Ancient cities - Geoarchaeology by Ferreol Salomon

The global spread of urbanisation is having a profound impact on environments, climates and socia... more The global spread of urbanisation is having a profound impact on environments, climates and social lives. This gives rise to questions about the sustainability of urban areas, the management of soils and sediments and the socio- environmental construction of spaces. Archaeological investigations show that societies produced a wide variety of different urban forms throughout millennia and across continents. By focusing on human-environment interactions through the study of soils and sediments, geoarchaeological research provides new insights into the different ways of making and living in a city in the long term.
With twenty four contributions written by researchers from all over the world, Urban Geoarchaeology expands our knowledge of human-environment interactions and ancient urban lifestyles. This volume brings together substantial and comprehensive elements to understand past urban systems, using new interdisciplinary approaches, case studies of broad interest, and innovative techniques to answer historical questions. It shows how geoarchaeologists are producing and discussing new data on the transformation of landscapes through urbanisation. Processes of urban stratification over time are also better understood. The construction of urban spaces can be analysed from the large scale of the urban systems to the microscale of the soil formation, revealing ancient activities and lifestyles. Finally, Urban Geoarchaeology helps to connect the past, the present and the future of our cities.

Geomorphology, 2024
Today, anthropic morphologies in river deltas are widespread. The natural morpho-dynamics interac... more Today, anthropic morphologies in river deltas are widespread. The natural morpho-dynamics interact with engineered structures or urbanisation and shape hybrid features not grasped in traditional natural classifications of deltas. However, it is challenging to reconstruct the trajectory of the shifting balance between the natural and the anthropogenic factors over time. This study demonstrates how to systematically integrate human impacts to reconstruct the evolution of deltas at a plurisecular timescale. The approach advocated here is to consider separately the local and global drivers affecting deltaic evolution in using multiscale interdisciplinary chronologies. The high-resolution reconstruction of the evolution of the Francolí Delta in interaction with the city of Tarragona for the last two centuries reveals that the river mouth morpho-dynamics are successively deflected, interacting with an outer harbour and finally fully integrated in modern harbour basins with more significant dredgings at the river mouth. In this last case, the river mouth of the Francolí is no more a delta but a human dominated estuary. Over the past three centuries, the changes affecting the delta of the Francolí are linked to economic globalisation and associated with an increase in ship size.

Geomorphology, 2024
The reconstruction of the human impacts on the morphodynamics of river deltas in the long term is... more The reconstruction of the human impacts on the morphodynamics of river deltas in the long term is challenging. The ternary diagram of Galloway (1975) used to classify morphodynamics of deltas does not include direct human influence which is now affecting most of the deltas of the world. The study of human-dominated deltas requires specific approaches and consideration of human processes and morphologies in interaction with more commonly studied natural processes and morphologies. This study demonstrates how to combine different datasets from natural and social sciences to reconstruct long term temporal trajectories of hybrid urban deltas. The Francolí delta, associated with the UNESCO city of Tarragona, offers a perfect case study to identify the different steps of a wave-dominated delta leading to a human-dominated delta over a long-term perspective. Tarragona emerged in the 1st millennium BCE and became a significant port city in the Roman period. This study identifies the evidence of a semi-protected harbour built 2000 years ago that initiates the evolution of a hybrid urban delta towards a human-dominated delta. Until the end 19th c. CE, cyclical changes at the river mouth are observed due to natural fluvial and coastal dynamics while progradation stages are partly affected by anthropogenic structures over time. The 19th c. CE is a major turning point. Morphodynamics controlled by anthropogenic factors strongly increase while fluvial and coastal sedimentation is partly erased by dredgings. The systematic approach proposed for the Francolí delta can be standardised and applied to other hybrid urban deltas allowing better comparison between urbanised deltas.

