Journal Papers by Dhanesh Sambariya

The design of a proportional, derivative, and integral (PID) based power system stabilizer (PSS) ... more The design of a proportional, derivative, and integral (PID) based power system stabilizer (PSS) is carried out using the bat algorithm (BA). The design of proposed PID controller is considered with an objective function based on square error minimization to enhance the small signal stability of nonlinear power system for a wide range of operating conditions. Three benchmark power system models as single-machine infinite-bus (SMIB) power system, two-area four-machine ten-bus power system, and IEEE New England ten-machine thirty-nine-bus power system are considered to examine the effectiveness of the designed controller. The BA optimized PID based PSS (BA-PID-PSS) controller is applied to these benchmark systems, and the performance is compared with controllers reported in literature. The robustness is tested by considering eight plant conditions of each system, representing the wide range of operating conditions. It includes unlike loading conditions and system configurations to establish the superior performance with BA-PID-PSS over-the-counter controllers.
This article presents the design of optimized fuzzy logic-based power system stabilizer (FPSS) to... more This article presents the design of optimized fuzzy logic-based power system stabilizer (FPSS) to enhance small signal stability using bat algorithm (BA). The proposed optimization of scaling factors of FPSS is considered with an objective function based on square error minimization to guarantee the stability of nonlinear models of test system using BA. The BA-optimized FPSS (BAFPSS) controller is applied to the standard IEEE tenmachine thirty-nine-bus test power system model in the decentralized manner, and the performance is compared with the robust fuzzy controller. The robustness is tested by considering four different models of the test power system with different fault locations to establish the superiority of the proposed BAFPSS over the FPSS.

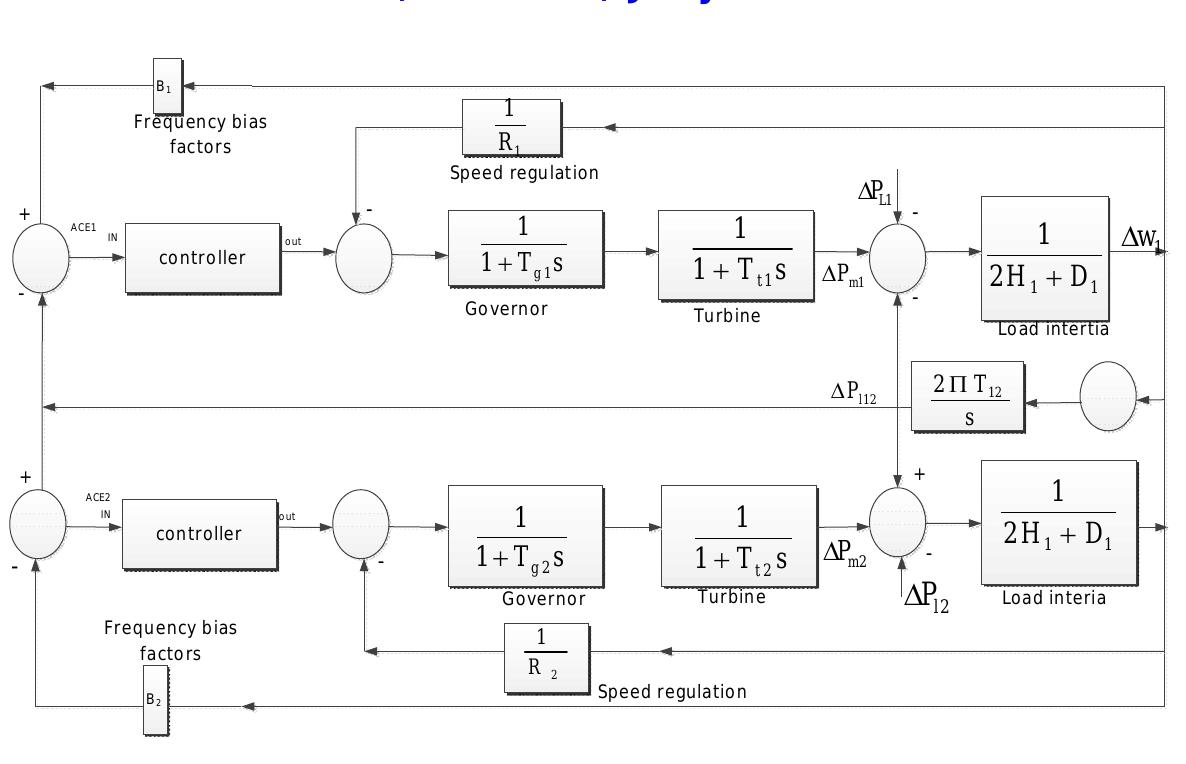
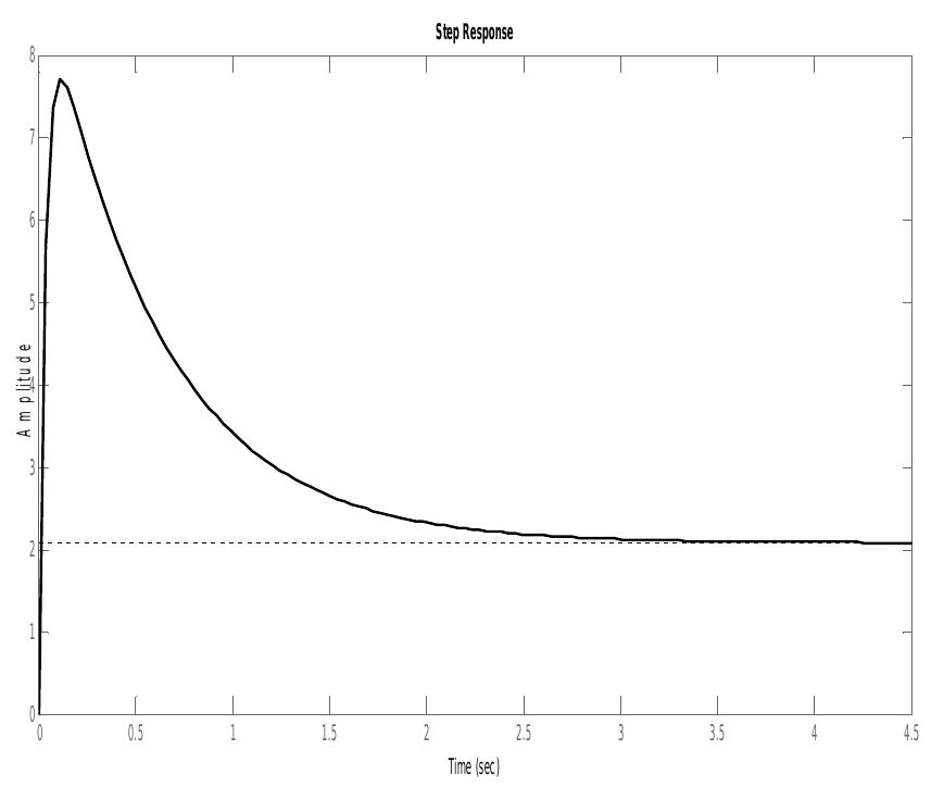
