Books by Meghann Ormond

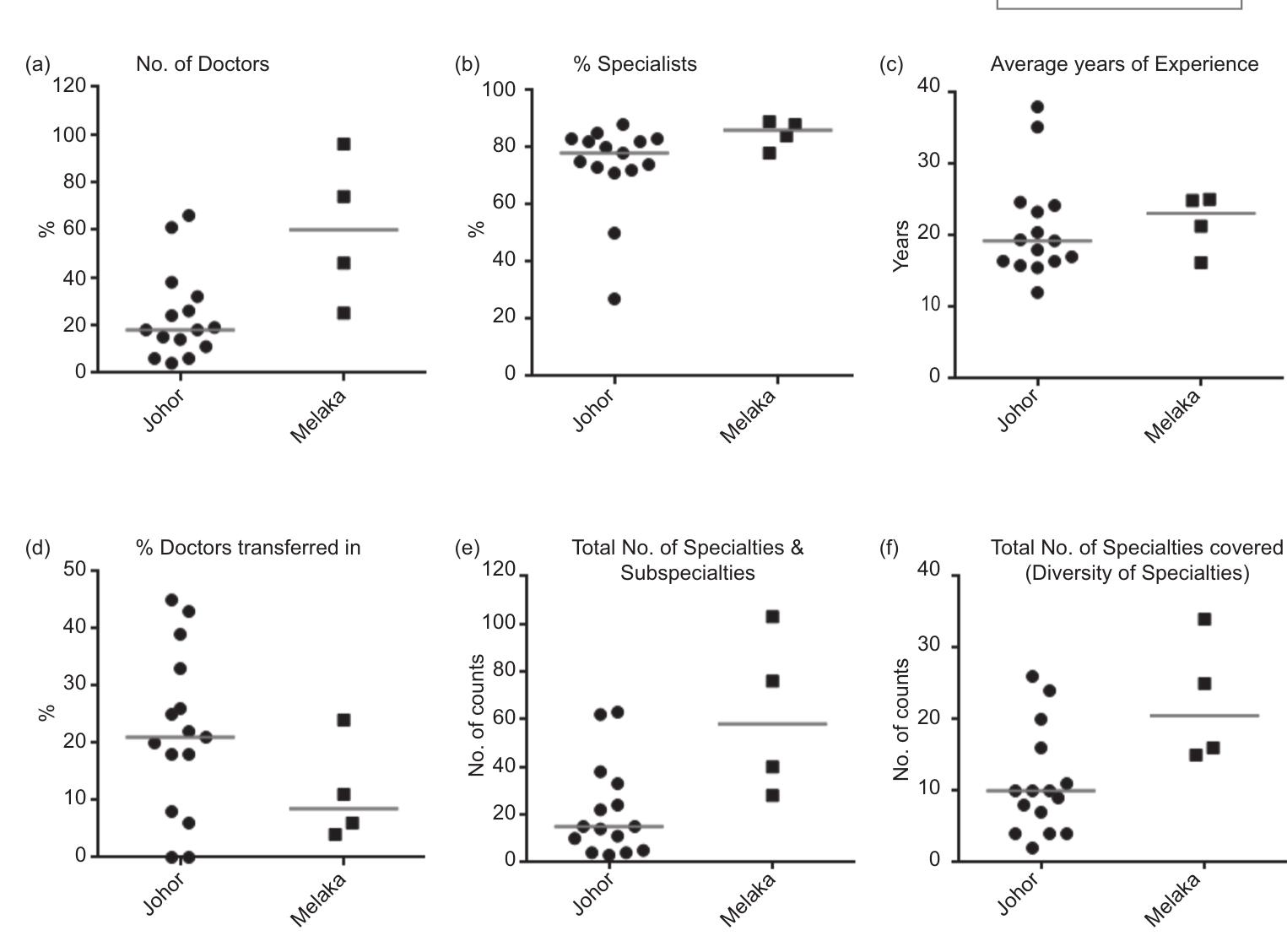
• The future of the private healthcare in Johor and in the Iskandar Malaysia (IM) special economi... more • The future of the private healthcare in Johor and in the Iskandar Malaysia (IM) special economic zone in particular is intimately tied to larger property developments and trends in the region, both because private healthcare developers are increasingly the same as property developers and because IM’s future population growth relies heavily on corporate settlement in IM and the jobs that such settlement generates. Volatility in corporate investment and settlement in IM may have significant consequences for the sector’s development.
• The Federal and Johor State Governments intend to turn IM into a world-class private healthcare destination for local residents and foreign visitors alike. A range of strategies and policies have been launched to develop IM’s medical care, aged care, and lifestyle and wellbeing sectors.
• It is essential to track the impact of federal and regional fiscal incentives for private healthcare development and monitor actual demand for private-sector capacity in order to assess the value and utility of such incentives, especially given the potential for such incentives policies to promote the generation of excessive private-sector hospital and clinical capacity if left unchecked.
• Private healthcare providers in the region depend mostly on local residents as their consumer base because Johor and IM are not (yet) significant medical tourism destinations. Given the current rate of expansion of existing hospitals and construction of new ones in Johor and specifically in IM, local demand must be secured via measures that increase the Johor household income base, foster interstate migration, attract higher-income talent in larger numbers to live in the region, and improve quality of life in the region.
• To strengthen medical tourism, private players – both large and small – require greater coordination and cooperation at the regional level in promoting medical tourism and in setting up centres of excellence and medical tourist-friendly services that cater to the actual needs of international patients.