Water History, 2023
The modern Tiber delta includes two river mouths flowing into the Tyrrhenian sea, the Fiumara to ... more The modern Tiber delta includes two river mouths flowing into the Tyrrhenian sea, the Fiumara to the South and the Fiumicino to the North. While the Fiumara is a natural channel, the Fiumicino is a canal that was excavated during the Roman period. Two major Roman archaeological sites are associated with these two watercourses: Ostia, founded between the 4th and the 3rd c. BCE, built at the mouth of the Fiumara; and Portus, founded in the 1st c. CE, built with a series of canals including the Fiumicino (Fossa Traiana), three kilometres north of Ostia. In this paper we shall explore strategies used by the Romans on these two sites to manage river mouth environments, which were characterised by high fluvial sedimentation inputs and rapid fluvio-coastal mobility. We will observe possible urban adjustments to natural constraints at Ostia, and demonstrate how Portus was, building on the experience from Ostia, from its inception designed to reduce fluvial sedimentation in the harbour basins and to lower lateral mobility of the canals. Finally, we will propose the existence of an integrated management system for the watercourses at Portus and Ostia in the Imperial period.

Earth-Science Reviews, 2018
Ostia is one of the most extensively excavated cities of the Roman period. The port-city of Rome,... more Ostia is one of the most extensively excavated cities of the Roman period. The port-city of Rome, which today lies 4km from the coastline, was established in a very constrained environment at the mouth of the River Tiber. Based on a review of the geoarchaeological and archaeological research at Ostia, 4 new cores analysed through palaeoenvionmental methods, and 21 new radiocarbon dates, we propose a new model of the fluvio-coastal landscape of Ostia from its origin: (1) the coastline shifted rapidly westward between the 8th and the 6th c. BCE followed by a slow progradation and possible erosion phases until the end of the 1st c. CE; (2) the castrum of Ostia (c. late 4th–early 3rd c. BCE) was founded away from the river mouth but close to the River Tiber; (3) between the 4th and the 1st c. BCE, the River Tiber shifted from a position next to the castrum, below the northern Imperial cardo of Ostia, to 150m to the north; (4) a possible harbour was established to the north of the castrum during the Republican period; (5) the city expanded and a district was built over the harbour and the palaeochannel between the Republican period and the beginning of the 2nd c. CE, showing that Ostia was a dynamic and resilient city during that time. Finally, we suggest the possibility to combine urban fabric analysis (the orientation of the structures) and palaeoenvironmental analysis for reconstructing the evolution of the city in relation to the fluvio-coastal mobility.

Geoarchaeology, 2017
This study examines the long-term interactions between the well-known Roman city of Ostia and a r... more This study examines the long-term interactions between the well-known Roman city of Ostia and a river meander. Located at the mouth of the Tiber river, Ostia was a major harbor city that connected Rome to the Mediterranean Sea. Based on aerial photography and borehole analysis, the paleodynamics of the Fiume Morto's paleomeander are understood to be linked to the urban evolution of the city of Ostia. Four periods of evolution have been identified as a result of this interdisciplinary work: (1) the foundation of Ostia's urban center, in the 4th to 3rd century BC, occurred when the meander already existed; (2) between the 4th century BC and the 3rd century AD, human/environmental interactions contributed to the compound growth of the meander that possibly eroded an important Roman road linking Ostia to Rome; (3) from the Imperial period until the meander was cut off in AD 1557–1562, the constricted meander channel at the apex led to the stability of the downstream river channel; (4) the cutoff of the paleomeander was completed in 1562, leading to the filling of the paleochannel. These successive phases of channel evolution mark changing fluvial risks from the Roman period to today.

