Papers by Jonathan P Evans
Eulogy Hilary Evans, 2019
This is the eulogy I shared at my father's memorial service in 2019

arXiv (Cornell University), Aug 4, 2013
Mandarin Chinese is characterized by being a tonal language; the pitch (or F 0) of its utterances... more Mandarin Chinese is characterized by being a tonal language; the pitch (or F 0) of its utterances carries considerable linguistic information. However, speech samples from different individuals are subject to changes in amplitude and phase which must be accounted for in any analysis which attempts to provide a linguistically meaningful description of the language. A joint model for amplitude, phase and duration is presented which combines elements from Functional Data Analysis, Compositional Data Analysis and Linear Mixed Effects Models. By decomposing functions via a functional principal component analysis, and connecting registration functions to compositional data analysis, a joint multivariate mixed effect model can be formulated which gives insights into the relationship between the different modes of variation as well as their dependence on linguistic and non-linguistic covariates. The model is applied to the COSPRO-1 data set, a comprehensive database of spoken Taiwanese Mandarin, containing approximately 50 thousand phonetically diverse sample F 0 contours (syllables), and reveals that phonetic information is jointly carried by both amplitude and phase variation.

Buwa, which are near urban centers, no longer have Qiang speakers. In the speech of the younger g... more Buwa, which are near urban centers, no longer have Qiang speakers. In the speech of the younger generation of Qiang speakers, whole semantic fields are being replaced by Mandarin; during my time in the village of Mianchi, I noticed that when my consultant's children were speaking to each other in Qiang, they used Mandarin numerals. Yu Xiaoping, a college-educated Qiang who works for the Mao county government, has estimated that in fifty years, no one will speak Qiang, due to the great linguistic pressure of Mandarin (p.c.). H. Sun (1983b) was the first in recent times to propose a separate Qiangic branch of TB; a grouping which corresponds rather closely to those that in the last century were termed "Hsi-fan" or "Sifan" (pinyin = Xi Fan) languages (Hodgson 1853, Lacouperie 1887:135), or, more recently, "Dzorgaish" (Benedict 19414). H. Sun dates the breakup of the Qiangic languages to the end of the Han dynasty (221 AD). Until H. Sun's 1983/1990 paper, Qiang (and Qiangic languages generally) were variously considered Loloish or Bodish, based on some surface similarities. Using shared features within phonology, morphology, and syntax, Sun shows that the ten languages Qiang, rGyalrong, Primi (Pumi), Ersu, Namuyi, Shixing, Minyak (M iyao, Muya), Guiqiong, Ergong, and Zh&ba5 4 Benedict's "Dzorgaish" seems to include Qiangic. sans iGyalrong(ic). Shafer (1955) uses "Dzorgaish" to refer to the Qiang language, and classifies it under Bodish. The other Qiangic languages are categorized as Loloish, with the exception o f rGyalrong, which is accorded its own branch. 5 J. Sun, the translator of this article has added the following footnote to H. Sun's description of this language: According to Huang 1987:19, Zhaba (a language recorded by Lu [Shaozun]) is mutually intelligible with Queyu, another Qiangic corridor language not mentioned in this article, which is spoken in Xinlong, Yajiang, Litang Counties of the Ganzi Autonomous Prefecture. Huang, on the other hand, mentions another distinct corridor language: Zhaba, spoken in the Zhaba District o f Daofu and Zhamai district of Yajiang, which is different from both Queyu and Liu's Zhaba. Data from all of these languages are to be found in ZYC. Reproduced with permission of the copyright owner. Further reproduction prohibited without permission. 14 The vowel is compared to that o f "English sir, cut short." This is probably similar to the Taoping vowel. 