A simultaneous study of load frequency control and automatic voltage regulation is considered. Th... more A simultaneous study of load frequency control and automatic voltage regulation is considered. The singlearea and two-area power systems have been considered with a combined model of AGC and AVR for analysis of frequency and voltage deviation. The primary aspect of the design is to keep real power control as to preserve frequency of the system in a prescribed limit. Reactive power control is used to keep the voltage magnitude of synchronous generator at a tolerable limit. The transients produced in dynamic responses are controlled using intelligent and soft-computing technique. The fuzzy logic controller and particle swarm optimization based PID controllers are considered. The steady state error and settling time of the dynamic responses are observed and found to be reduced very effectively. The frequency and terminal voltage results of a single-area power system with proposed PSO-PID controller is compared to the responses of system with controllers presented in literature and found to be more effective. The comparison of fuzzy logic controller with PSO-PID is done by observing the nature of two-area responses. The result obtained by soft computing algorithm and intelligent controller is analyzed on the basis of settling-time, undershoot and ISE Error.

In this paper the performance analysis of an interval type-2 fuzzy logic controller (IT2 FLC) as ... more In this paper the performance analysis of an interval type-2 fuzzy logic controller (IT2 FLC) as a power system stabilizer (PSS) is carried out. The input signals to the controller are considered as speed deviation and acceleration. The application of IT2 FLC as PSS (IT2 FPSS) is considered to improve small signal stability of power system. It is considered for three different benchmark systems such as single-machine infinite-bus (SMIB), two-area four-machine and IEEE ten-machine thirty nine-bus power system. The performance with IT2 FPSS is compared against the performance of the power system without PSS, with conventional PSS (CPSS) and with fuzzy PSS (FPSS). The application of IT2 FPSS is extended to two-area four-machine ten-bus and IEEE New England ten-machine thirty nine-bus power system and speed response comparison is carried out with FPSS. The superiority of performance with IT2 FPSS over type-1 FPSS is validated in terms of ITAE, IAE and ISE.
