Papers by Christian Correa
Design and implementation of an Embedded Edge-processing Water Quality Monitoring System for underground waters
IEEE Embedded Systems Letters

Development of robotic system for humus productions. A strategy for recycling awareness
2017 CHILEAN Conference on Electrical, Electronics Engineering, Information and Communication Technologies (CHILECON), 2017
A human-like mobile robotic system for humus production, from earthworms (Eisenia foetida), in ur... more A human-like mobile robotic system for humus production, from earthworms (Eisenia foetida), in urban areas, was developed, built up and tested. The system could be separated in two modules for a better understanding, Software and Hardware. The Software implements a fuzzy control algorithm aimed to keep the best environment conditions inside the humus production zone, an in this way maximize the humus production and to accelerate the process. It also, handles decisions related to charge and discharge of organic matters, based on organic matter analysis performed before the process to avoid earthworms poisoning. The hardware can be divided in four modules: Organic material reception and classification, Milling and quality control, Humus production, Humus discharge. The preliminary results shows that the prototype has the capability to accelerate the rate of humus production, avoid toxic products, guarantee long term production, because the organic matter quality control, providing in this way the feasibility to be implemented in urban areas as well.

Journal of Agricultural Engineering, 2021
An image analysis algorithm for the classification of cherries in real time by processing their d... more An image analysis algorithm for the classification of cherries in real time by processing their digitalized colour images was developed, and tested. A set of five digitalized images of colour pattern, corresponding to five colour classes defined for commercial cherries, was characterized. The algorithm performs the segmentation of the cheery image by rejecting the pixels of the background and keeping the image features corresponding to the coloured area of the fruit. A histogram analysis was carried out for the RGB and HSV colour spaces, where the Red and Hue components showed differences between each of the specified colour patterns of the exporting reference system. This information led to the development of a hybrid Bayesian classification algorithm based on the components R and H. Its accuracy was tested with a set of cherry samples within the colour range of interest. The algorithm was implemented by means of a real time C++ code in Microsoft Visual Studio environment. When tes...
[The control of harvesters on the Internet allows to diagnose remotely and within minutes failures, breakdowns or maintenance notifications]
ABSTRACT The control of harvesters on the Internet allows to diagnose remotely and within minutes... more ABSTRACT The control of harvesters on the Internet allows to diagnose remotely and within minutes failures, breakdowns or maintenance notification