15 "Like English true, cut very short." Reproduced with permission of the copyright owner. Further reproduction prohibited without permission. be over-transcribed and under-phonemicized. J. Sun showed that a simpler phonological inventory can account for the phones observed in Q Y JZ , and that certain sounds (e.g., /e/) are phonemic in borrowings, but not in native vocabulary. Randy LaPolla and Huang Chenglong LaPolla 1996 (written with the assistance o f Huang Chenglong) is the second booklength treatment of Qiang, following Q YJZ. They present an in-depth analysis of the phonology, morphology, and syntax of the Yadu dialect of Northern Qiang, followed by the first published Qiang texts with morpheme-by-morpheme translation (six stories). The book has an extensive glossary with phonemicized data from Ronghong Yadu (C. Huang's native dialect), and supplementary phonetic data from Qugu Yadu. Jonathan Evans The present author conducted fieldwork in Wenchuan Sichuan in 1997 on two varieties of Southern Qiang, Mianchi and Longxi. The data collected form the basis for Evans 1998a-c, and consist of phonological, morphological, and lexical information on dialects which were previously unpublished, with the exception of scattered forms in Wen's. H. Sun, and Liu's works. 1.5.2 Diachronic and comparative works Historical and comparative works on Qiang begin, of course, at a more recent time than the earliest descriptive works. Lacouperie (1887, pl34-5) appears to be the first to categorize Qiang into a larger family. He called this language family "Sifan," from the Chinese term for "Western barbarians." He grouped Sifan (pinyin: xi fan) within the "Tibeto-Burmese family" under Kuenlunic (Sino-Tibetan). Within this group he included the following languages (I have entered in the right column the currently accepted names or Reproduced with permission of the copyright owner. Further reproduction prohibited without permission. subgroups of these languages, when decipherable): 17 Sifan group Pre-Chinese Kiang Qiang Meniak Muya (Minyak) Sung-pan Sifan Northern Qiang (?) Outside Mantze Northern Qiang (?) Li fan Mantze Southern Qiang Thotchu Northern Qiang Horpa rGyalrongic Takpa (may be Monpa) Lacouperie's grouping displays two insights that were quite forward-thinking. First, he grouped rGyalongic languages with Qiang, an analysis shared by Shafer (1974) and H. Sun, but not Benedict (1941). Second, he separated the Qiangic ("Sifan(ic)") languages into a distinct subgroup, independent from other TB groups. In this way he prefigured Benedict and Sun, although Shafer considered Qiang and rGyalrong to be Bodish ("Bhotish"), within the same subfamily as Tibetan. The differences are summarized in the following chart, which shows how each linguist categorized the languages now known as Qiang and rGyalrong: Qiailg rGvalrong Lacouperie Sifan Sifan Shafer Bodish Bodish Benedict Dzorgai17 Bodish or separate branch18 Sun Qiangic Qiangic Sun and Lacouperie's hypothesis of a separate Qiangic/Hsi-Fan branch is the one followed in this dissertation. Wen (1941) was the first to subcategorize Qiang into dialects, as mentioned in 1.4. Unfortunately, he did not use any data from Mao county, the area with the largest Qiang-17 Perhaps within Bodish-Himalayish (STO.5). 18 rGyalrong ("Gyarung") is mentioned in the text (STO.7) as Bodish, but appears in the chart of subgrouping (STC:6) as a hypothetical separate branch "Gyarung (?)." Reproduced with permission of the copyright owner. Further reproduction prohibited without permission. 18 speaking population, so it is not clear whether he would have grouped the Northern dialects as closely as has H. Sun. Kun Chang used Wen's data, coupled with the data in H. Sun 1962, and his own materials on Zengtou to write a comparison of six SQ dialects, and to reconstruct PSQ phonology (Chang 1967). I have some disagreements with Chang's analysis (cf. Chapter III), nevertheless, it is a groundbreaking work in historicalcomparative Qiang studies. One of Chang's contributions is to further phonemicize Wen's data, although h e warns that "none of the published descriptions of the Ch'iang dialects presents sufficient data to demonstrate clearly its phonemic structure." (Chang 1967:426) For this reason. I have relied on Chang 1967 only