Papers by Dmitry Ponomarev
Russian Journal of Theriology
In this paper we present the results of the study of rodent faunas from five cave localities in t... more In this paper we present the results of the study of rodent faunas from five cave localities in the Chernyshev Ridge located along the Usa and Sharyu Rivers, dated to the Early Holocene, the Late Holocene and "historical" (subrecent) time intervals. The changes in the fauna are correlated with regional alterations in climate and related shifts in the vegetation. Early Holocene faunas consist mainly of forest and intrazonal species; however, there is still a significant portion (10-13%) of tundra species. Late Holocene assemblages are also dominated by forest and intrazonal species but tundra species are less abundant (2.5%). The most recent rodent fauna of the taiga zone in the Chernyshev Ridge area, dated to the last decades, as well as the modern regional fauna, lacks tundra species and consists of forest and intrazonal rodent species.

Vestnik of Institute of Geology of Komi Science Center of Ural Branch RAS, 2016
Голоценовая история фауны мелких млекопитающих представляет интерес как пример трансформации сооб... more Голоценовая история фауны мелких млекопитающих представляет интерес как пример трансформации сообществ под воздействием естественной динамики климата. Объектами изучения являлись 2720 щечных зубов мелких млекопитающих из местонахождений долины р. Шаръю (левый приток р. Усы), которые исследовались стандартными палеонтологическими методами. Для датирования ископаемых комплексов использовался 14 С УМС-метод. Местонахождения представляют собой зоогенные скопления с массовыми остатками позвоночных животных. В результате описаны две фазы развития микротериофауны гряды Чернышева: субатлантического и современного периодов. Установлено, что в субатлантическое время микротериофауна гряды Чернышева имела типичный лесной облик и была практически идентична синхронным сообществам мелких млекопитающих Приполярного Урала и сильно контрастировала с сообществами восточного макросклона Полярного Урала. Различия в видовых составах костных остатков грызунов из Шаръю-2 и Шаръю-3, очевидно, связаны с деятельностью разных видов пернатых хищников (дневных хищников и сов). Различия современных комплексов мелких млекопитающих гряды Чернышева и сопредельных территорий объясняется тафономическими причинами. Ключевые слова: мелкие млекопитающие, поздний голоцен, гряда Чернышева, северо-восток европейской части России.

Global change biology, Jan 25, 2016
Recent palaeogenetic studies indicate a highly dynamic history in collared lemmings (Dicrostonyx ... more Recent palaeogenetic studies indicate a highly dynamic history in collared lemmings (Dicrostonyx spp.), with several demographical changes linked to climatic fluctuations that took place during the last glaciation. At the western range margin of D. torquatus, these changes were characterized by a series of local extinctions and recolonizations. However, it is unclear whether this pattern represents a local phenomenon, possibly driven by ecological edge effects, or a global phenomenon that took place across large geographical scales. To address this, we explored the palaeogenetic history of the collared lemming using a next-generation sequencing approach for pooled mitochondrial DNA amplicons. Sequences were obtained from over 300 fossil remains sampled across Eurasia and two sites in North America. We identified five mitochondrial lineages of D. torquatus that succeeded each other through time across Europe and western Russia, indicating a history of repeated population extinctions ...
Quaternary International, 2015
A recent update of the PALEOFAUNA database (including new 14 C dates) revealed new insights in th... more A recent update of the PALEOFAUNA database (including new 14 C dates) revealed new insights in the changes in the geographical distribution and the (local) extinction of larger mammals in Northern Eurasia during the second part of the Late Pleistocene and the Holocene, a period with dramatic changes in climate. In this paper, we present and discuss the observed changes in the distribution of two herbivore species: the musk ox Ovibos moschatus and the extinct bison Bison priscus, which are the major components of the "mammoth steppe" mammalian assemblage. The decrease of their ranges and their extinction during the Holocene (as a part of the Megafauna extinction in Eurasia) was primarily connected with changes in climate and partly the result of Anthropogenic pressure.

Russian Journal of Ecology, 2012
The results of studies on small mammal bone assemblages from seven cave type sites on the Shchugo... more The results of studies on small mammal bone assemblages from seven cave type sites on the Shchugor and Kozhim rivers are presented. Four stages in the development of small mammal fauna in the Nether Polar Urals are described, which correspond to the Alleröd, Younger Dryas, Early Holocene, and Subatlantic periods. The moderately cryohydrophilic fauna of the Alleröd was replaced by an atypically "mild" xerophylic community in the Younger Dryas. In the Early Holocene, its structure still included con siderable proportions of tundra species, which, along with forest species, were also found in the subfossil assemblage from the Subatlantic. It is shown that the transformation of the small mammal fauna in the above sites had a specific pattern, compared to that in other regions of northeastern Europe and to the dynamics of the natural environment and climate.