In this work we propose an image acquisition and processing methodology (framework) developed for... more In this work we propose an image acquisition and processing methodology (framework) developed for performance in-field grapes and leaves detection and quantification, based on a six step methodology: 1) image segmentation through Fuzzy C-Means with Gustafson Kessel (FCM-GK) clustering; 2) obtaining of FCM-GK outputs (centroids) for acting as seeding for K-Means clustering; 3) Identification of the clusters generated by K-Means using a Support Vector Machine (SVM) classifier. 4) Performance of morphological operations over the grapes and leaves clusters in order to fill holes and to eliminate small pixels clusters; 5) Creation of a mosaic image by Scale-Invariant Feature Transform (SIFT) in order to avoid overlapping between images; 6) Calculation of the areas of leaves and grapes and finding of the centroids in the grape bunches. Image data are collected using a colour camera fixed to a mobile platform. This platform was developed to give a stabilized surface to guarantee that the images were acquired parallel to de vineyard rows. In this way, the platform avoids the distortion of the images that lead to poor estimation of the areas. Our preliminary results are promissory, although they still have shown that it is necessary to implement a camera stabilization system to avoid undesired camera movements, and also a parallel processing procedure in order to speed up the mosaicking process.
Feature extraction on vineyard by Gustafson Kessel FCM and K-means
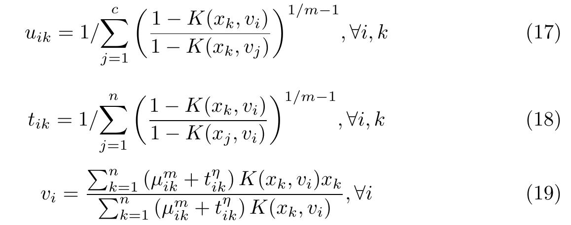
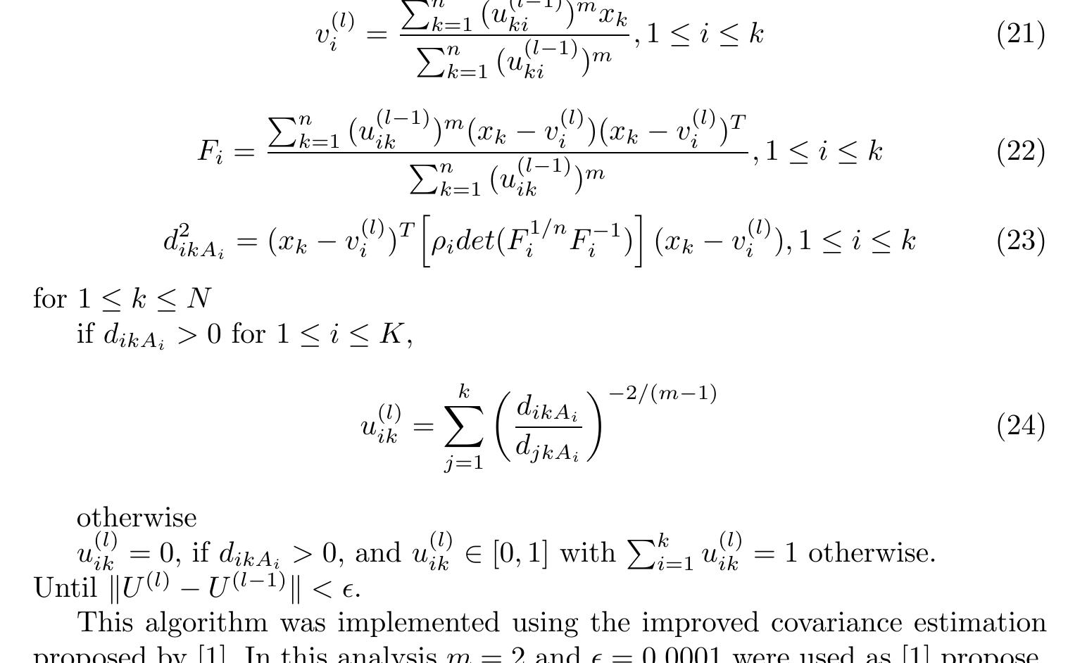
Image segmentation is a process by which an image is partitioned into regions with similar featur... more Image segmentation is a process by which an image is partitioned into regions with similar features. Many approaches have been proposed for color images segmentation, but Fuzzy C-Means has been widely used, because it has a good performance in a wide class of images. However, it is not adequate for noisy images and it takes longer runtimes, as compared to

Sensors, 2012
The aim of this research was to implement a methodology through the generation of a supervised cl... more The aim of this research was to implement a methodology through the generation of a supervised classifier based on the Mahalanobis distance to characterize the grapevine canopy and assess leaf area and yield using RGB images. The method automatically processes sets of images, and calculates the areas (number of pixels) corresponding to seven different classes (Grapes, Wood, Background, and four classes of Leaf, of increasing leaf age). Each one is initialized by the user, who selects a set of representative pixels for every class in order to induce the clustering around them. The proposed methodology was evaluated with 70 grapevine (V. vinifera L. cv. Tempranillo) images, acquired in a commercial vineyard located in La Rioja (Spain), after several defoliation and de-fruiting events on 10 vines, with a conventional RGB camera and no artificial illumination. The segmentation results showed a performance of 92% for leaves and 98% for clusters, and allowed to assess the grapevine's leaf area and yield with R 2 values of 0.81 (p < 0.001) and 0.73 (p = 0.002), respectively. This methodology, which operates with a simple image acquisition setup and guarantees the right number and kind of pixel classes, has shown to be suitable and robust enough to provide valuable information for vineyard management.
Image segmentation is a process by which an image is partitioned into regions with similar featur... more Image segmentation is a process by which an image is partitioned into regions with similar features. Many approaches have been proposed for color image segmentation, but Fuzzy C-Means has been widely used, because it has a good performance in a large class of images. However, it is not adequate for noisy images and it also takes more time for execution as compared to other method as K-means. For this reason, several methods have been proposed to improve these weaknesses. Method like Possibilistic C-Means, Fuzzy Possibilistic C-Means, Robust Fuzzy Possibilistic C-Means and Fuzzy C-Means with Gustafson-Kessel algorithm. In this paper we perform a comparison of these clustering algorithms applied to feature extraction on vineyard images. Segmented images are evaluated using several quality parameters such as the rate of correctly classified area and runtime.