for supplementary material in chapter m. Nearly all of Chang 1967 is devoted to comparison o f initials, which are more clearcut than are rhymes. Nevertheless, there are only a few 'good' sets (no irregularities) among the comparisons, further demonstrating the challenge that awaits the Qiang (and Qiangic) comparatist. Chiu-Chung Liao (1973) compares Qiang data from Wen (1950b) with PTB. PLB, Written Tibetan, and Written Burmese, and concludes that Qiang either belongs in its ow n branch, or is to be linked with Tibetan (Shafer's analysis). His argument is based on features that Qiang and Tibetan share (e.g., prefixes), phonetic correspondences, and glottochronology. H. Sun has pointed out that at least some of these similarities are due to areal influences (H. Sun 1983b). Chinfa Lien (1991) presents the fates of PTB *s-, *r-, *g-. *b-, *m-, and the effects of PTB prefixes and medials on Qiangic initials. Lien correctly identifies codas as secondary developments in Qiang. Some results of his research are included in section 3.3.1.8. LaPolla (1985) gives sound laws relating PTB to Mawo and Taoping Qiang. H e showed that ^prefixes and ^cluster initials are distinguished in Qiang reflexes, with Reproduced with permission of the copyright owner. Further reproduction prohibited without permission. 19 prefixes disappearing; e.g., Mawo ju, Taoping %uss, PTB *s/m-rai] 'horse'. However, in some cases (such as this one), the addition of more data makes the analysis of PTB ^prefixes less convincing: Longxi k o , Mianchi ^ou Tiorse' point to some type of complex initial as late as PSQ; however, the exact nature of this * initial is not clear (cf. discussion o f *r, 3.3.1.3). 1.6 The database Much like the database in J. Sun (19??), the database I have used in this dissertation consists of both a primary and an auxiliary set of lexical data. The primary database consists of lexical data from the key dialects, including three SQ dialects (Longxi, Mianchi, Taoping) and two NQ dialects (Mawo, Yadu). Longxi (LX) and Mianchi (MC) data come from my own fieldwork, and the principal sources for Taoping (TP) and Mawo (MW) data are Q YJZ and ZYC. Yadu data come from four villages, Ekou (TBL), Ronghong (LaPolla 1996), Qugu (ibid.), and Moyu (a STEDT body-part questionnaire filled out by Huang Chenglong). These three varieties of Yadu are not identical, although the differences are slight. In general, I have consulted Ekou Yadu first, and then referred to the other (unpublished) data second. The auxiliary database consists o f two parts. The first is the SQ data from Wen and Chang. These data are used in chapters III and IV to clear up ambiguities, and also to show distinctions that may have been lost in the primary dialects. The second part o f the auxiliary database consists of data from other Qiangic languages, taken mostly from TBL and ZYC. These data are used to provide a "peek" at the Proto-Qiangic level, which has at least two advantages. First, it provides additional substantiation for certain PSQ roots where there is no established PTB etymon, but there are cognates in other Qiangic languages (e.g,. PQic *pram 'white' sections 3.3.1.8 .1 , 3.3.2.3). Second, consulting Qiangic languages assists in Reproduced with...
The Toto orthography, developed beginning in 2014, was created to address the inadequacies of usi... more The Toto orthography, developed beginning in 2014, was created to address the inadequacies of using Bengali and Latin alphabets for writing Toto. These scripts failed to represent certain phonological features, such as front rounded vowels and breathy vowels, posing challenges for accurate writing. The newly designed orthography, reflecting community input, provides a clearer representation of Toto phonology. Establishing this writing system supports cultural identity, promotes literacy, and aids in educational efforts. Despite standardization, several challenges remain, such as transcribing elision, standardizing word breaks, long vowels, etc. Compared to previous transcriptional strategies, the orthography offers broader benefits for language documentation and revitalization.