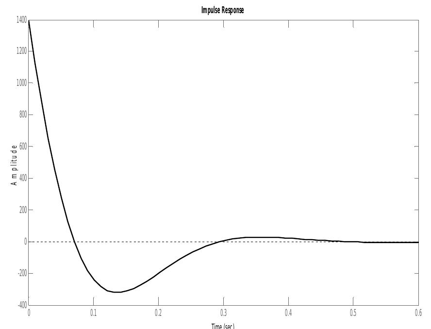
In this paper, higher order single-input and single-output models are considered for reduction us... more In this paper, higher order single-input and single-output models are considered for reduction using differentiation method. The analysis of higher order models is complex, and time consuming. The application of model order reduction is necessitated to reduce the system with its core properties. The analysis of a low order system is easy, and fast process. The higher order systems are reduced using differentiation method and the results are compared with original and the reduced systems in literature. The performance comparison of the proposed reduced order model and original as well as systems in literature have been considered in terms of settling time, rise time, peak and peak time. The application of proposed differentiation method is applied to discrete system and found equally good to retain the stability in reduced order model.
In this paper, a high-order transfer function is reduced by the stability equation method. The re... more In this paper, a high-order transfer function is reduced by the stability equation method. The reduced model is based on the pole zero patterns. In this paper, the stability equation method is compared to other methods and proved to be better in comparison to other methods in literature.
Load frequency control (LFC) is required for reliable operation of a large interconnected power s... more Load frequency control (LFC) is required for reliable operation of a large interconnected power system. The main work of load frequency control is to regulate the power output of the generator within a specified area with respect to change in the system frequency and tie-line power; such as to maintain the scheduled system frequency and power interchange with other areas in a prescribe limits. In this paper, study of LFC system for single area and double area non-reheat thermal system is carried out. Fuzzy logic controller is used for controlling the frequency and tie-line power deviation. The robustness of the fuzzy logic controller is seen for different loading condition.

In this paper the study of AGC and AVR taken together. In the power system it is require maintain... more In this paper the study of AGC and AVR taken together. In the power system it is require maintaining the frequency and voltage in a tolerable limit. but due to sudden load variation it is difficult to maintain them in a prescribe limit; so it is necessary to take some control action for this automatic generation control for frequency and automatic voltage regulator for voltage is used. The AGC is used for balancing system generation against system load and losses. Further the role of the AVR is used to maintain terminal voltage of the synchronous generator in order to keep the bus bar voltage in a tolerable limit. By using MATLAB software of version R2010 a, the analysis of frequency deviation and voltage variation with time is done for a single area system. By using the controller it can be seen that the deviation of frequency response and voltage is minimized. In this paper the comparison of a conventional controller like PI, PID is done with fuzzy logic controller, and we find that fuzzy controller is better than the conventional controller.
In this paper, the design of a proportional, derivative and integral (PID) based power system sta... more In this paper, the design of a proportional, derivative and integral (PID) based power system stabilizer (PSS) is carried out using a new Meta heuristic harmony search algorithm (HSA) to optimize the parameters. The design of proposed PID controller is considered with an objective function based on eigenvalue shifting to guarantee the stability of nonlinear plant for a wide range of conditions using HSA. The HSA optimized PIDPSS (HSPIDPSS) controller is applied to the standard IEEE ten-machine thirty nine-bus test power system model in decentralized manner and the performance is compared with a robust fuzzy controller. The robustness is tested by considering four plant conditions with change of active power, active load and faults at different buses of the power system to establish, the superior performance with HSPIDPSS over the FPSS.
Your article is protected by copyright and all rights are held exclusively by Taiwan Fuzzy System... more Your article is protected by copyright and all rights are held exclusively by Taiwan Fuzzy Systems Association and Springer-Verlag Berlin Heidelberg. This e-offprint is for personal use only and shall not be selfarchived in electronic repositories. If you wish to self-archive your article, please use the accepted manuscript version for posting on your own website. You may further deposit the accepted manuscript version in any repository, provided it is only made publicly available 12 months after official publication or later and provided acknowledgement is given to the original source of publication and a link is inserted to the published article on Springer's website. The link must be accompanied by the following text: "The final publication is available at link.springer.com".

In this paper, the fuzzy logic controller (FLC) based power system stabilizer (PSS) with compress... more In this paper, the fuzzy logic controller (FLC) based power system stabilizer (PSS) with compressed / reduced rule is presented. The FLC rule base is generally based on empirical control rules. In this method, the fuzzy system with a large number of fuzzy rules is compressed to a fuzzy system with a reduced number of rules by removing the redundant and inconsistent rules from the rule base which doesn't affect the performance of the fuzzy logic controller. The FLC based PSS has two input signals as speed deviation and derivative of speed deviation with an appropriate number of linguistic variables. The number of compressed rules in the rule base through the proposed dominant rule algorithm is reduced to a number as low in the number of selected linguistic variables to represent input and output signals. The application of the FLC with compressed rules as a power system stabilizer (CR-FPSS) is investigated by simulation studies on a single-machine infinite-bus system (SMIB). The superior performance of this compressed rule based fuzzy PSS (CR-FPSS) as compared to conventional PSS and proves the better efficiency of this new CR-FPSS. The reduced CPU computational time and storage space as compared to the fuzzy power system stabilizer (FPSS), proves its applicability in control.