Quaternary International, 2015
Remarkable and intriguing is the discovery of Desman remains in Sed'yu-1 (Komi Republic, Russia) ... more Remarkable and intriguing is the discovery of Desman remains in Sed'yu-1 (Komi Republic, Russia) in the far northeast of Europe; finds that are dated to the Bølling Interstadial. Mammalian communities including desman are dominated by the Siberian lemming. A review of Lateglacial desman finds in Europe and the Urals as well as the contemporaneous mammalian communities in northeastern European are presented and the possible migration ways desmans used during the Lateglacial expansion are discussed.

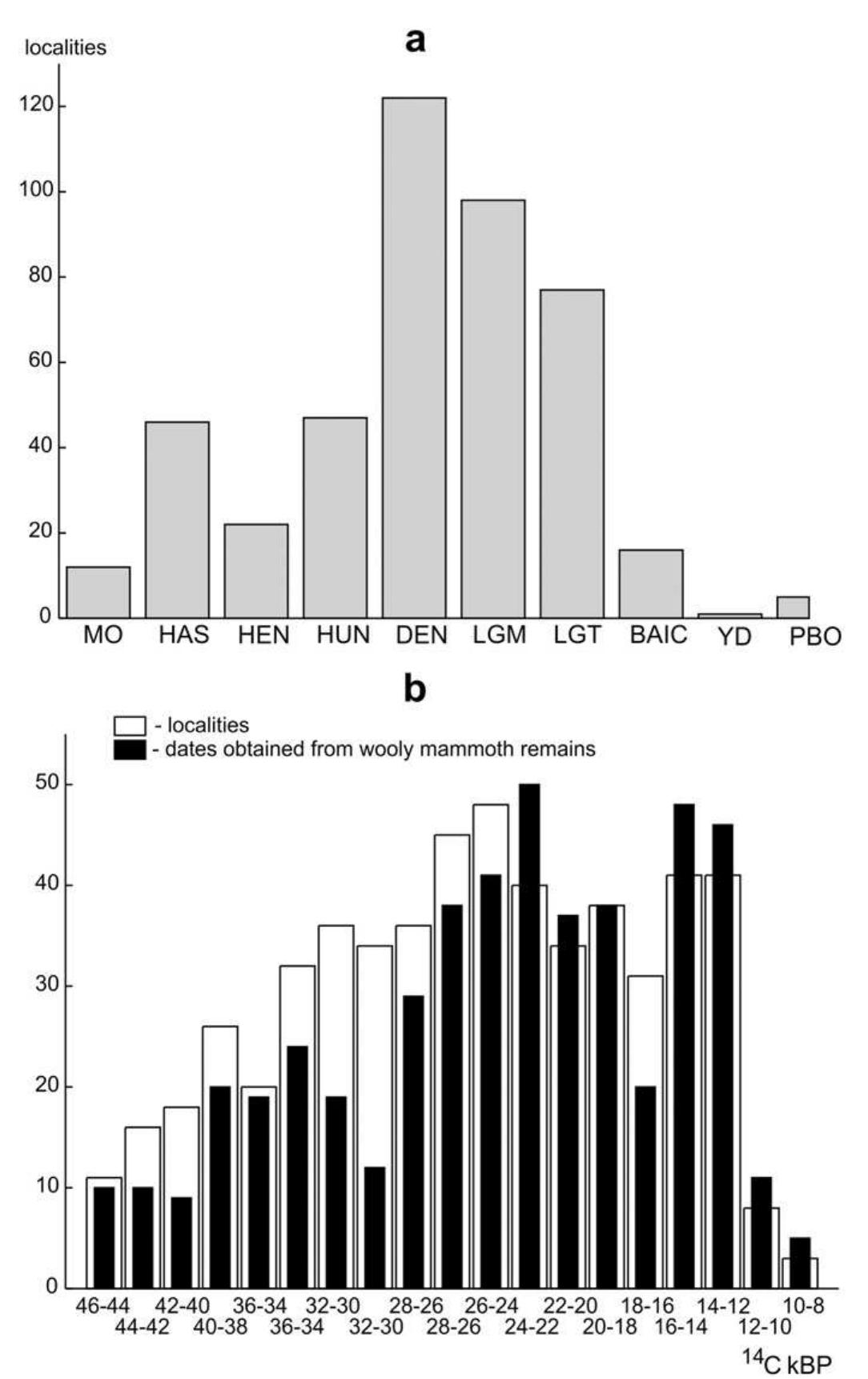
Quaternary International, 2013
The PALEOFAUNA database developed by the authors contains information on more than 5500 Eurasian ... more The PALEOFAUNA database developed by the authors contains information on more than 5500 Eurasian localities that yielded Late Pleistocene and Holocene mammalian fossils. The database is used to analyze the changes in the geographical distribution during the second half of the Late Pleistocene and the Holocene of two significant species e the mammoth Mammuthus primigenius and the woolly rhinoceros Coelodonta antiquitatis. Based on the geographical information, combined with (new) radiocarbon data, a correlation has been established between the observed shifts in the ranges of the two species and the climatic changes that occurred during the past 50 000 years. The results indicate that both species changed their distribution repeatedly; the expansion of the ranges increased during stadial intervals and decreased during most interstadials. Both species reached their maximum expansion during the Denekamp (¼Bryansk) Interstadial, a relatively long interval that includes a number of cold phases. Later, the ranges in Europe of both mammoth and rhinoceros were reduced, a process that started before the end of the LGM. Progressive warming from the end of the Pleistocene onwards resulted in dramatic changes in the environment that appeared to be critical for the distribution of those animals. Mammoth and woolly rhinoceros ranges disintegrated into isolated spots, and later they disappeared completely from Eurasia. Relict populations of small mammoths persisted longer on isolated islands such as Wrangel Island. However, not only climate change had an impact on the distribution of the two species. Late Paleolithic and Mesolithic hunters might also have affected the size of the mammoth and woolly rhinoceros populations. Their impact was probably particularly high when the species were close to extinction.
Doklady Earth Sciences, 2012
