Papers by Esther Oluffa Pedersen
Mennesket - En Introduktion Til Filosofisk Antropologi
An anthology discussing different philosophical anthropologies of the 20. th Century includes art... more An anthology discussing different philosophical anthropologies of the 20. th Century includes articles on Ernst Cassirer, Helmuth Plessner, Martin Heidegger, Ludwig Wittgenstein, Arnold Gehlen, Jean-Paul Sartre, and Peter Sloterdijk as well as discussions of the human being as a creature defined by its psyche, its body, its health/illness, its economic conditions. Language is Danish and the book is the first of its kind in Danish language.
At arbejde i det små med det store for øje", EN introduktion til Kants Kritik af dømmekraften
Man kan ikke binde ånd Ånd og åndsfrihed i tiden før, under og efter anden verdenskrig
Aarhus University Press eBooks, Nov 24, 2022
Introduction. Trust and Hope
Berghahn Books, Dec 31, 2022
Har folketingets flertal og forskningsministeren egentlig forstået, hvad forskning går ud på?
Hvad er videnskabens genstand
Samfundslitteratur, 2020
Hope and Faith – Kierkegaard’s Call for the Self’s Relationship to Itself
Anthropology & Philosophy:Dialogues on Trust and Hope
Det symbolskabende dyr:Ernst Cassirers antropologiske filosofi
