Papers by Kayleigh Saunderson
Early medieval elite culture in supra-regional perspective: Society, centres, artefacts, 2026
Falko Daim and Kayleigh Saunderson, The little helpers: Amulets in Avar graves. In: Šárka Krupičk... more Falko Daim and Kayleigh Saunderson, The little helpers: Amulets in Avar graves. In: Šárka Krupičková, Rudolf Procházka, Šimon Ungerman et al. (eds.) Early medieval elite culture in supra-regional perspective: Society, centres, artefacts. Czech Academy of Sciences, Institute of Archaeology, Brno.

Zur Geschichte der Kleidung in der Steinzeit / A Stone Age History of Clothing Mitteldeutscher Archäologentag vom 26. bis 28. September 2024 in Halle (Saale), 2025
Among the general public, there are clear but everchang-
ing ideas of a Stone Age (usually Palae... more Among the general public, there are clear but everchang-
ing ideas of a Stone Age (usually Palaeolithic or Mesolithic)
person’s appearance, and these images can be observed in
popular media, such as comics, TV series, video games, and
movies. Many of these images derive from or are at least
influenced by scientific research, in some cases clearly
inspired by recreated images in museums. In other cases,
appearances in popular media strongly deviate from scien-
tific evidence. This is not without cause, since scientific accu-
racy or authenticity is not the sole goal of producers and not
the only interest of audiences. One can observe a balance
between historical accuracy, what producers aim to show,
and what an audience expects and enjoys, which is also sub-
ject to change across the decades of production.
However, these presentations of clothing and appearance
in the Stone Age in popular media again influence the pub-
lic’s idea of actual Stone Age people, which begs the ques-
tion of what balance is needed regarding the incorporation
of scientific research and also what the responsibility of
archaeologists is with their research and public science com-
munication. In this contribution, these aspects are explored
through multiple case studies.

Journal of Music Archaeology, Dec 3, 2023
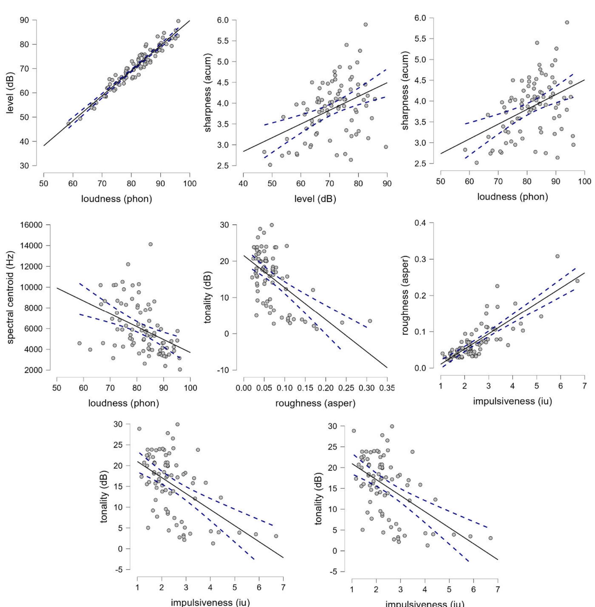
Our project is focused on metal sound objects of the Early Iron Age (Hallstatt Culture), the Roma... more Our project is focused on metal sound objects of the Early Iron Age (Hallstatt Culture), the Roman period, and the period of the Avar Khanate in the Carpathian Basin (Early Middle Ages). The idiophones originate from burial and settlement contexts. Our goal is to gain new information on their function, on tonal in uence on ancient peoples' daily lives, and their impact on society. This interdisciplinary project combines archaeological, metallurgical, acoustical, psychoacoustical, ethnomusicological, and psychological methods supported by experimental archaeology and handcraft experience, as well as by ancient written and iconographic sources. In this article we report on the status of our current results. We present three case studies, one for each period, and an acoustic and psychoacoustic overview of all currently investigated sound objects. Analyses of textile remains adhering to pellet bells complete this paper.