Twelve new AMS (Accelerator Mass Spectrometry) dates of large Quaternary mammal remains were repo... more Twelve new AMS (Accelerator Mass Spectrometry) dates of large Quaternary mammal remains were reported: mammoth (Mammuthus primigenius), bison (Bison priscus), and musk ox (Ovibos pallantis) found in the Archangelsk Region. The absolute age of the identified samples varies from 46 000 to 22 000 cal ibrated years ago. These data suggest that a substantial part of the Archangelsk Region was not covered by ice during the indicated time interval.
Russian Journal of Theriology, 2012
In this article we review all the available data on fossil mammal faunas of northeastern Europe a... more In this article we review all the available data on fossil mammal faunas of northeastern Europe and analyze the Late Glacial and Holocene dynamics of micro mammalian communities of the entire region. The development of micromammalian assemblages is interpreted in terms of environmental changes. Time intervals used in this paper ( 14 C years BP): 1) Bølling-Allerød Interstadial complex (BAIC), 12 700 10 950; 2) Younger Dryas (YD), 10 95010 150; 3) Preboreal period of the Early Holocene (PB), 10 150 9000; 4) Boreal period of the Early Holocene (BO), 90008000; 5) Atlantic period of the Middle Holocene (AT), 80005000; 6) Subboreal period of the Middle Holocene (SB) 50002500, and 7) Subatlantic period of the Late Holocene 2500200.
Late Holocene small mammals from localities of Sharyu River Valley (Scheryshev's Ridge)

Quaternary International, 2015
A recent update of the PALEOFAUNA database (including new 14 C dates) revealed new insights in th... more A recent update of the PALEOFAUNA database (including new 14 C dates) revealed new insights in the changes in the geographical distribution and the (local) extinction of larger mammals in Northern Eurasia during the second part of the Late Pleistocene and the Holocene, a period with dramatic changes in climate. In this paper, we present and discuss the observed changes in the distribution of two herbivore species: the musk ox Ovibos moschatus and the extinct bison Bison priscus, which are the major components of the "mammoth steppe" mammalian assemblage. The decrease of their ranges and their extinction during the Holocene (as a part of the Megafauna extinction in Eurasia) was primarily connected with changes in climate and partly the result of Anthropogenic pressure. Quaternary International xxx (2015) 1e12 Please cite this article in press as: Markova, A.K., et al., Changes in the Eurasian distribution of the musk ox (Ovibos moschatus) and the extinct bison (Bison priscus) during the last 50 ka BP, Quaternary International (2015), http://dx.