The Observer’s Perspective in Kant’s Aesthetic Judgment
Aarhus Kant Week 2019: Reflection and Reflective Judgement in Kant, May 15, 2019
Tillid, socialitet og moral
Svar på kritik:Jeg har intet sted hævdet, at Løgstrup skulle være nazist
Cassirers mytefilosofi.:En utvidelse af den kritiske filosofiens sfære
Svar Til Ivy York Moller Christensen
Svenska Historiska Foereningen, 2020
Dirk Lüddecke, Felicia Englmann (Hrsg.): Das Staatsverständnis Ernst Cassirers, Nomos Verlag, 2015

SATS, 2012
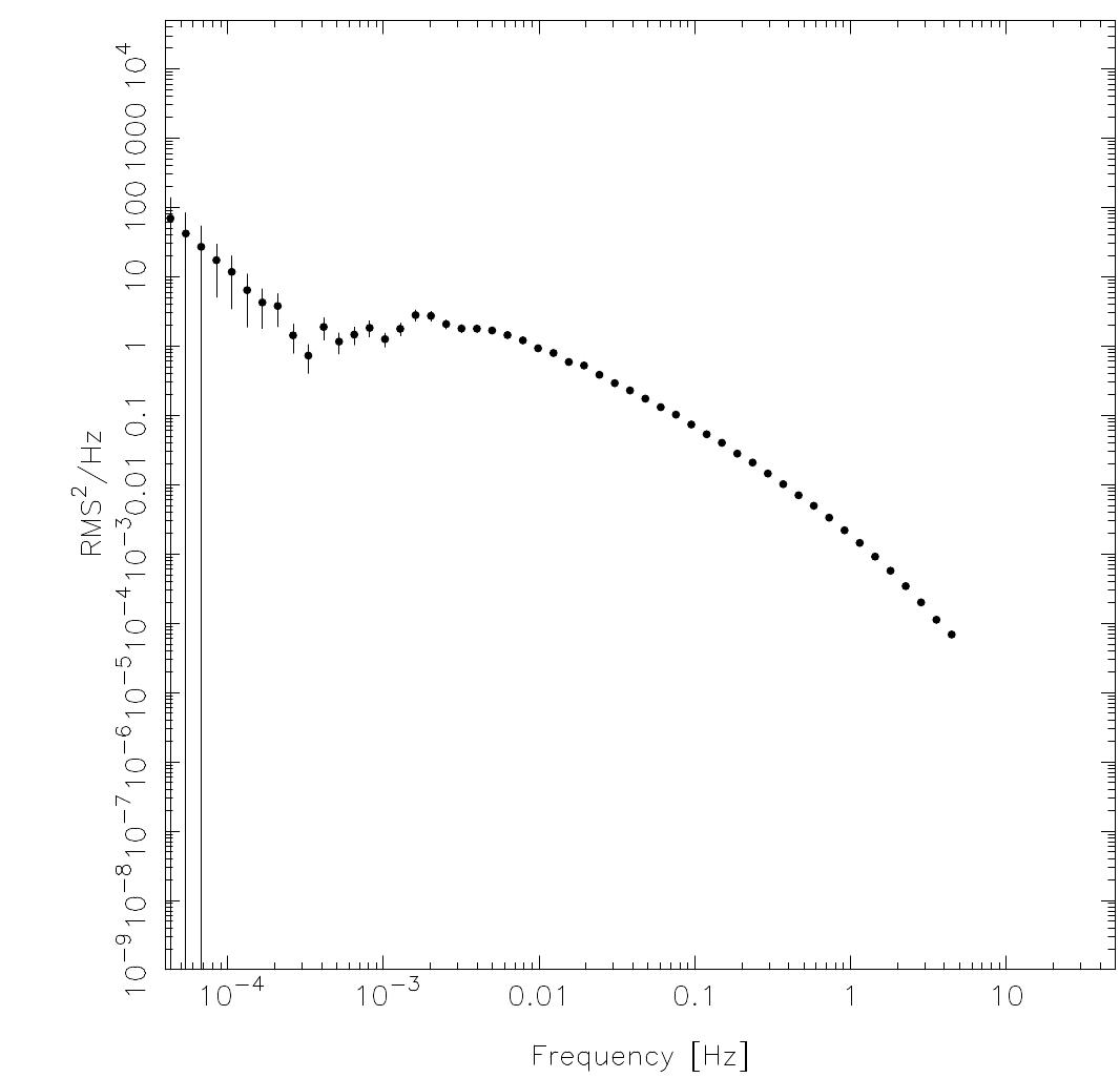
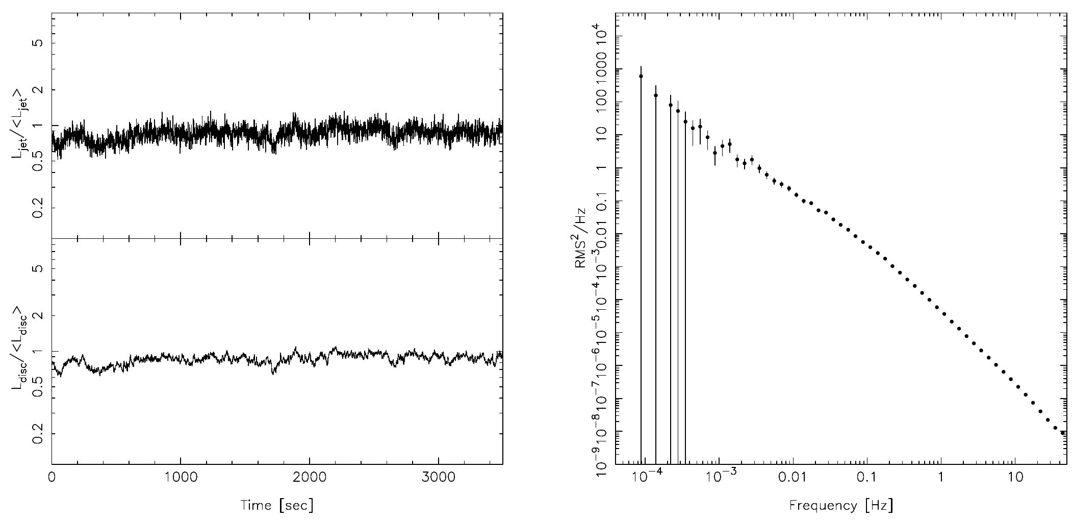
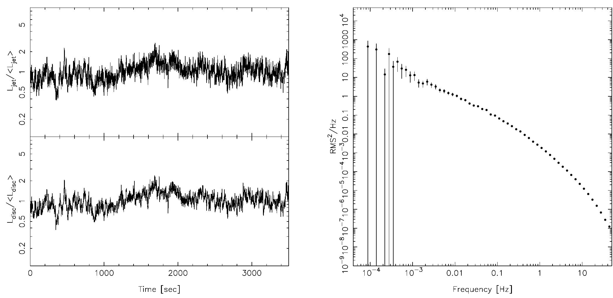
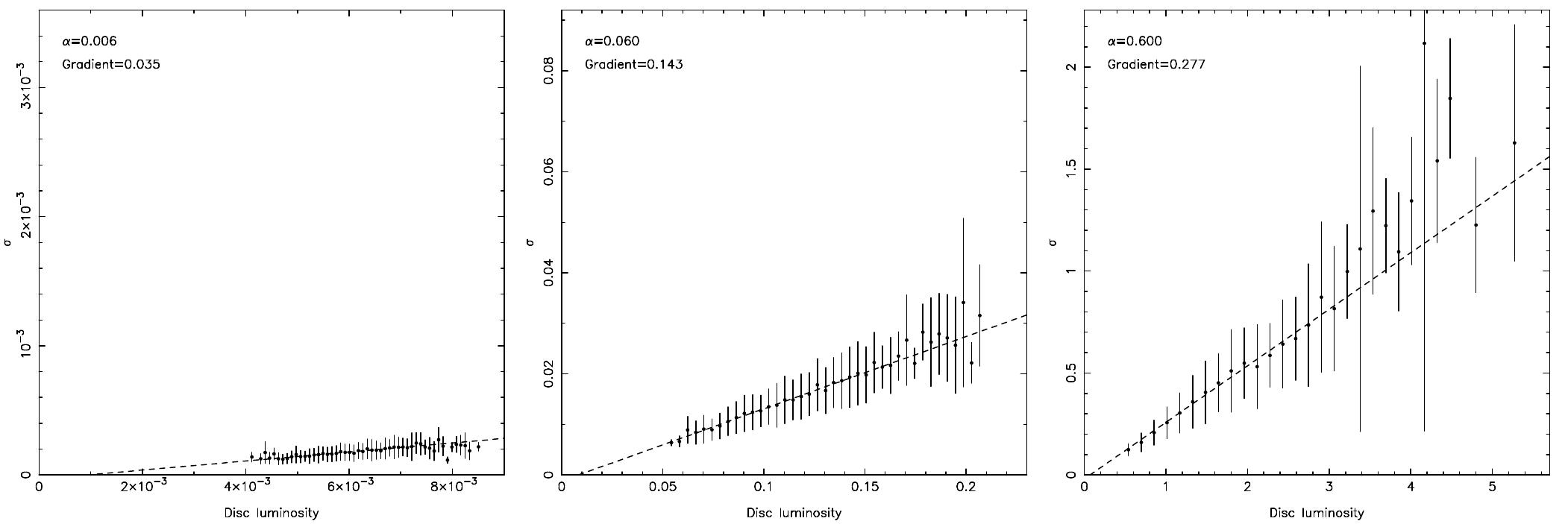
Observations of accreting systems often show significant variability (10-20 percent of accretion ... more Observations of accreting systems often show significant variability (10-20 percent of accretion luminosity) on timescales much longer than expected for the disc regions releasing most of the luminosity. We propose an explicit physical model for disc variability, consistent with Lyubarskii's (1997) general scheme for solving this problem. We suggest that local dynamo processes can affect the evolution of an accretion disc by driving angular momentum loss in the form of an outflow (a wind or jet). We model the dynamo as a small-scale stochastic phenomenon, operating on roughly the local dynamical timescale. We argue that large-scale outflow can only occur when the small-scale random processes in neighbouring disc annuli give rise by chance to a coherent large-scale magnetic field. This occurs on much longer timescales, and causes a bright large-amplitude flare as a wide range of disc radii evolve in a coherent fashion. Most of the time, dynamo action instead produces small-amplitude flickering. We reproduce power spectra similar to those observed, including a 1/f power spectrum below a break frequency given by the magnetic alignment timescale at the inner disc edge. However the relation between the black hole mass and the value of the break frequency is less straightforward than often assumed in the literature. The effect of an outer disc edge is to flatten the spectrum below the magnetic alignment frequency there. We also find a correlation between the variability amplitude and luminosity, similar to that found in some AGN.
Forsigtighedsprincippet skal altid kunne diskuteres
Videnskab.dk, May 9, 2021
Uploads
Papers by Esther Oluffa Pedersen