Slovenská archeológia lXXIII – 1, 2025
Nové Zámky I, Radvaň nad Dunajom-Žitavská Tôň (Radvaň I), Holiare and Skalica B e a t e M a r i a... more Nové Zámky I, Radvaň nad Dunajom-Žitavská Tôň (Radvaň I), Holiare and Skalica B e a t e M a r i a P o M B e r g e r -J ö r g M ü h l h a n S -K a y l e i g h S a u n d e r S o n Pellet bells and bells from the avar period cemeteries nové Zámky i, radvaň nad Dunajom-Žitavská tôň, radvaň i, holiare and the Slavic cemetery Skalica, housed in the archaeological collections of the Slovak national Museum in Martin and the archaeological institute of the Slovak academy of Sciences were investigated interdisciplinary within the research project 'Metallic idiophones between 800 Bc and 800 aD in central europe' (funding austrian Sciences Funds FWF, supporting natural history Museum vienna). the aim of the research project was to gain more information about their function, their tonal influence, their material and the textiles corroded on the surface. they sound objects served as sounding-apotropaic amulets for humans and sounding-apotropaic decoration of horse harness. the pellet bells are cast in various copper alloys and forged from metal sheet. Filled with small pebbles or cinder they show oval or ball shaped forms with various decorations on the surfaces. Frequency ranges show partial from 2 khz up to 20 khz. the sounds are rather quiet, more noise like, bright, a little bit sharp and very low in roughness. Most of the objects are heavily corroded, which influences the sounds. apart from decorative and apotropaic uses, a practical test has shown that the horse is much more concentrated and less likely to spook at outside factors when in movement carrying pellet bells.
Archäologie Österreichs 36, 2025
A potential woodworking site from the Early Neolithic in Hallstatt

Archäologie Österreichs 36, 2025
Im 75. Jahr des Bestehens der ÖGUF und im 35. Jahr der AÖ bieten wir einen Rückblick auf die Jubi... more Im 75. Jahr des Bestehens der ÖGUF und im 35. Jahr der AÖ bieten wir einen Rückblick auf die Jubiläumstagung sowie weitere Aktivitäten der ÖGUF und widmen uns natürlich auch der Geschichte dieser Zeitschrift. Passend zum Winter und den Weihnachtsfeiertagen beschäftigt sich der im Leitartikel mit der (Ur)Geschichte der vielleicht österreichischsten Sportart, dem Skifahren. In der Rubrik "News" erfahren Sie Aktuelles über die aufsehenerregenden Forschungen in der Tischoferhöhle sowie vom Johannesberg in Traunkirchen. Im "Forum" können wir Ihnen wieder eine Vielzahl spannender Beiträge anbieten, die eine Rundschau der archäologischen Szene Österreichs und ihrer neuesten Forschungen bieten: von der Linearbandkeramik am Hallstätter See zur Kupferzeit am Mondsee, von frühbronzezeitlichen Grabwiederöffnungen über bronzezeitliche Textilien zu römischen Mosaiken, von Citizen Science zu Digital Humanities. Wir hoffen, dass der interessante Einblick in das Museum Burg Golling -unweit der Fundstelle des Helms vom Pass Lueg -unsere Leser:innen zu einem Ausflug in den schönen Tennengau bewegt. Die vorliegende Ausgabe wird mit einem Bericht über die FWF-geförderten geoarchäologischen Forschungen zum Neolithikum auf dem Balkan abgeschlossen. Nun liegt sie endlich vor, die aktuelle Ausgabe der AÖ 36 für das Jahr 2025. Damit ist der "Rückstand" der letzten Jahre aufgeholt und das Team der AÖ kann ohne Altlasten in die Zukunft blicken. Aufmerksamen Leser:innen ist vermutlich nicht entgangen, dass wir mit der AÖ 35 die Druckerei gewechselt haben. Nachdem die AÖ seit Beginn bei der Druckerei Malek (später Druckwerk Krems) gedruckt wurde, freuen wir uns, in Zukunft mit Kny & Partner zusammenzuarbeiten. Der Wechsel bringt nicht nur eine finanzielle Ersparnis mit sich, der Druck erfolgt nun auch klimazertifiziert (siehe letzte Seite). Außerdem wird die AÖ nun direkt für den Versand eingeschweißt und adressiert, was den Aufwand immens verringert. Wir wünschen Ihnen schöne, erholsame und -falls Sie diese, angeregt durch den Leitartikel, auf der Piste verbringen -unfallfreie Feiertage!