![Research paper thumbnail of D. K. Sambariya and R. Prasad, "Robust tuning of power system stabilizer for small signal stability enhancement using metaheuristic bat algorithm," International Journal of Electrical Power & Energy Systems, vol. 61, pp. 229-238, 2014. [Elsvier, Scince Direct, SCI 2014]](https://attachments.academia-assets.com/34548133/thumbnails/1.jpg)
Conventional power system stabilizer Bat algorithm Bat algorithm optimized conventional power sys... more Conventional power system stabilizer Bat algorithm Bat algorithm optimized conventional power system stabilizer (BA-CPSS) Particle swarm optimization based CPSS (PSO-CPSS) controller Single-machine infinite-bus (SMIB) power system a b s t r a c t In this paper, the design of a conventional power system stabilizer (CPSS) is carried out using the bat algorithm (BA) to optimize its gain and pole-zero parameters. The proposed optimization of CPSS parameters is considered with an objective function based on eigenvalue shifting to guaranteeing the stability of nonlinear plant for a wide range of operating conditions of the single-machine infinite-bus power system model. The system performance with BA optimized CPSS (BA-CPSS) controller is compared with a particle swarm optimization based CPSS (PSO-CPSS) controller. The robustness is tested by considering several operating conditions (133 in numbers) to establish the superior performance with BACPSS over the PSO-CPSS.
![Research paper thumbnail of D. K. Sambariya and R. Prasad, "Evaluation of interval type-2 fuzzy membership function & robust design of power system stabilizer for SMIB power system," Sylwan Journal, vol. 158, no. 5, pp. 289-307, April 2014 2014. [SCI, 2014]](https://attachments.academia-assets.com/34548160/thumbnails/1.jpg)
In this paper the evaluation & performance analysis of an interval type-2 fuzzy logic controller ... more In this paper the evaluation & performance analysis of an interval type-2 fuzzy logic controller (IT2 FLC) as a power system stabilizer (PSS) is carried out. The single machine infinite bus (SM IB) system is considered for evaluation and implementation of IT2 FLC as PSS. The input signals to the controller are considered as speed deviation & acceleration. The evaluation of the controller is considered with 20 separate types of membership functions (M Fs) and treated as IT2 FPSS on SM IB system to evaluate the performance of each. The performance of these M Fs is evaluated graphically as well as in terms of ISE, IAE & ITAE as the performance index. The better suitable MF as FPSS is decided out of considered 20 M Fs. The selected M F based IT2 FPSS is tested for small signal performance analysis of an SM IB system with wide operating conditions of a power system. The performance with IT2 FPSS is compared to the performance of the power system without PSS & with conventional P SS.
Dynamic stability analysis of a large interconnected power system is extremely time consuming and... more Dynamic stability analysis of a large interconnected power system is extremely time consuming and laborious and may even exceed the storage capacity of modern fast computers because of the high order of the system matrix. The complexity often makes it difficult to obtain a good understanding of the behavior of a system. The exact analysis of most of high order system is both tedious and costly; it poses a great challenge to both system analyst and control engineer. The preliminary design and optimization of such systems can often be accomplished with greater ease if a low order linear model is derived which provides a good approximation to the system. Hence, methods have been developed here to obtain simplified models of the systems by using different reduction techniques.
D. K. Sambariya and R. Prasad, "Stability Equation method based Stable Reduced Model of Single Machine Infinite Bus System with Power System Stabilizer," International Journal of Electronic and Electrical Engineering, vol. 5, no. 2, pp. 101-106, September 29-30, 2012 2012.
D. K. Sambariya and R. Gupta, "Fuzzy Applications in a Multi-Machine Power System Stabilizer," Journal of Electrical Engineering & Technology, vol. 5, pp. 503-510, 2010. [SCI, 2010]
D. K. Sambariya, R. Gupta, and A. K. Sharma, "Fuzzy Applications to Single Machine Power System Stabilizers," Journal of Theoretical and Applied Information Technology, vol. 5, no. 3, pp. 317-324, 2009.
Conference Presentations by Dhanesh Sambariya
D. K. Sambariya and A. S. Rajawat, "Application of Routh stability array method to reduce MIMO SMIB power system," in 6th IEEE International Conference on Power Systems, (ICPS-2016), IIT Delhi, India, 2016, pp. 1-6.
Uploads
Journal Papers by Dhanesh Sambariya
Conference Presentations by Dhanesh Sambariya