Doklady Earth Sciences, 2010
Twelve new AMS (Accelerator Mass Spectrometry) dates of large Quaternary mammal remains were repo... more Twelve new AMS (Accelerator Mass Spectrometry) dates of large Quaternary mammal remains were reported: mammoth (Mammuthus primigenius), bison (Bison priscus), and musk ox (Ovibos pallantis) found in the Archangelsk Region. The absolute age of the identified samples varies from 46 000 to 22 000 cal ibrated years ago. These data suggest that a substantial part of the Archangelsk Region was not covered by ice during the indicated time interval.

Recent palaeogenetic studies indicate a highly dynamic history in collared lemmings (Dicrostonyx ... more Recent palaeogenetic studies indicate a highly dynamic history in collared lemmings (Dicrostonyx spp.), with several
demographical changes linked to climatic fluctuations that took place during the last glaciation. At the western range
margin of D. torquatus, these changes were characterized by a series of local extinctions and recolonizations. However,
it is unclear whether this pattern represents a local phenomenon, possibly driven by ecological edge effects, or a global
phenomenon that took place across large geographical scales. To address this, we explored the palaeogenetic history of
the collared lemming using a next-generation sequencing approach for pooled mitochondrial DNA amplicons.
Sequences were obtained from over 300 fossil remains sampled across Eurasia and two sites in North America. We
identified five mitochondrial lineages of D. torquatus that succeeded each other through time across Europe and western
Russia, indicating a history of repeated population extinctions and recolonizations, most likely from eastern Russia,
during the last 50 000 years. The observation of repeated extinctions across such a vast geographical range indicates
large-scale changes in the steppe-tundra environment in western Eurasia during the last glaciation. All Holocene samples, from across the species’ entire range, belonged to only one of the five mitochondrial lineages. Thus, extant
D. torquatus populations only harbour a small fraction of the total genetic diversity that existed across different stages
of the Late Pleistocene. In North American samples, haplotypes belonging to both D. groenlandicus and D. richardsoni
were recovered from a Late Pleistocene site in south-western Canada. This suggests that D. groenlandicus had a more
southern and D. richardsoni a more northern glacial distribution than previously thought. This study provides significant
insights into the population dynamics of a small mammal at a large geographical scale and reveals a rather complex
demographical history, which could have had bottom-up effects in the Late Pleistocene steppe-tundra ecosystem.

The PALEOFAUNA database developed by the authors contains information on more than 5500 Eurasian
... more The PALEOFAUNA database developed by the authors contains information on more than 5500 Eurasian
localities that yielded Late Pleistocene and Holocene mammalian fossils. The database is used to analyze
the changes in the geographical distribution during the second half of the Late Pleistocene and the
Holocene of two significant species e the mammoth Mammuthus primigenius and the woolly rhinoceros
Coelodonta antiquitatis. Based on the geographical information, combined with (new) radiocarbon data,
a correlation has been established between the observed shifts in the ranges of the two species and the
climatic changes that occurred during the past 50 000 years. The results indicate that both species
changed their distribution repeatedly; the expansion of the ranges increased during stadial intervals and
decreased during most interstadials. Both species reached their maximum expansion during the Denekamp
(¼Bryansk) Interstadial, a relatively long interval that includes a number of cold phases. Later, the
ranges in Europe of both mammoth and rhinoceros were reduced, a process that started before the end of
the LGM. Progressive warming from the end of the Pleistocene onwards resulted in dramatic changes in
the environment that appeared to be critical for the distribution of those animals. Mammoth and woolly
rhinoceros ranges disintegrated into isolated spots, and later they disappeared completely from Eurasia.
Relict populations of small mammoths persisted longer on isolated islands such as Wrangel Island.
However, not only climate change had an impact on the distribution of the two species. Late Paleolithic
and Mesolithic hunters might also have affected the size of the mammoth and woolly rhinoceros populations.
Their impact was probably particularly high when the species were close to extinction.