Linguistics of the TIbeto-Burman Area, 2006
Hongyan, a variety of Northern Qiang (Tibeto-Burman, China) has four plain vowel monophthongs /i,... more Hongyan, a variety of Northern Qiang (Tibeto-Burman, China) has four plain vowel monophthongs /i, u, ə, a/. Vowels may be lengthened, rhotacized, or pharyngealized, resulting in fourteen short and ten long vowel phonemes. No other varieties of Qiang have been described with pharyngealization, although the other suprasegmental effects are common throughout Northern Qiang. This paper explores how the distinctions which in Hongyan are made by differences in pharyngealization are phonologized in other varieties of Northern and Southern Qiang. Comparisons are drawn with processes in other Qiangic languages and with Proto-Tibeto-Burman reconstructions, in order to explore possible routes of development of pharyngealization; the most plausible source of pharyngealization seen thus far is retraction of vowels following PTB *-w- .
Qiāng 羌 Language
Encyclopedia of Chinese Language and Linguistics, May 8, 2015
Proceedings of the 51st International Conference on Sino-Tibetan Languages and Linguistics, Sep 1, 2018
Dimasa (also Graodima, ISO 639-3 dis) is a Bodo-Garo language. It falls under the Tibeto-Burman l... more Dimasa (also Graodima, ISO 639-3 dis) is a Bodo-Garo language. It falls under the Tibeto-Burman language family and is spoken in the states of Assam and Nagaland in North East India. Dimasa has a population of around 112,000 (2001 census), mainly centred in the Dima Hasao district of Assam. Like most of the languages in the South East Asia, Dimasa also falls under the category of a numeral classifier language. The classifiers in Dimasa are basically bound morphemes. They are prefixed to a numeral which is also a bound morpheme. They bound together to form a single word. The classifier always precedes the numeral.

Proceedings of the 51st International Conference on Sino-Tibetan Languages and Linguistics, Sep 1, 2018
Bodo (also Boro, IS0 639-3: brx) is a Bodo-Garo (BG) language within Tibeto-Burman (TB) family. I... more Bodo (also Boro, IS0 639-3: brx) is a Bodo-Garo (BG) language within Tibeto-Burman (TB) family. It is spoken mainly in Assam and in the adjoining states of Arunachal Pradesh, Nagaland, Meghalaya, and West Bengal. Its speakers are also found in the Jhapa district of Nepal and they are known as Mech (also Meche, Kiryu 2008). The 2011 census of India estimates 1.5 million Bodo speakers. It has received more attention from scholars than any other TB language in the region. The first reported work on Bodo was by Hodgson (1847) which carried forwarded by Endle (1884), Skrefsurd (1889), Anderson (1895), Grierson (1903), Bhatt (1968), Bhattacharya (1977), Kiryu (2008) and most recently by DeLancey, et al (in preparation). In addition, there are a good number of grammatical works done by local scholars on Bodo. The language has been included in the 8 th schedule of the Constitution of India and thus it is recognized as one of the 22 official languages of India. It is one of the most vibrant communities in the region both culturally and linguistically.
Linguists often refer to tonal languages as belonging to ‘types’ ─ African, East Asian, etc. This... more Linguists often refer to tonal languages as belonging to ‘types’ ─ African, East Asian, etc. This paper documents the tonal system of the Mianchi dialect of Southern Qiang, a Tibeto-Burman language located squarely in the East Asian tone environment. Although tone has developed in Southern Qiang under heavy influence from Chinese, the tone system found in Mianchi fits an ‘African’ typology much better than it does a ‘Chinese’ or ‘East Asian’ type. The degrees of African-ness and Chinese-ness are evaluated, and African-style features are shown to be lurking throughout the Qiangic family. Similarities of word structure and word length between African and Qiangic languages are held responsible for the similarities.

Language and linguistics, 2001
In the Qiang language, the Southern dialects (SQ) exploit tones to make lexical distinctions, whi... more In the Qiang language, the Southern dialects (SQ) exploit tones to make lexical distinctions, while the Northern dialects (NQ) lack tonal phenomena. There are also a few transitional dialects in which tones distinguish a few minimal pairs; each pair includes at least one borrowing from Chinese. Attempts have been made (e.g., Liu 1998a) to correlate the tones of SQ with certain phonetic features of NQ dialects (e.g., consonant cluster initials and vowel quantity/quality/rhotacization). This paper presents evidence that SQ was a pitch accent language which has undergone contact-induced tonogenesis; viz., after undergoing phonological simplifications that made SQ dialects tone-prone, lexical borrowings from a tonal language (Sichuanese Mandarin) caused the beginnings of tonal distinctions. Some dialects (Longxi, Taoping) have developed full-blown tonal systems, while others (Mianchi, Heihu) have layers of tonal strata over pitch accent systems. There appear to be phonetic motivations for some accented syllables and for certain minor tones, which are of relatively recent origin.

