Papers by Daniel L. Harris

Wave transformation across coral reef platforms is the primary process affecting changes in coral... more Wave transformation across coral reef platforms is the primary process affecting changes in coral reef geomorphology.
Transformation regulates the amount of wave energy entering reef systems, however there have been relatively few
hydrodynamic assessments conducted on coral reefs when compared to siliciclastic environments with the effects of
common geomorphic features like rubble platforms on wave transformation never specifically examined. This study
focuses on the changes in wave characteristics across a rubble platform in a high energy environment (One Tree Reef,
southern Great Barrier Reef). Wave conditions were measured at five locations over two days along a cross-reef
transect from the reef rim to lagoon. Most of the wave energy was dissipated during wave breaking with energy
attenuation due to bottom friction a secondary process. Wave energy attenuation was between 60-99% of the offshore
wave conditions only during high tide would wave propagation across the reef platform be capable of affecting reef
geomorphology. The wave spectrum also changed with the shorter period gravity wave energy (3 – 20 s) almost
completely expending during transformation while longer period infragravity waves (20 – 300 s) were capable of
propagating across the reef platform. Wave heights were depth limited and primarily controlled by water depth which
suggests that water depth over the reef platform and subsequently elevation of the reef platform above mean sea level
govern the amount of wave energy transferred across into reef systems, with most of the gravity wave energy removed
during propagation over coral rubble platforms.

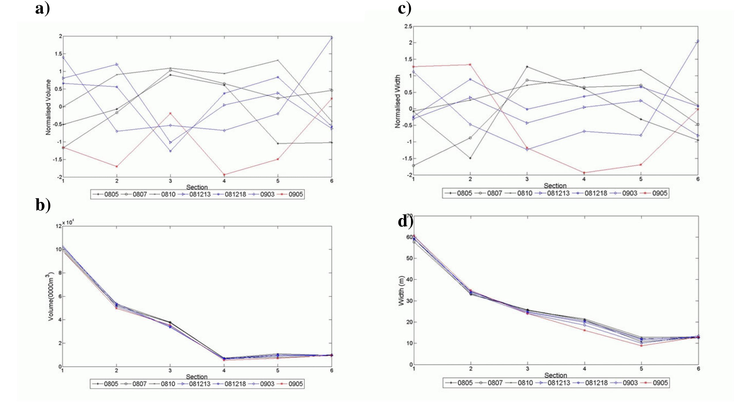
Sand aprons are ubiquitous formations in coral reef systems that are important components of reef... more Sand aprons are ubiquitous formations in coral reef systems that are important components of reef evolution and ecological functioning. Despite this little is known of the morphodynamic processes that drive their evolution. One Tree reef is a mature lagoonal patch reef located in the southern Great Barrier Reef (GBR) that includes a well developed southern sand apron. Current knowledge of sand apron evolution suggests that they are active progradational features which are predominately driven by wave generated swash. However, there have been few process based assessment that actively measure the evolution of these formations. This study investigates the sediment transport process on the One Tree reef southern sand apron through direct hydrodynamic measurement, morphological surveying and analysis of sediment textural parameters. Results indicate that sediment transport pathways and current flow direction are associated with morphological formations. Channel depressions in the sand apron are ebb dominated with sediment transport pathways and residual currents moving in the direction of these ebb channels. Shallower sections of the sand apron are flood/swash dominated with sediment transport in the direction of the lagoon. These results show that sediment transport on the sand apron is complex and can occur under average hydrodynamics conditions. They also indicate that there are similarities between the processes acting in coral reef settings and typical siliciclastic systems such as tidal inlets and estuaries.

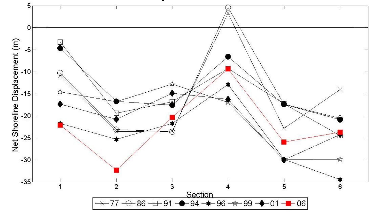
Shoal Bay is an embayed estuarine beach in the tide dominated estuary of Port Stephens on a wave ... more Shoal Bay is an embayed estuarine beach in the tide dominated estuary of Port Stephens on a wave dominated coast. It has been undergoing erosion for the past 40 years with the cross-shore extent associated with a well developed flood-tide delta (FTD). Morphodynamics of FTDs are poorly understood, despite their ubiquitous nature on wave dominated coastlines. This paper presents a multi-scale detailed study on the morphodynamics of Shoal Bay beach and associated estuarine morphologies. Our study included short term summer and winter intensive surveys (hydrodynamics and morphology), over one year of beach surveys to analyse seasonal beach behaviour and long-term evolution using ArcGIS on four decades of aerial photographs. It is expected that the results from this study will be relevant for the future management of the study area.
Westward trending sediment pathways were found at all three time-scales with short-term studies indicating that measured currents have the capability of transporting sediment alongshore towards the west. This corresponded with accumulation of sediment in the western end of the beach at all scales, with high energy events triggering considerable beach change causing erosion. Significant erosion and shoreline recession was found in the long- and medium- term morphological analysis. Additional information regarding the ARC Port Stephens project can be found at:
http://www.geosci.usyd.edu.au/research/re_portstephens.shtml.
Uploads
Papers by Daniel L. Harris
Transformation regulates the amount of wave energy entering reef systems, however there have been relatively few
hydrodynamic assessments conducted on coral reefs when compared to siliciclastic environments with the effects of
common geomorphic features like rubble platforms on wave transformation never specifically examined. This study
focuses on the changes in wave characteristics across a rubble platform in a high energy environment (One Tree Reef,
southern Great Barrier Reef). Wave conditions were measured at five locations over two days along a cross-reef
transect from the reef rim to lagoon. Most of the wave energy was dissipated during wave breaking with energy
attenuation due to bottom friction a secondary process. Wave energy attenuation was between 60-99% of the offshore
wave conditions only during high tide would wave propagation across the reef platform be capable of affecting reef
geomorphology. The wave spectrum also changed with the shorter period gravity wave energy (3 – 20 s) almost
completely expending during transformation while longer period infragravity waves (20 – 300 s) were capable of
propagating across the reef platform. Wave heights were depth limited and primarily controlled by water depth which
suggests that water depth over the reef platform and subsequently elevation of the reef platform above mean sea level
govern the amount of wave energy transferred across into reef systems, with most of the gravity wave energy removed
during propagation over coral rubble platforms.
Westward trending sediment pathways were found at all three time-scales with short-term studies indicating that measured currents have the capability of transporting sediment alongshore towards the west. This corresponded with accumulation of sediment in the western end of the beach at all scales, with high energy events triggering considerable beach change causing erosion. Significant erosion and shoreline recession was found in the long- and medium- term morphological analysis. Additional information regarding the ARC Port Stephens project can be found at:
http://www.geosci.usyd.edu.au/research/re_portstephens.shtml.