A recent update of the PALEOFAUNA database (including new 14 C dates) revealed new insights in th... more A recent update of the PALEOFAUNA database (including new 14 C dates) revealed new insights in the changes in the geographical distribution and the (local) extinction of larger mammals in Northern Eurasia during the second part of the Late Pleistocene and the Holocene, a period with dramatic changes in climate. In this paper, we present and discuss the observed changes in the distribution of two her-bivore species: the musk ox Ovibos moschatus and the extinct bison Bison priscus, which are the major components of the " mammoth steppe " mammalian assemblage. The decrease of their ranges and their extinction during the Holocene (as a part of the Megafauna extinction in Eurasia) was primarily connected with changes in climate and partly the result of Anthropogenic pressure.
Results of studying micromammalian remains from 15 cave-type localities situated in norteastern E... more Results of studying micromammalian remains from 15 cave-type localities situated in norteastern Europe are presented. Radiocarbon dating enabled to study the fauna development during six climatic phases: Bølling-Allerød, Younger Dryas, Preboreal, Boreal, Subboreal and Subatlantic. Assemblages of Bølling-Allerød with predominance of Siberian lemming are followed by communities of the Younger Dryas. These are dominated by xerophilous species: narrow-headed vole in the Subpolar Urals, and collared lemming in the rest of region. A considerable proportion of tundra species remained in communities during the Preboreal. Radical transformation of micromammalian communities from tundra-steppe to forest have occurred after 9000 BP, and possibly before 8500 BP. The modern-like fauna was formed during the Subatlantic.

Evolution of occlusal shape of the first and second upper molars of Middle–Late Pleistocene colla... more Evolution of occlusal shape of the first and second upper molars of Middle–Late Pleistocene collared lemmings (Dicrostonyx, Arvicolinae, Rodentia) in northeast European Russia DMITRY PONOMAREV AND ANDREY PUZACHENKO Ponomarev, D. & Puzachenko, A.2015 (October): Evolution of occlusal shape of first and second upper molars of Middle–Late Pleistocene collared lemmings (Dicrostonyx, Arvicolinae, Rodentia) in northeast European Russia. An approach combining traditional morphotypical methods, multivariate analysis and informational-statistical methods was used to study evolutionary changes in the occlusal shape of the first and second upper molars of Recent and Middle–Late Pleistocene Dicrostonyx (32 samples) from localities in northeast European Russia (northeastern Russian Plain, the Timan Ridge and the northern part of the Urals). The evolutionary history is described in terms of morphological evolutionary levels of teeth suggested by Smirnov et al. (1997, Materialy Po Istorii I Sovremennomu Sostojaniju Fauny Severa Zapadnoj Sibiri: Sbornik Nauchnyh Trudov, Chelyabinsk, slightly modified). Based on 14 C-dated samples, levels of molar evolution did not always successively replace each other in time, but rather there were often synchronous populations at any given level. This finding supports the notion of a mosaic pattern of morphotypical diversity and relatively independent, parallel evolution of lem-ming teeth amongst different populations. Six relatively distinct stages in the evolutionary history of Dicrostonyx from the Pechora (Dnieper) to Recent time have been described, but estimations of their relative ages are often debatable. The rates of change in the M1 and M2 morphotypes and morphological diversity in collared lem-mings varied over the entire time interval. The fastest replacement of morphotypes and the highest level of morphological diversity in the study area occurred approximately during the Lateglacial (16–10 cal. ka BP). In the present study, we suggest a new version of evolutionary history of collared lemmings in northeast European Russia, taking into consideration the morphological variability of molars, radiocarbon dates and geological data. Our results provide a more detailed pattern of species evolution in the studied region and specific ages of some localities.

The paper summarises materials on the mammal remains in northeastern Europe, dated by radiocarbon... more The paper summarises materials on the mammal remains in northeastern Europe, dated by radiocarbon. Altogether,
23 local faunas of small mammals and 47 local faunas of large mammals were analysed. Multidimensional
statistical analysis shows a strong correlation between changes in small mammal fauna composition and climate
changes throughout time. The correlations with the spatial gradients, however, are less pronounced. The faunas
are classified into three groups: (1) faunas of Holocene age; (2) Late Pleistocene ‘stadial’ assemblages; and (3) Late
Pleistocene ‘interstadial’ assemblages. In some cases, changes in species abundance are better understood in terms
of biotic interrelations rather than of climatic effects. The most pronounced change in small mammal fauna
composition and structure occurred at the Preboreal/Boreal boundary, and a less conspicuous alteration took
place at the LGM/Lateglacial transition. The most noticeable transformation in the large mammal fauna composition
is dated to the early Holocene. Less significant changes are observed at the Middle Weichselian/LGM
transition and at the LGM/Lateglacial transition. It is safely concluded that variations in the faunas of small and
large mammals recorded in NE Europe during the last 35 000 years occurred synchronously and unidirectionally.
