been widely acknowledged as an advanced methodology to address competing objectives of aerospace vehicle design, such as reliability and robustness. Despite the usefulness of uncertainty-based design optimization, the computational burden associated with uncertainty propagation and analysis process still remains a major challenge of this field of study. The metamodeling is known as the most promising methodology for significantly reducing the computational cost of the uncertainty propagation process. On the other hand, the nonlinearity of the uncertainty-based design optimization problem's design space with multiple local optima reduces the accuracy and efficiency of the metamodels prediction. In this article, a novel metamodel management strategy, which controls the evolution during the optimization process, is proposed to alleviate these difficulties. For this purpose, a combination of improved Latin hypercube sampling and artificial neural networks are involved. The proposed strategy assesses the created metamodel accuracy and decides when a metamodel needs to be replaced with the real model. The metamodel-ing and metamodel management strategy are conspired to propose an augmented strategy for robust design optimization problems. The proposed strategy is applied to the multiobjective robust design optimization of an expendable launch vehicle. Finally, based on non-dominated sorting genetic algorithm-II, a compromise between optimality and robustness is illustrated through the Pareto frontier. Results illustrate that the proposed strategy could improve the computational efficiency, accuracy, and globality of optimizer convergence in uncertainty-based design optimization problems.

12th World Congress on Structural and Multidisciplinary Optimisation, 2017
Incorporating inevitable uncertainties in the multidisciplinary design optimization (MDO) of comp... more Incorporating inevitable uncertainties in the multidisciplinary design optimization (MDO) of complex engineering systems has become a necessity to increase the system performance while meeting the reliability and robustness requirements. Despite tremendous efforts have been made in the field of Uncertainty-based MDO (UMDO), computational efficiency is still a significant challenge. Sequential optimization and reliability assessment (SORA) has made great efforts to improve computational efficiency by decoupling Reliability based Design Optimization (RBDO) problem into sequential deterministic optimization and reliability assessment as a single-loop method. The reliability assessment is only conducted after the deterministic optimization to verify probabilistic constraint satisfaction. In this paper, in order to further improve computational efficiency and extend the application of the current SORA method, an Augmented SORA (ASORA) approach is proposed by refraining from reliability assessment for satisfied probabilistic constraints in each cycle until all probabilistic constraints are satisfied. Therefore, the proposed approach requires much less function evaluations of the probabilistic constraints in each cycle compared with the original SORA method. The validation and efficiency of the proposed ASORA approach is illustrated through some single-disciplinary and multi-disciplinary mathematical examples.

12th World Congress on Structural and Multidisciplinary Optimisation, 2017
Computational burden is still a significant challenge in the in multidisciplinary design optimiza... more Computational burden is still a significant challenge in the in multidisciplinary design optimization (MDO) of complex engineering systems. This challenge can be arising from the curse of dimensionality of the design space and the multiplicity of disciplines involved in the design problem. Tremendous efforts have been made to improve the computational efficiency, especially in the field of MDO. Meta-modeling is one of the powerful tools to facilitate this problem and has been received increasing attention in the past decades. Meta-models are used to provide simpler models instead of the complex original models and by admitting a small percentage of error reduces computing time of the problem. Kriging meta-model, due to its high efficiency in medium dimension problems has been attracted the attention of many researchers. Due to lack of continuity in the complex design problems, creating a comprehensive and appropriate meta-model with acceptable accuracy to cover the entire design space is difficult and almost impossible. This paper proposed a strategy to improve the accuracy of the created meta-models using the elimination of outlier data from sampled points and re-designing the effective Kriging meta-model parameters. The proposed strategy is applied to the conceptual design of a General Aviation Aircraft (GAA) using MDO methodology and appropriate Kriging meta-model. Meta-models of the design disciplines including propulsion, aerodynamics, weight and sizing, performance criteria and stability disciplines are created and integrated based on Multidisciplinary Design Feasibility (MDF) structure to improve the aircraft performance. The gross weight of the aircraft and cruise phase range are considered as the objective functions. The NSGA-II multi-objective evolutionary optimization algorithm is utilized to demonstrate a set of possible answers in the form of the Pareto front.

Proc IMechE Part G: J Aerospace Engineering, 2013
In this study, due to the innate trans-atmospheric nature of flight of the space transportation s... more In this study, due to the innate trans-atmospheric nature of flight of the space transportation system, assessment of the control discipline interaction with aerodynamic, weights and sizing, external fin-stabilizers configuration, and trajectory disciplines in an multidisciplinary design optimization-based platform has been addressed. Parameters considered for the control subsystem optimization are external stabilizing fins geometrical characteristics and attitude control vernier motors thrust value. Specifically, this article addresses optimization of fin-body combinations with geometric constraints for minimizing control moment required by vernier motors as well as total possible control subsystem weight satisfying design constraints. Results show that using external stabilizer fins is not economical from energetic stand point for space transportation system, but is necessary for control subsystems when there are deflection constraints for vernier motors.

Proc IMechE Part C: J Mechanical Engineering Science, 2018
Robustness and reliability of the designed trajectory are crucial for flight performance of launc... more Robustness and reliability of the designed trajectory are crucial for flight performance of launch vehicles. In this paper, robust trajectory design optimization of a typical LV is proposed. Two formulations of robust trajectory design optimization problem using single-objective and multi-objective optimization concept are presented. Both aleatory and epistemic uncertainties in model parameters and operational environment characteristics are incorporated in the problem , respectively. In order to uncertainty propagation and analysis, the improved Latin hypercube sampling is utilized. A comparison between robustness of the single-objective robust trajectory design optimization solution and determin-istic design optimization solution is illustrated using probability density functions. The multi-objective robust trajectory design optimization is executed through NSGA-II and a set of feasible design points with a good spread is obtained in the form of Pareto frontier. The final Pareto frontier presents a trade-off between two conflicting objectives namely maximizing injection robustness and minimizing gross lift-off mass of launch vehicle. The resulted Pareto frontier of the multi-objective robust trajectory design optimization shows that with 1% increase in gross mass, the robustness of the design point to the considered uncertainties can be increased about 80%. Also, numerical simulation results show that the multi-objective formulation is a necessary approach to achieve a good trade-off between optimality and robustness.

Structural and Multidisciplinary Optimization, 2018
Optimization solutions of real-world engineering problems mainly suffer from the large computatio... more Optimization solutions of real-world engineering problems mainly suffer from the large computational cost, the curse of dimen-sionality, and the multidisciplinary nature of the involved disciplines. These issues may be intensified by incorporating uncertainties into the design and optimization of the problem. In this context, Surrogate-Assisted Optimization (SAO) methods and Evolution Control Strategies (ECS) have been considered as powerful paradigms to overcome or at least to alleviate the mentioned issues over the last two decades. This paper presents a novel ECS strategy based on the meta-models along with the real models. This strategy calculates the accuracy of the meta-model at each design point and determines if the real-model needs to be replaced with the meta-model. Moreover, the SAO and ECS are integrated to develop an augmented strategy to solve complex problems like Uncertainty-based Multidisciplinary Design Optimization (UMDO). In this context, the artificial neural networks are used along with the improved Latin hypercube sampling technique. Performance benefits of the proposed strategy in achieving the near-global optimum solution are shown by solving two simple mathematical problems and an engineering benchmark problem. To demonstrate the potential capability of this strategy, it applies to the UMDO problem of a space transportation system. Simulation results illustrate that the proposed strategy improves the computational efficiency as well as the globality of the optimal solution by proper management of the meta-models and real-models within the optimization process.
Uploads
Papers by Ali Asghar Bataleblu