Linguistics of the Tibeto-Burman Area, 2021
The present study is a phonological analysis of the segments and tones of the Tawrã language (ISO... more The present study is a phonological analysis of the segments and tones of the Tawrã language (ISO 69-3: mhu; Glottolog: Diga1241), a Sino-Tibetan language spoken in Arunachal Pradesh, India, and in Tibet, China. This paper, the first collaboration between a Tawrã-speaking non-linguist and a non-Tawrã-speaking linguist, attempts to clear up some confusion in the existing literature. For example, previous studies did not note that stop codas /-p,-k/ are in free variation with glides [-w,-j, ɰ], and that the morpheme, rather than the syllable, is the tone-bearing unit. Acoustic analyses provide justification for the phonemic representation of the vowels and the tones. Finally, the paper is designed to introduce Tawrã speakers to the recently standardized (2020) orthography, and to show how the letters and letter combinations function together as a system.

Linguistics of the Tibeto-Burman Area, 2022
The present study is a phonological analysis of the segments and tones of the Tawrã language (ISO... more The present study is a phonological analysis of the segments and tones of the Tawrã language (ISO 69-3: mhu; Glottolog: Diga1241), a Sino-Tibetan language spoken in Arunachal Pradesh, India, and in Tibet, China. This paper, the first collaboration between a Tawrã-speaking non-linguist and a non-Tawrã-speaking linguist, attempts to clear up some confusion in the existing literature. For example, previous studies did not note that stop codas /-p,-k/ are in free variation with glides [-w,-j, ɰ], and that the morpheme, rather than the syllable, is the tone-bearing unit. Acoustic analyses provide justification for the phonemic representation of the vowels and the tones. Finally, the paper is designed to introduce Tawrã speakers to the recently standardized (2020) orthography, and to show how the letters and letter combinations function together as a system.

Asian Languages and Linguistics, 2022
Languages with sortal classifiers (clf) are distributed across the world, with a large concentrat... more Languages with sortal classifiers (clf) are distributed across the world, with a large concentration in East and South (east) Asia. Across the world's classifier languages, few are attested which order classifiers before numerals in counted noun phrases (clf num). The Sino-Tibetan language family includes languages without sortal classifiers, languages with the more typical num clf order, as well as languages with clf num order. The latter group of languages are concentrated in Northeast India and neighboring regions. The Sino-Tibetan languages with clf num order do not fit under one genealogical node. The present hypothesis is that the classifiers arose through repetition of the counted noun, following which the order spread via contact. The clf num order appears to have arisen at least as early as the time of Proto-Bodo-Garo. However, we do not yet find cognate classifiers at a time depth beyond Proto-Bodo-Garo. A remaining mystery is why such a cross-linguistically rare morpheme order spread so easily within the Northeast India linguistic area.

Transactions of the Philological Society, 2018
This study explores the effects of tone on fundamental frequency in Punjabi, one of few Indo-Euro... more This study explores the effects of tone on fundamental frequency in Punjabi, one of few Indo-European languages to have lexical tone. Previous studies present conflicting claims regarding the direction of pitch movement, the location in the word of the tone, and interactions between tone and prosodic structure. For the present study, Punjabi speakers of India were presented with a production task, based on a metrically balanced corpus. Results show that Punjabi tone tends to be most fully realized on stressed syllables, where it occurs as a significant fall in fundamental frequency. On non-stressed syllables, tone can be realized as falling, high, or may not be realized. In some cases, syllable length plays a role in determining where in the word the pitch falls. There are implications for the diachronic trajectory of tonogenesis, which was concomitant with the loss of murmured stops in Punjabi. First, the intrinsic pitch lowering of murmured voicing has led to a falling tone in prosodically prominent positions. Second, tonogenesis in Punjabi has resulted in a privative tone system, in which syllables are either tonal or toneless, rather than a system in which there are multiple tone values, or in which most syllables are specified for tone.