Doklady Earth Sciences, 2010
Uploads
Papers by Dmitry Ponomarev
demographical changes linked to climatic fluctuations that took place during the last glaciation. At the western range
margin of D. torquatus, these changes were characterized by a series of local extinctions and recolonizations. However,
it is unclear whether this pattern represents a local phenomenon, possibly driven by ecological edge effects, or a global
phenomenon that took place across large geographical scales. To address this, we explored the palaeogenetic history of
the collared lemming using a next-generation sequencing approach for pooled mitochondrial DNA amplicons.
Sequences were obtained from over 300 fossil remains sampled across Eurasia and two sites in North America. We
identified five mitochondrial lineages of D. torquatus that succeeded each other through time across Europe and western
Russia, indicating a history of repeated population extinctions and recolonizations, most likely from eastern Russia,
during the last 50 000 years. The observation of repeated extinctions across such a vast geographical range indicates
large-scale changes in the steppe-tundra environment in western Eurasia during the last glaciation. All Holocene samples, from across the species’ entire range, belonged to only one of the five mitochondrial lineages. Thus, extant
D. torquatus populations only harbour a small fraction of the total genetic diversity that existed across different stages
of the Late Pleistocene. In North American samples, haplotypes belonging to both D. groenlandicus and D. richardsoni
were recovered from a Late Pleistocene site in south-western Canada. This suggests that D. groenlandicus had a more
southern and D. richardsoni a more northern glacial distribution than previously thought. This study provides significant
insights into the population dynamics of a small mammal at a large geographical scale and reveals a rather complex
demographical history, which could have had bottom-up effects in the Late Pleistocene steppe-tundra ecosystem.
localities that yielded Late Pleistocene and Holocene mammalian fossils. The database is used to analyze
the changes in the geographical distribution during the second half of the Late Pleistocene and the
Holocene of two significant species e the mammoth Mammuthus primigenius and the woolly rhinoceros
Coelodonta antiquitatis. Based on the geographical information, combined with (new) radiocarbon data,
a correlation has been established between the observed shifts in the ranges of the two species and the
climatic changes that occurred during the past 50 000 years. The results indicate that both species
changed their distribution repeatedly; the expansion of the ranges increased during stadial intervals and
decreased during most interstadials. Both species reached their maximum expansion during the Denekamp
(¼Bryansk) Interstadial, a relatively long interval that includes a number of cold phases. Later, the
ranges in Europe of both mammoth and rhinoceros were reduced, a process that started before the end of
the LGM. Progressive warming from the end of the Pleistocene onwards resulted in dramatic changes in
the environment that appeared to be critical for the distribution of those animals. Mammoth and woolly
rhinoceros ranges disintegrated into isolated spots, and later they disappeared completely from Eurasia.
Relict populations of small mammoths persisted longer on isolated islands such as Wrangel Island.
However, not only climate change had an impact on the distribution of the two species. Late Paleolithic
and Mesolithic hunters might also have affected the size of the mammoth and woolly rhinoceros populations.
Their impact was probably particularly high when the species were close to extinction.
23 local faunas of small mammals and 47 local faunas of large mammals were analysed. Multidimensional
statistical analysis shows a strong correlation between changes in small mammal fauna composition and climate
changes throughout time. The correlations with the spatial gradients, however, are less pronounced. The faunas
are classified into three groups: (1) faunas of Holocene age; (2) Late Pleistocene ‘stadial’ assemblages; and (3) Late
Pleistocene ‘interstadial’ assemblages. In some cases, changes in species abundance are better understood in terms
of biotic interrelations rather than of climatic effects. The most pronounced change in small mammal fauna
composition and structure occurred at the Preboreal/Boreal boundary, and a less conspicuous alteration took
place at the LGM/Lateglacial transition. The most noticeable transformation in the large mammal fauna composition
is dated to the early Holocene. Less significant changes are observed at the Middle Weichselian/LGM
transition and at the LGM/Lateglacial transition. It is safely concluded that variations in the faunas of small and
large mammals recorded in NE Europe during the last 35 000 years occurred synchronously and unidirectionally.