ARCHIMÈDE - ARCHÉOLOGIE ET HISTOIRE ANCIENNE, 2020
The origins of Ostia have been the subject of numerous archaeological and historical studies. Acc... more The origins of Ostia have been the subject of numerous archaeological and historical studies. According to ancient authors, the foundation of Ostia is attributed to Ancus Martius who would have reigned between 646 and 616 BCE. However, archaeological data available at Ostia do not support the existence of the city before the 4th-3rd century BCE. This article examines this chronological disagreement through a geoarchaeological perspective. Based on geomorphological and chronostratigraphic data available for the Tiber Delta, we observe that the timing of the foundation of Paleo-Ostia by Ancus Martius corresponds to the end of a period of strong progradation (9th – 6th BCE) and to the beginning of a long period of erosion of the river mouth promontory. During this same period, the lowermost channel of the Tiber migrated towards the south until the 4th – 3rd century BCE. Thus, it seems inevitable that any settlement founded right at the mouth of the Tiber at the end of the 7th century BCE would have been eroded by the combined action of the river and the waves in the middle of the 1st millennium BCE
Chronique des activités archéologiques de l'École française de Rome
Ce document a été généré automatiquement le 30 septembre 2016.

Scientific Drilling, 2020
Today, coastal cities worldwide are facing major changes resulting from climate change and anthro... more Today, coastal cities worldwide are facing major changes resulting from climate change and anthro-pogenic forcing, which requires adaptation and mitigation strategies to be established. In this context, sedimen-tological archives in many Mediterranean cities record a multi-millennial history of environmental dynamics and human adaptation, revealing a long-lasting resilience. Founded by the Phoenicians around 3000 years ago, Cádiz (south-western Spain) is a key example of a coastal resilient city. This urban centre is considered to be one of the Published by Copernicus Publications on behalf of the IODP and the ICDP. 36 F. Salomon et al.: High-resolution sedimentary cores from Cádiz first cities of western Europe and has experienced major natural hazards during its long history, such as coastal erosion, storms, and also tsunamis (like the one in 1755 CE following the destructive Lisbon earthquake). In the framework of an international, joint archaeological and geoarchaeological project, three cores have been drilled in a marine palaeochannel that ran through the ancient city of Cádiz. These cores reveal a ≥ 50 m thick Holocene sedimentary sequence. Importantly, most of the deposits date from the 1st millennium BCE to the 1st millennium CE. This exceptional sedimentary archive will allow our scientific team to achieve its research goals, which are (1) to reconstruct the palaeogeographical evolution of this specific coastal area; (2) to trace the intensity of activities of the city of Cádiz based on archaeological data, as well as geochemical and palaeoecological indicators; and (3) to identify and date high-energy event deposits such as storms and tsunamis.

Onoba: Revista de Arqueología y Antigüedad, 2020
Con motivo de la rehabilitación y reacondicionamiento del antiguo Hospicio Provincial, actual edi... more Con motivo de la rehabilitación y reacondicionamiento del antiguo Hospicio Provincial, actual edificio Valcárcel, se llevaron a cabo entre agosto y octubre de 2018 las actividades arqueológicas preceptivas para la diagnosis del subsuelo de la edificación. En este trabajo se presentan los resultados obtenidos de dicha actividad arqueológica, así como las nuevas técnicas empleadas para la obtención de datos históricos. Se da a conocer de este modo una secuencia estratigráfica completa de época moderna estudiada desde la Arqueología, que ha permitido determinar dos fases: la más antigua asociada a la construcción; y una más reciente, de finales del siglo XVIII. Interesantísimos han sido los resulta-dos obtenidos de los sondeos geoarqueológicos, que han permitido documentar un fondeadero de época fenicia y romana a más de 25 m de profundidad, pudiéndose reconsiderar las interpretaciones en relación a la colmatación del canal Bahía-Caleta.
Roman canals - Geoarchaeology by Ferreol Salomon