“Big Data” in archaeological textile research. Iron Age textiles in Europe
Early Iron Age Konferenz Linz
Here in this conference, all of us are interested in the Early Iron Age, but nevertheless we have... more Here in this conference, all of us are interested in the Early Iron Age, but nevertheless we have different backgrounds, working with different artefacts from material culture and other archaeological evidence
Everyone has his or her own specific view on the Hallstatt Period –
mine is special, as we from the Natural History Museum are doing the active research at the site Hallstatt – quite now in the area of the cemetery, and later in summer in the saltmine.
Before we come to the big data analysis of archaeological textiles in Central Europe, first some words on archaeological textile research in general.
It is really fascinating, how many disciplines are interacting when archaeological textiles and tools are studied.
In this word cloud I tried to represent the different aspects
And all of this culminates in different approaches about the technical, economic, and social aspects of textile production and clothing.
What is of special interested for us in our work with textiles, tools and garments
are the implications of textiles for past societies, on a technical, economic and social level.
And this is where the generation of data, the analytical and interpretative methods- and big data in general gets to be important.

De l'Orient ancien à la Gaule romaine, sans jamais perdre le fil. Recherches étoffées offertes à Catherine Breniquet, 2025
Though textiles played a key role in daily life in Antiquity, they represent a rare category of f... more Though textiles played a key role in daily life in Antiquity, they represent a rare category of finds. In Central Europe, most ancient textiles are preserved by mineralisation on burial goods, meaning that they are usually rather small and inconspicuous. However, even these small fragments can provide valuable data, displaying textile traditions of the period and region, but also information on clothing and burial wrappings, for example. This case study of the organic remains of the Late Antique cemetery of Ratzersdorf an der Traisen, Austria, underlines the significance of these small remains and shows how the exact location of textiles combines with remains of human skin can show how clothing components were worn. Furthermore, remains of threads indicate sewn leather material, supporting the hypothesis of the presence of a sheath.