Journal of Phonetics, 2015
Across languages and linguistic phenomena, rises in spoken pitch seem to occupy a privileged posi... more Across languages and linguistic phenomena, rises in spoken pitch seem to occupy a privileged position compared to steady F0 or pitch lowering. Speakers are more likely to use sudden rises in pitch to arouse listener attention, rather than using falls; e.g., contrastive stress, questions seeking a response, beginnings of units of discourse, expressions of intense emotion, etc. The study evaluated whether there are brain responses that are more sensitive to stepwise raised vs. lowered spoken F0, and whether any such responses were also caused by pure tone stimuli. Three types of brain response were evaluated. Mismatch negativity (MMN), which reflects preattentive mechanisms, was only sensitive to degrees of F0 change, and not to direction. P300, which is an indicator of attention orientation, did not show sensitivity to F0 direction to nonspeech stimuli, but showed greater sensitivity to raised F0 than to lowered F0 in speech. Time-frequency analysis of EEG data showed beta-band response in the right parietal area, when presented with spoken F0 elevation. Taken together, the P300 and beta band results suggest that attention modulation mechanisms are triggered when listeners are exposed to sudden rises in spoken F0. However, there was a lack of attention orientation response when non-speech F0 changes were presented, or when subjects were exposed to lowering of F0 in speech.

International Journal of the Sociology of Language, 2012
Language change is often traced to language contact, but the specific socio linguistic processes ... more Language change is often traced to language contact, but the specific socio linguistic processes are not fully understood. This article reports on our field research of contact between Chinese and two minority languages in rural southwest China: Sui and Qiang. The study shows how lexical tone, an under represented variable in sociolinguistics, can be valuable as an empirical mea sure of language contact and change. Furthermore, we find that it is the same Chinese tone, a high tone in Southwest Mandarin, which is affecting the pho nologies of both of these disparate minority languages. We use a social con structionist approach to model these changes: the "Structure" of a language is dialectically constructed by individual moments of speech-"Events"which are in turn influenced by Structure. From this perspective, each indi vidual use of a hightone Chinese word is constructing and changing Sui and Qiang. Tone therefore provides an audible gauge of crosscultural contact, reflecting and constructing the rapidly changing sociolinguistic landscape of rural southwest China.

Brain research, Jan 10, 2018
Recent research has found a relationship between heart rate variability (HRV) and cognitive contr... more Recent research has found a relationship between heart rate variability (HRV) and cognitive control mechanisms underlying various experimental tasks. This study explored the interaction between gender and resting-state HRV in brain oscillatory activity during visual recognition of linguistic ambiguity while taking state and trait anxiety scores into account. It is well known that stress or anxiety increases arousal levels, particularly under uncertainty situations. We tasked 50 young Mandarin speakers (26 women; average age 26.00 ± 4.449) with the recognition of linguistic ambiguity in English (foreign) sentences with the purpose of imposing a sense of uncertainty in decision-making. Our results revealed a dependency between resting-state HRV and theta/alpha power in individual women. Low HRV women showed stronger theta/alpha desynchronization compared with their high HRV counterparts, independent of topographic localization. However, low and high HRV men exhibited comparable theta/...

Journal of the International Phonetic Association, 2016
This study explores the phenomenon of uvularization in the vowel systems of two Heishui County va... more This study explores the phenomenon of uvularization in the vowel systems of two Heishui County varieties of Qiang, a Sino-Tibetan language of Sichuan Province, China. Ultrasound imaging (one speaker) shows that uvularized vowels have two tongue gestures: a rearward gesture, followed by movement toward the place of articulation of the corresponding plain vowel. Time-aligned acoustic and articulatory data show how movement toward the uvula correlates with changes in the acoustic signal. Acoustic correlates of uvularization (taken from two speakers) are seen most consistently in raising of vowel F1, lowering of F2 and in raising of the difference F3-F2. Imaging data and the formant structure of [l] show that uvular approximation can begin during the initial consonant that precedes a uvularized vowel. Uvularization is reflected phonologically in the phonotactic properties of vowels, while vowel harmony aids in the identification of plain–uvularized vowel pairs. The data reported in this...