Tarraco Biennal. 5è Congrés Internacional d’Arqueologia i Món Antic. Ports romans. Arqueologia dels Sistemes Portuaris. Tarragona, 24 to 27/11/2021, 2022
Navigable canals contribute to the improvement of connectivity between marine, coastal and inland... more Navigable canals contribute to the improvement of connectivity between marine, coastal and inland waterways networks. This paper questions the location of active canals during the Roman period in relation to their archaeological and geographical contexts in which they were excavated. During the Roman period, literary and archaeological evidence reveal that most of the canals were dug in lowlands, coastal plains, and especially in river deltas. Locally, canals connected fluvial and/or coastal port-cities to inland waterways and maritime routes (e.g. Ostia-Portus, Ravenna, Aquileia, Alexandria). Additionally, some canals could have had a regional relevance in interconnecting fluvio-coastal port systems or possibly organising wider port systems. We identified three types of coastal settings that hosted regional projects of canals or actual constructed canals: (1) river deltas with the Nile delta as the archetype; (2) overlapping or contiguous deltaic plains similar to the Northern Adriatic coastal plain; and (3) separated coastal or deltaic plains, categories in which most of the Mediterranean port systems fit, especially the coastal port system of Rome. This paper explores the potential of these fluvio-coastal landscapes in which canals may have contributed in establishing interconnected port systems.
Géoarchéologie des canaux de Portus - Estimation des gabarits
G. Caneva, C.M. Travaglini, C. Virlouvet : Roma, Tevere, Litorale. Ricerche tra passato e presente, 2017
The Isola Sacra Survey, 2020
This chapter provides additional evidence for the Portus to Ostia Canal. It first presents a deta... more This chapter provides additional evidence for the Portus to Ostia Canal. It first presents a detailed analysis of the sediments in the geoarchaeological boreholes drilled at three different points along the line of the canal and its immediate vicinity. These confirm its identification as a navigable watercourse, even though there remains some uncertainty as to whether the Isola Sacra 1 and 2 shipwrecks were deposited in the canal or in an associated palaeo-lagoon close to the ancient coastline. The study suggests that the canal was probably dug in the Trajanic period, had various phases of use, and that it was abandoned in the early third century AD. The second part of the chapter comprises a study of these two shipwrecks.