Experimentelle Archäologie in Europa 24, 2025
Die Hohlwulstringe der Stufe Hallstatt C stellen eine spannende Art von bronzenem Schmuck dar, de... more Die Hohlwulstringe der Stufe Hallstatt C stellen eine spannende Art von bronzenem Schmuck dar, der in Oberösterreich und Salzburg in Österreich sowie Bayern und Baden-Württemberg in Deutschland in Frauengräbern im unteren Oberkörper- beziehungsweise Hüftbereich vorkommt und wohl auch zu Lebzeiten getragen wurden. Diese sind oft mit anderen Kleidungs- und Schmuckbestandteilen vergesellschaftet, die womöglich auf eine Ringsymbolik hinweisen, und scheinen einen akustischen Effekt gehabt zu haben. In diesem Beitrag wird vor allem die Trageweise betrachtet anhand eines Beispiels aus Traunkirchen, Oberösterreich, wobei diverse Vergleichsfunde herangezogen und Trageexperimente durchgeführt werden. Es werden zwei Tragevarianten mit zwei verschiedenen Kleidungsensembles vorgestellt. Hinweisgebend für die Trageweise der Ringe sind textile Reste von vermutlichen Ripsbändern aus Süddeutschland, die auf eine Befestigung als Gürtel hindeuten. Die Experimente mit rekreierter hallstattzeitlicher Kleidung haben interessante Ergebnisse hervorgebracht: Die Ringe wirken ähnlich wie ein Korsett. Somit machten die Hohlwulstringe nicht nur an sich einen optischen Eindruck, sondern wirkten auch physisch auf die Trägerin, was einen Einfluss auf die Haltung hatte.
The hollow rings of the Hallstatt C period represent an interesting type of bronze jewellery that can be found in women's graves in the lower upper body or hip area in Upper Austria and Salzburg in Austria as well as Bavaria and Baden-Württemberg in Germany and were probably also worn during their lifetime. These are often associated with other items of clothing and jewellery that may indicate ring symbolism, and also seem to have had an acoustic effect. This article focuses on the way they were worn using an example from Traunkirchen, Upper Austria, using various comparable finds and experiments wearing them. Two variations of wearing the rings will be presented, using two different clothing ensembles. The textile remains of presumed repp bands on hollow rings from Southern Germany indicate that they were attached to a belt. The experiments with recreated clothing from the Hallstatt period produced interesting results: The rings act similar to a corset. This means that the hollow rings not only made a visual impression in and of themselves, but also had a physical effect on the wearer, which influenced her posture.
Archeometriai Műhely 22 (3), 2025
A total of more than 50 pellet bells and bells dating to the Avar period belong to the archaeolog... more A total of more than 50 pellet bells and bells dating to the Avar period belong to the archaeological collection of the Rippl-Rónai Museum in Kaposvár. They were investigated within the frame of the research project "Metallic Idiophones between 800 BC and 800 AD in Central Europe", in an interdisciplinary and cross-national cooperation between Austria and Hungary. The results, gained through archaeological, archaeometric, acoustic, psychoacoustic methods and experimental textile archaeology are presented here.

Archaeological Textiles Review 66, 2024
Hallstatt, located in the Salzkammergut in Upper Austria, with its salt mines and cemetery repres... more Hallstatt, located in the Salzkammergut in Upper Austria, with its salt mines and cemetery represents one of the most significant prehistoric sites of Central Europe, coining the term “Hallstatt period” (circa 800 to 450 BCE = Early Iron Age). This status is largely due to the exceptional preservation of organic finds in the mines, which have contributed a lot to our knowledge on textiles from the Bronze Age and Early Iron Age. Many of these textiles were already documented by Hans Jürgen Hundt in the mid-20th century (e.g. Hundt 1959; 1960; 1967). Extensive research on the textiles from the salt mines were then carried out by Karina Grömer and Helga Rösel-Mautendorfer, together with specialists on dyestuffs, wool analyses, and C14 dating. All textile finds that have been excavated in the salt mines Hallstatt till the year 2010 have been published with an extensive and detailed catalogue in 2013 (Grömer et al. 2013), together with scientific discussions. This revealed the vast technological changes and creativity from the Bronze Age to the Iron Age (Grömer 2016, fig. 140), while the Iron Age textiles exhibit a plethora of colours, patterns (twill variants, spin patterns, chequered patterns), remarkably fine threads, and patterned ribbons. Up to the publication Grömer et al. 2013, 306 textile complexes, consisting of more than 500 single pieces of textiles had been analysed. However, excavations in the salt mines are still being carried out every year since then, bringing to light more textiles.
Here we present a small insight into two recent finds of tablet woven bands from the Hallstatt salt mines, which have interesting, but quite different, connections to previous finds.