Journal of the Royal Statistical Society: Series C (Applied Statistics), 2010
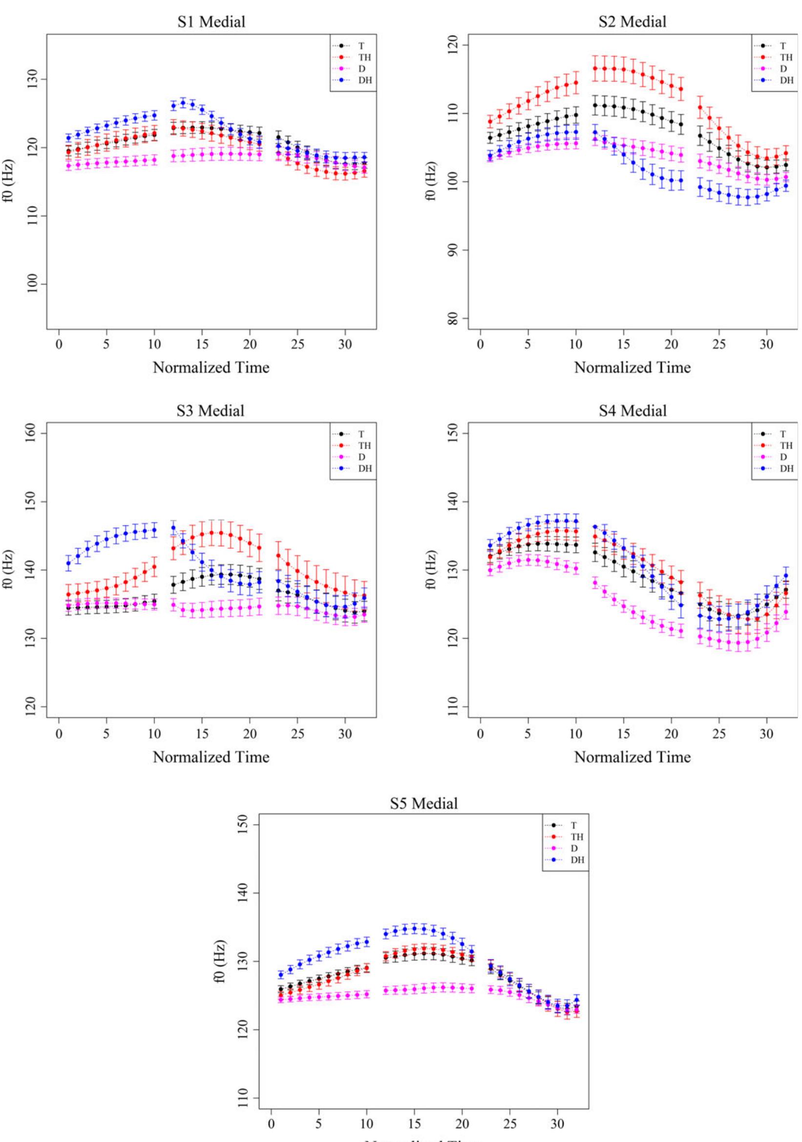
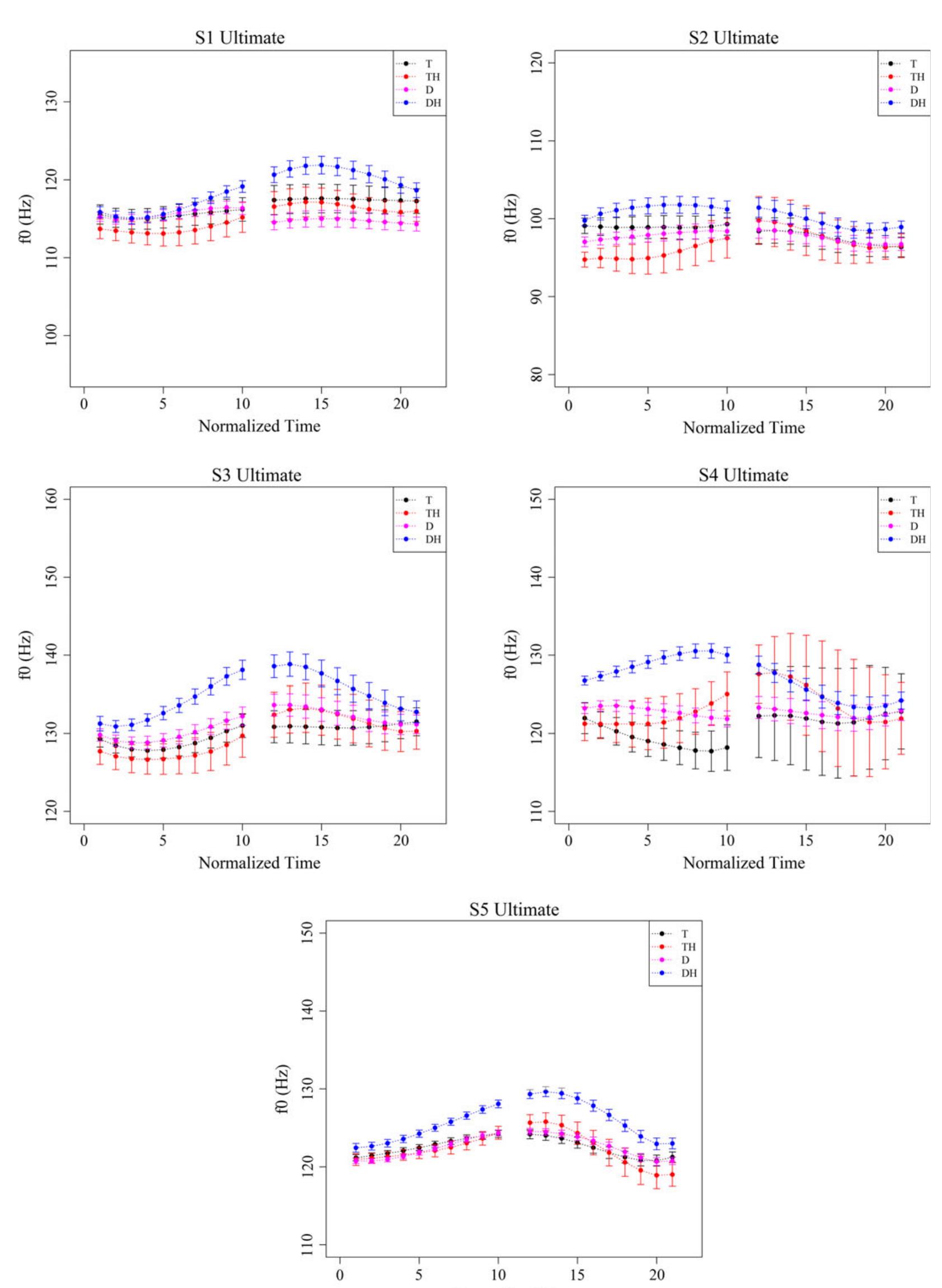
Fundamental frequency (F0, broadly "pitch") is an integral part of human language; however, a com... more Fundamental frequency (F0, broadly "pitch") is an integral part of human language; however, a comprehensive quantitative model for F0 can be a challenge to formulate due to the large number of effects and interactions between effects that lie behind the human voice's production of F0, and the very nature of the data being a contour rather than a point. This paper presents a semi-parametric functional response model for F0 by incorporating linear mixed effects models through the functional principal component scores. This model is applied to the problem of modelling F0 in the tone language Qiang, a language in which relative pitch information is part of each word's dictionary entry.
Uploads
Papers by Jonathan P Evans