Les ports de l'espace méditerranéen antique, Dec 2016
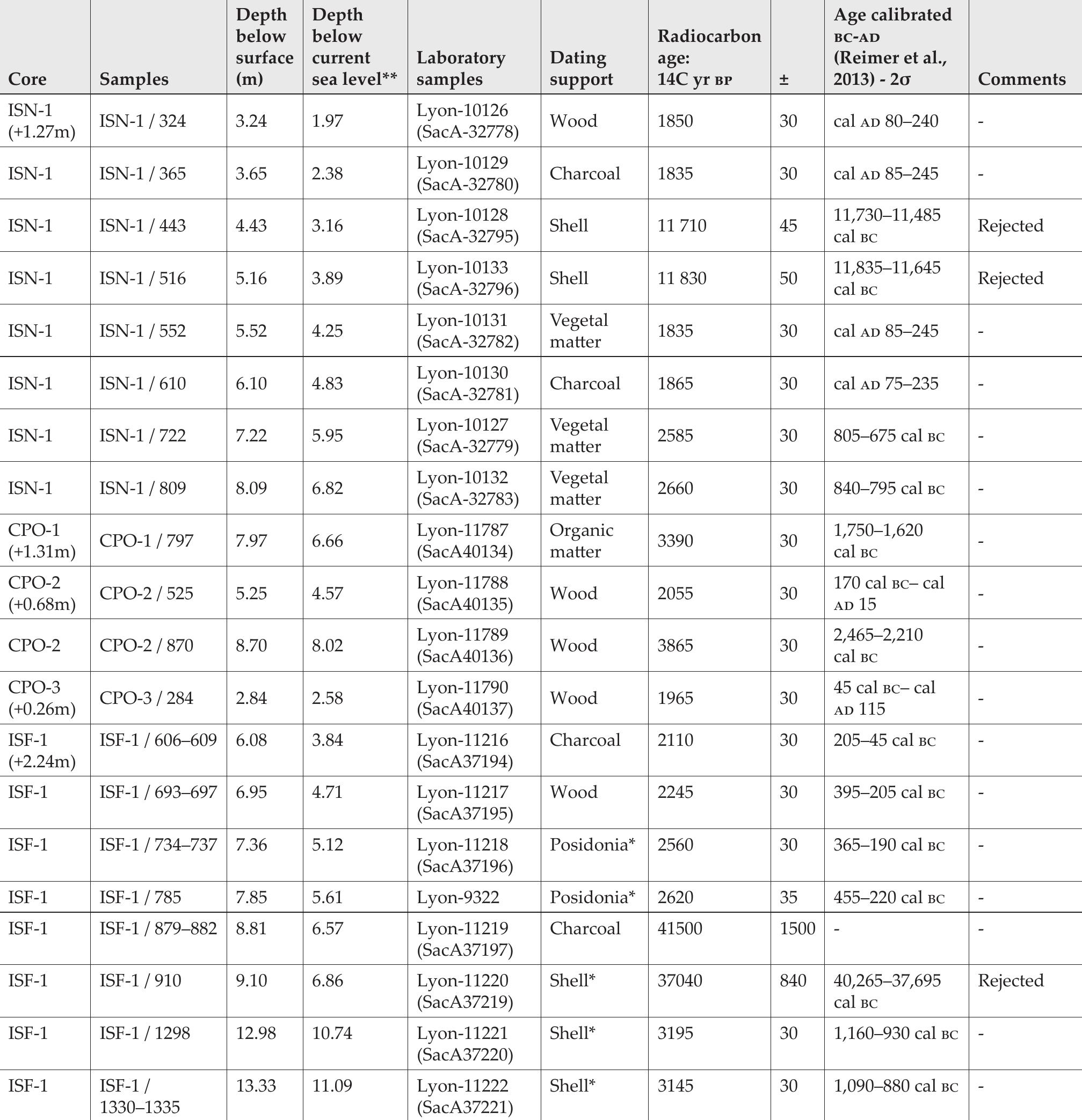
The Roman canal, which was found using magnetometer survey in Isola Sacra (Tiber delta, Italy) in... more The Roman canal, which was found using magnetometer survey in Isola Sacra (Tiber delta, Italy) in 2009 is fundamental to our
understanding of the relationship between Portus and Ostia, which constitute the core of what has been defined as the « port system »
of Imperial Rome. This article presents the preliminary results of a stratigraphical study of the canal in an attempt to reconstruct its
morphology, phases of activity and eventual disuse. In order to achieve this, three cores were drilled at the widest point of the canal in
order to analyse the deposits, while an Electrical Resistance Tomography (ERT) profile was undertaken to correlate the core sequences.
The study of the results of this fieldwork suggests four periods of use. A first phase comprises a straight canal running between the Fossa
Traiana (Fiumicino) and the natural mouth of the Tiber near Ostia (Fiumara Grande). A second phase is marked by a lateral mobility of
the northern part of the canal, this means that the canal took a new route (CPO-2 core) while the earlier course had been sedimented (core
CPO-3). This new stretch of the canal was probably disconnected upstream from the Fiumicino and filled-in with fine sediment (core
CPO-2). Finally, a fourth phase of use appears with a later recut of the second phase of the canal, most likely for agricultural purposes.
With a depth of between 3 and 4 meters below the Roman sea level respectively, the first two canals would have been navigable by many
kinds of ancient boats but not larger vessels. These phases of canal activity are in the process of being given absolute dates.