Mitteilungen der Anthropologischen Gesellschaft in Wien, 2024
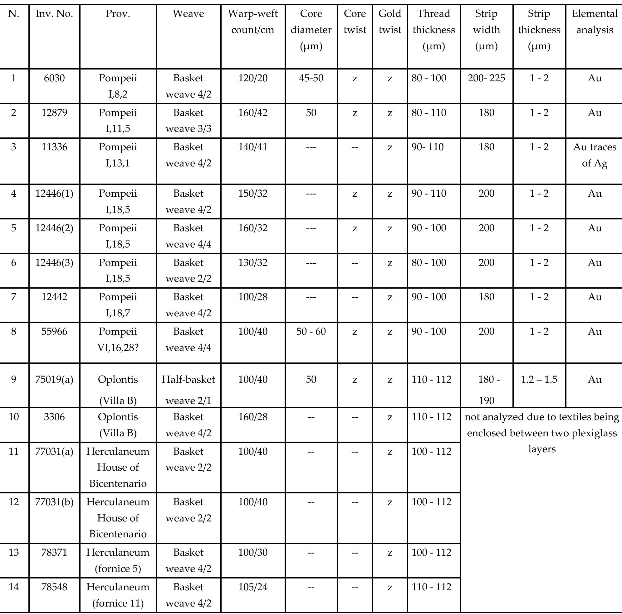
During excavations in the Late Bronze Age settlement of Ebreichsdorf in Lower Austria, gold threa... more During excavations in the Late Bronze Age settlement of Ebreichsdorf in Lower Austria, gold threads were also discovered that once decorated textiles. These provide interesting insights into the development of textile craftsmanship. During the Late Bronze Age in Central Europe, numerous advances in textile technology have already been identified, such as tablet weaving, twill variations, and dyeing, which were used to decorate textiles. Especially in the period around 1100 BCE, a unique variation appears: gold threads decorating fabrics or ribbons. No organic carrier material has been preserved together with the metal threads based on current knowledge. However, the twists and bends of the threads indicate that they were interlaced in a regular structure, which is repeated in the individual objects and can be recognised in several finds of this type in Bavaria, Austria and Hungary. The discussion will focus on the „gold threads“ from Ebreichsdorf and comparison finds, for which experiments were carried out in addition to analytical approaches. These investigations indicate that these were two fabrics as well as probably a small band, which were very densely interwoven with these gold threads – possibly in a pattern – and folded before being deposited.

OPHIUSSA, 2024
Iron age textile techniques in central Europe are rooted in bronze age innovations w... more Iron age textile techniques in central Europe are rooted in bronze age innovations which evolved into a very diverse picture of weaving and patterning techniques in the iron age. besides the main textile culture of the bronze age being based on more or less simple tabbies, weaving techniques like twill weaving, tablet weaving, patterning and sewing techniques are innovations in mid 2nd millennium bcE. Gold threads from sites in austria, bavaria and hungary bring some glamour into the woven world. in iron age Europe, the first specialisation in textile craft can be seen, with a fully developed textile craft with artfully used dyes, diverse weaving and patterning techniques of amazing quality. Within the Early iron age, the interplay between textiles and attached metal objects reaches a high standard – in expressing wealth and beauty. Some methods of operation show the unique approach of the craftspeople to the textile resource, offering an insight into the creative way of thinking of the prehistoric craftspeople. Textiles from the salt mines of hallstatt and dürrnberg serve as the main case study. They display a large variety of techniques and provide insight into different parts of textile craft and in the development of textile craft.
Textile Crossroads: Exploring European Clothing, Identity, and Culture across Millennia. Anthology of COST Action "CA 19131 – EuroWeb", 2024
Textile Crossroads: Exploring European Clothing, Identity, and Culture across Millennia. Anthology of COST Action “CA 19131 – EuroWeb”, 2024
Archaeological Textiles Review 65, 2023
Report on the conference held on 21 March 2023, Natural History Museum Vienna, Austria, and online