A low-cost IoT based environmental monitoring system. A citizen approach to pollution awareness
The concept of quality of life is used as a measure of the welfare of a society, highlighting the... more The concept of quality of life is used as a measure of the welfare of a society, highlighting the relationship between the environment and health, mainly associated with pollution. Hence the importance of monitoring and communicating its results, in a timely manner, to the community. But often the last part of the process fail, there is a lack of communication between data, information and community. Using open hardware and open source tools, and based on the Internet of things concept, a low-cost citizen monitoring network, that cost less than US $ 150 was implemented. This network measures Carbon Monoxide (CO), Temperature, Relative Humidity, Particulate Matter 2.5, Noise and UV radiation, with a reading frequency of every 40 s and a hibernation period of 15 min. The environmental monitoring network gather information from the environment, through sensors, and then store it in a MySQL database, to finally be deployed in a web site hosted on a local web server Apache, implemented e...
Reliability of different color spaces to estimate nitrogen SPAD values in maize
Computers and Electronics in Agriculture
Application note: Development and field testing of a data acquisition system to assess the quality of spraying in fruit orchards
Computers and Electronics in Agriculture, Jun 1, 2012
Inteligencia artificial revista iberoamericana de inteligencia artificial
The Hough transform (HT) is a widely used method for line detection and recognition, due to its r... more The Hough transform (HT) is a widely used method for line detection and recognition, due to its robustness. But its performance is strongly dependent on the applied segmentation technique. On the other hand, Fuzzy C-Means (FCM) has been widely used in image segmentation because it has a good performance in a large class of images. However, it is not good for noisy images, so that to overcome this weakness several modifications to FCM have been proposed, like Robust Fuzzy Possibilistic C-Means (RFPCM). In this paper, we propose to use the RFPCM algorithm for the segmentation of crops images in order to apply the HT to detect lines in row crops for navigation purposes. The proposed method gives better results compared with techniques based on visible spectral-index or Specific threshold-based approaches.

The basis to perform any agricultural task by robots is to planning and following paths or trajec... more The basis to perform any agricultural task by robots is to planning and following paths or trajectories inside the crops. This research aims to developed and implemented algorithms for following and planning (global and local) trajectories for agricultural robots. The global planning was performed using the A * algorithm applied over crop maps and the local planning was performed using A* applied over a 2D map obtained from 3D images of the obstacles present on the way. Trajectory following was done by implementing a numerical approximation of the trajectory by Euler's method. The parameters for the dynamics of the robot trajectory’s controller were obtained by genetic algorithms. The 3D map was generated from the Microsoft Kinect sensor, and its data processed by Matlab 2011b. Preliminary results show that these algorithms can be implemented in small robots designed to be used in crop rows. Thereby providing a robust methodology to tracking assigned paths with errors less than ...