This paper presents a detailed description of the sediments trapped by the Canale Romano in the I... more This paper presents a detailed description of the sediments trapped by the Canale Romano in the Imperial harbour complex of Portus (Rome). The study confirms the hypothesis of a Roman canal (active during the early 2nd century AD and the 3rd/5th century AD) with a maximum water-depth between 4.36 and 7.37 m. The function of this canal as a harbour seems to particularly fit with the data available. This study follows a multidisciplinary approach. It combines all previous data available on the Canale Romano (geophysical surveys, archaeological and historical data) and provides a new palaeoenvironmental dataset in order to draw a more complete overview about its history. Three cores drilled in the Canale Romano are analyzed using sedimentological data, CM diagram and bioindicators, 14C and archaeological data. Four main sedimentation phases were identified: (1) Pre-canal deposits; (2) relatively quiet fluvial environment deposits; (3) flood sediments inputs; and (4) fine sediment infill after the cut-off of the canal. In the discussion, the paper attempts to put this stratigraphic sequence into context of the reorganization of the harbour of Imperial Rome during the reign of Trajan (early 2nd century AD) and its subsequent evolution.

Water History, 2014
This paper presents a detailed description of the sediments trapped by the Canale Romano in the I... more This paper presents a detailed description of the sediments trapped by the Canale Romano in the Imperial harbour complex of Portus (Rome). The study confirms the hypothesis of a Roman canal (active during the early 2nd century ad and the 3rd/5th century ad) with a maximum water-depth between 4.36 and 7.37 m. The function of this canal as a harbour seems to particularly fit with the data available. This study follows a multidisciplinary approach. It combines all previous data available on the Canale Romano (geophysical surveys, archaeological and historical data) and provides a new palaeoenvironmental dataset in order to draw a more complete overview about its history. Three cores drilled in the Canale Romano are analyzed using sedimentological data, CM diagram and bioindicators, 14C and archaeological data. Four main sedimentation phases were identified: (1) Pre-canal deposits; (2) relatively quiet fluvial environment deposits; (3) flood sediments inputs; and (4) fine sediment infill after the cut-off of the canal. In the discussion, the paper attempts to put this stratigraphic sequence into context of the reorganization of the harbour of Imperial Rome during the reign of Trajan (early 2nd century ad) and its subsequent evolution.
Uploads
Ancient cities - Geoarchaeology by Ferreol Salomon
With twenty four contributions written by researchers from all over the world, Urban Geoarchaeology expands our knowledge of human-environment interactions and ancient urban lifestyles. This volume brings together substantial and comprehensive elements to understand past urban systems, using new interdisciplinary approaches, case studies of broad interest, and innovative techniques to answer historical questions. It shows how geoarchaeologists are producing and discussing new data on the transformation of landscapes through urbanisation. Processes of urban stratification over time are also better understood. The construction of urban spaces can be analysed from the large scale of the urban systems to the microscale of the soil formation, revealing ancient activities and lifestyles. Finally, Urban Geoarchaeology helps to connect the past, the present and the future of our cities.
Roman canals - Geoarchaeology by Ferreol Salomon
understanding of the relationship between Portus and Ostia, which constitute the core of what has been defined as the « port system »
of Imperial Rome. This article presents the preliminary results of a stratigraphical study of the canal in an attempt to reconstruct its
morphology, phases of activity and eventual disuse. In order to achieve this, three cores were drilled at the widest point of the canal in
order to analyse the deposits, while an Electrical Resistance Tomography (ERT) profile was undertaken to correlate the core sequences.
The study of the results of this fieldwork suggests four periods of use. A first phase comprises a straight canal running between the Fossa
Traiana (Fiumicino) and the natural mouth of the Tiber near Ostia (Fiumara Grande). A second phase is marked by a lateral mobility of
the northern part of the canal, this means that the canal took a new route (CPO-2 core) while the earlier course had been sedimented (core
CPO-3). This new stretch of the canal was probably disconnected upstream from the Fiumicino and filled-in with fine sediment (core
CPO-2). Finally, a fourth phase of use appears with a later recut of the second phase of the canal, most likely for agricultural purposes.
With a depth of between 3 and 4 meters below the Roman sea level respectively, the first two canals would have been navigable by many
kinds of ancient boats but not larger vessels. These phases of canal activity are in the process of being given absolute dates.