Mitteilungen der Anthropologischen Gesellschaft in Wien, 2023
Im Zuge der sich ständig wandelnden Sozialstrukturen, darunter die zunehmende Digitalisierung in ... more Im Zuge der sich ständig wandelnden Sozialstrukturen, darunter die zunehmende Digitalisierung in allen Lebensbereichen, sehen sich wissenschaftliche Gesellschaften heute verschiedenen Herausforderungen, aber auch neuen technischen Möglichkeiten gegenüber. Zwischen Wissenschaft und Öffentlichkeit stehend versteht sich die im Jahre 2021 gegründete Gesellschaft „Orbis Ferrorum – Gesellschaft zur interdisziplinären Erforschung der Eisenzeit“ als Vermittlerin, um einerseits in der Öffentlichkeit Verständnis für die Archäologien und das kulturelle Erbe zu wecken und andererseits in den Wissenschaftler*innen Offenheit für die Beteiligung der Öffentlichkeit an der Forschung zu generieren. Aus den Aktivitäten des Jahres 2022 konnte der Verein bereits Rückschlüsse auf die Rolle sowie Perspektiven einer modernen wissenschaftlichen Gesellschaft ziehen.
In the course of everchanging social structures, including increasing digitalisation in all areas of life, scientific societies are faced with various challenges, but in turn can also embrace new technological possibilities. Founded in 2021, the society “Orbis Ferrorum Society for Interdisciplinary Iron Age Research“, lies between academia and the public. The society acts as an intermediary to increase the comprehension of archaeology and cultural heritage for the public to encourage scientists to allow public participation in research and the exchange of knowledge. During the society’s activities in the year 2022, we were able to draw conclusions on a modern scientific society’s role as well as its perspectives.

Journal of Music Archaeology, 2023
Our project is focused on metal sound objects of the Early Iron Age (Hallstatt Culture), the Roma... more Our project is focused on metal sound objects of the Early Iron Age (Hallstatt Culture), the Roman period, and the period of the Avar Khanate in the Carpathian Basin (Early Middle Ages). The idiophones originate from burial and settlement contexts. Our goal is to gain new information on their function, on tonal inGuence on ancient peoples’ daily lives, and their impact on society. This interdisciplinary project combines archaeological, metallurgical, acoustical, psychoacoustical, ethnomusicological, and psychological methods supported by experimental archaeology and handcraft experience, as well as by ancient written and iconographic sources. In this article we report on the status of our current results. We present three case studies, one for each period, and an acoustic and psychoacoustic overview of all currently investigated sound objects. Analyses of textile remains adhering to pellet bells complete this paper.
This is an open access article distributed under the terms of the CC BY-NC-ND 4.0 license.
Beiträge zum Tag der Niederösterreichischen Landesarchäologie 2023, 2023
Die Forschung an organischen Überresten aus der Ur- und Frühgeschichte sieht sich mit der Herausf... more Die Forschung an organischen Überresten aus der Ur- und Frühgeschichte sieht sich mit der Herausforderung konfrontiert, dass Materialien wie Textilien, Leder oder Ähnliches durch die in Mitteleuropa vorherrschenden klimatischen Bedingungen üblicherweise verrotten, sobald sie in den Boden gelangen. Dennoch können sich etwa in Gräbern durch den Kontakt zu Metallen teilweise organische Materialien erhalten. In den vergangenen beiden Jahrzehnten wurde in der Archäologie immer mehr Augenmerk auf derartige, meist sehr unscheinbare organische Reste gelegt, die manchmal auch auf nicht mehr erhaltene Objekte hinweisen, wie die folgende Studie zeigt.