VI International Symposium on Irrigation of Horticultural Crops, 2011
A prototype for the automation of a pressure pump type Schölander is being developed. Determining... more A prototype for the automation of a pressure pump type Schölander is being developed. Determining the Total Water Potential (TWP) using a Pressure Pump (Schölander pump) depends on the proper use and training of the operator but this does not ensure the accuracy and precision of the measurements being made. To avoid this problem, we are developing an automatic control and measurement system. The prototype system consists in of automatic controller, that controls a valve with differential step pressure control (which allows gradual increases in pressure inside the chamber) and optical sensor (which determine when water runs out of the petiole). With the integration of these components, it is possible to make the measurement automatically and it eliminates the human error in determining the TWP. On the other hand, this prototype allows the standardization of the speed and the increment of the pressure differential on the determination of TWP.

Resumen Diversas investigaciones han intentado resolver el problema de identificación de frutos u... more Resumen Diversas investigaciones han intentado resolver el problema de identificación de frutos u hojas mediante imágenes digitales, pero sólo lo han logrado parcialmente. Por esto, el objetivo de este trabajo es explorar una metodología de identificación que permita estimar áreas de hojas y racimos en viñedos, empleando imágenes en el espectro visible (RGB) y en el infrarrojo cercano (RGIR). El problema de la identificación fue abordando por dos vías, forma y color. En el caso de la identificación por forma se empleó la transformada circular de Hough y en el de la identificación por color se emplearon las técnicas de clasificación no supervisada denominadas kmeans y Fuzzy c-means. Se determinó que la clasificación mediante k-means sobre el espacio L*a*b*, para imágenes RGB y sobre el índice SAVI en las imágenes RGIR, son las técnicas más adecuadas. En cuanto a la identificación por forma, ésta resultó aplicable sólo en condiciones muy particulares.
Comparación de desempeño de una cámara de profundidad comercial y un LIDAR en explotaciones agrícolas

Computers and Electronics in Agriculture, 2012
A system for managing and monitoring agricultural operations at farm level, was developed and tes... more A system for managing and monitoring agricultural operations at farm level, was developed and tested in an agrochemical application. The system is an integration of an electronics box mounted on the tractor, and a software that acquires and analyzes data from the application task. The electronics box holds a microcontroller, a Global Positioning System (GPS), complementary sensors, a keyboard, a memory SD (Secure Disk) storage, and a Liquid Cristal Display (LCD). The device is able to store in the SD memory, the data of the position, the instantaneous speed of the tractor, the applied rate, the wind speed, the wind direction, the temperature, and the relative humidity. In addition, the system can alert of unfavorable weather conditions for the application of agro-chemicals. The interface to the user is a software that allows generating a job file, which identifies the operator name, the tractor, the spraying equipment, the pesticide, the rate, and the sector of application. The software also provides output data in graphical form, generating maps of speed, applied volume, and rate. The map of the route is also drawn on Google Earth, for a better spatial visualization. The acquired data is used to verify if the weather conditions, apt for the application of pesticide, were fulfilled, along with checking the variability of the rate, occurrence of row skipping, and indices of performance of the operator. The system was tested in two vineyards of Chile with promissory results.
Journal of Agricultural …, 2011
Abstract: A system for managing and monitoring agricultural labors at farm level was developed an... more Abstract: A system for managing and monitoring agricultural labors at farm level was developed and tested in an agrochemical application. The system is constituted by an electronics box mounted on the tractor and software that acquire and analyze data from ...
Resumen: Este trabajo presenta el desarrollo e implementación de una red de sensores inalámbrica ... more Resumen: Este trabajo presenta el desarrollo e implementación de una red de sensores inalámbrica para la estimación in situ de caudales mediante estaciones de aforo en una red de distribución de agua de riego además del uso tecnologías de transmisión de datos de corto alcance, bajo el protocolo ZigBee® y de largo alcance, con tecnología FHSS. Se muestra además en detalle el desarrollo de hardware y software ad hoc. La información es almacenada en una base datos MySQL y alojada en un servidor local para ser consultada a través de una plataforma Web. Los registros son mostrados a través de tablas y Google Maps®, para su ubicación espacial. Las pruebas preliminares muestran robustez en los sensores, la comunicación, así como rapidez, usabilidad y accesibilidad al sistema.
Uploads
Papers by Christian Correa