Archeometriai Műhely, 2023
The collections of the Balaton Museum in Keszthely and of the Hungarian National Museum contain a... more The collections of the Balaton Museum in Keszthely and of the Hungarian National Museum contain around 50 pellet bells from the Great Migration period from the Keszthely Region. All originate from cemeteries and were analysed concerning their find position, function, sounds, psychoacoustic parameters, and chemical compositions. Additionally, adhering textiles were investigated. Primarily children wore pellet bells hanging from their tunic. Pellet bell served as amulets and the idea that their sounds and metals protect are still popular today. Kivonat A keszthelyi Balaton Múzeum és a Magyar Nemzeti Múzeum gyűjteményei közel ötven, népvándorlás kori csörgőt őriznek a keszthelyi régióból. A leletek temetőkből származnak. A csörgőket megtalálási helyzetük, hangzásuk, pszichoakusztikus paramétereik és kémiai összetételük alapján elemeztük, valamint vizsgáltuk a rajtuk megőrződött textilmaradványokat. Elsősorban a gyerekek viselték a tunikájukról lelógó csörgőket. A csörgőket amullettként használták, a hangjuk és anyaguk védelmező funkciója manapság is népszerű elképzelés.
Uploads
Papers by Kayleigh Saunderson
ing ideas of a Stone Age (usually Palaeolithic or Mesolithic)
person’s appearance, and these images can be observed in
popular media, such as comics, TV series, video games, and
movies. Many of these images derive from or are at least
influenced by scientific research, in some cases clearly
inspired by recreated images in museums. In other cases,
appearances in popular media strongly deviate from scien-
tific evidence. This is not without cause, since scientific accu-
racy or authenticity is not the sole goal of producers and not
the only interest of audiences. One can observe a balance
between historical accuracy, what producers aim to show,
and what an audience expects and enjoys, which is also sub-
ject to change across the decades of production.
However, these presentations of clothing and appearance
in the Stone Age in popular media again influence the pub-
lic’s idea of actual Stone Age people, which begs the ques-
tion of what balance is needed regarding the incorporation
of scientific research and also what the responsibility of
archaeologists is with their research and public science com-
munication. In this contribution, these aspects are explored
through multiple case studies.
Everyone has his or her own specific view on the Hallstatt Period –
mine is special, as we from the Natural History Museum are doing the active research at the site Hallstatt – quite now in the area of the cemetery, and later in summer in the saltmine.
Before we come to the big data analysis of archaeological textiles in Central Europe, first some words on archaeological textile research in general.
It is really fascinating, how many disciplines are interacting when archaeological textiles and tools are studied.
In this word cloud I tried to represent the different aspects
And all of this culminates in different approaches about the technical, economic, and social aspects of textile production and clothing.
What is of special interested for us in our work with textiles, tools and garments
are the implications of textiles for past societies, on a technical, economic and social level.
And this is where the generation of data, the analytical and interpretative methods- and big data in general gets to be important.
The hollow rings of the Hallstatt C period represent an interesting type of bronze jewellery that can be found in women's graves in the lower upper body or hip area in Upper Austria and Salzburg in Austria as well as Bavaria and Baden-Württemberg in Germany and were probably also worn during their lifetime. These are often associated with other items of clothing and jewellery that may indicate ring symbolism, and also seem to have had an acoustic effect. This article focuses on the way they were worn using an example from Traunkirchen, Upper Austria, using various comparable finds and experiments wearing them. Two variations of wearing the rings will be presented, using two different clothing ensembles. The textile remains of presumed repp bands on hollow rings from Southern Germany indicate that they were attached to a belt. The experiments with recreated clothing from the Hallstatt period produced interesting results: The rings act similar to a corset. This means that the hollow rings not only made a visual impression in and of themselves, but also had a physical effect on the wearer, which influenced her posture.
Here we present a small insight into two recent finds of tablet woven bands from the Hallstatt salt mines, which have interesting, but quite different, connections to previous finds.
In the course of everchanging social structures, including increasing digitalisation in all areas of life, scientific societies are faced with various challenges, but in turn can also embrace new technological possibilities. Founded in 2021, the society “Orbis Ferrorum Society for Interdisciplinary Iron Age Research“, lies between academia and the public. The society acts as an intermediary to increase the comprehension of archaeology and cultural heritage for the public to encourage scientists to allow public participation in research and the exchange of knowledge. During the society’s activities in the year 2022, we were able to draw conclusions on a modern scientific society’s role as well as its perspectives.
This is an open access article distributed under the terms of the CC BY-NC-ND 4.0 license.