The preliminary report for the project, 'Reunificação familiar e imigração em Portugal' ('Family ... more The preliminary report for the project, 'Reunificação familiar e imigração em Portugal' ('Family reunification and immigration in Portugal'), is divided into two parts, organised in four chapters. The first part provides a framework of the phenomenon of family reunification and the integration of immigrants in host societies, by examining the experiences of countries with a deeper tradition of immigration than Portugal, such as North-western European countries and the United States. The second part comprises a general characterization of Portugal’s experience with immigration, based on information available from official statistical sources. It includes an appendix with a comparative table that summarises selected European Union member-states’ national legislation on family reunification as well as an analysis comparing the Portuguese legislation with the EU Directive relative to family reunification (Directive 2003/86/CE).
Taking into account the general lack of data and the limitations of the data that does exist, a survey will be performed in the second phase of this project on a sample of non-EU citizens living in Portugal representative of the largest immigration populations or of populations that, despite currently being small, have displayed significant growth potential.
Finally, in order to evaluate the potential to receive immigrant families at the regional level, case studies will be made throughout a variety of districts across the country, based upon interviews and focus groups with immigrants, socio-cultural institutions, NGOs and other relevant local actors from both public and private sectors.
Journal Articles by Meghann Ormond
CrossCurrents, 2023
For people conscious and critical of their settler-colonial immigration heritage, the desire to f... more For people conscious and critical of their settler-colonial immigration heritage, the desire to forge and claim a deep connection with a plot of land can generate deep ambivalence. Engaging with Wall Kimmerer's reflections on indigeneity and migration, this essay explores the ways in which embodied and material practices of gardening and caring for the soil enable visceral recognition of both the urgency for – and the challenges associated with – decolonizing relationships with morethan-human beings that have been subjugated in diverse ways through colonial capitalism over time and space.

Geoforum, 2023
This article explores tensions between urgency and climate justice in a climate activist movement... more This article explores tensions between urgency and climate justice in a climate activist movement context through the case study of Regenerative Cultures in Extinction Rebellion Netherlands. We argue that urgency obstructs climate justice through encouraging ‘whatever-it-takes’ mentalities that sideline justice concerns in the pursuit of action, and through propelling activist burnout, which causes climate justice movements to falter over time. We situate Regenerative Cultures as a tool used by Extinction Rebellion Netherlands to negotiate these obstructions to climate justice posed by urgency. Regenerative Cultures comprises an attempt by Extinction Rebellion Netherlands to ‘hold space’, away from the urgency which pervades the movement, in order to afford activists the time to experiment with modes of inner transformation. The techniques used by activists to ‘hold space’ for these transformations constitute a form of utopia building. In these utopian spaces, activists learn to acknowledge and manage feelings of urgency, thereby constituting a form of emotional and affective inner transformation. However, the utopian spaces of Regenerative Cultures are isolated from the rest of the movement. As a disconnected utopian enclave, the political potential of ‘Regenerative Cultures’ as a prefigurative vehicle for social change is blunted. This case study is testament to the difficulties involved in carving out spaces to practice prefigurative forms of politics in a context of planetary emergency, while simultaneously outlining the necessity of such spaces for cultivating the inner changes required to enable and sustain projects of climate justice.

Grenzen en biologisch burgerschap: internationaal toerisme en migratie in tijden van Covid-19
Vrijetijdstudies, 2021
Het nieuwe en ernstige karakter van het virus en het gemak waarmee Covid-19 wordt overgedragen, h... more Het nieuwe en ernstige karakter van het virus en het gemak waarmee Covid-19 wordt overgedragen, hebben geleid tot verreikende en ongekende internationale reisbeperkingen. Dit essay richt zich op de manieren waarop nationale regeringen tijdens het begin van de Covid-19 crisis de internationale mobiliteit, waarvan ze de afgelopen decennia steeds afhankelijker zijn geworden, in goede banen probeerde te leiden. Het artikel gebruikt het concept van ‘biologisch burgerschap’ als een lens om te onderzoeken hoe de Covid-19-pandemie een nieuw perspectief biedt op eeuwenoude politieke dilemma's van het in toom houden van de verspreiding van besmetting. Door die lens kan de opkomst van nieuwe ruimtelijke vertrouwensrelaties in de vorm van ‘bubbles’, luchtbruggen en verbindingscorridors worden gezien. Hier pleit ik voor de waarde van het steeds zichtbaarder maken van de manieren waarop onze biologische identiteit zich verhouden tot onze politieke identiteit in een steeds meer geglobaliseerde wereld.

Journal of Sustainable Tourism, 2021
In bringing people together that otherwise might have little more than passing contact with one a... more In bringing people together that otherwise might have little more than passing contact with one another, tourism is appreciated for its potential to transform mindsets by fostering multi-perspectivity, a cornerstone of global citizenship education, among both ‘tourists’ and ‘locals’. Hence, while tourism plays a significant role in marginalising and exploiting immigrants’ bodies, labour and heritages, it also holds significant potential as a critical pedagogical tool for transcending the limits of multicultural tolerance discourse and combatting exploitation and xenophobia. In this article, we reflect on two Europe-based global citizenship-inspired initiatives bringing together migration and tourism in novel ways: Migrantour guided walking tours and the Roots Guide guidebook. They endeavour to rework guided tours and guidebooks, two of tourism’s most conventional pedagogical tools, into ‘good company’ that supports the Arendtian practice of ‘visiting’ as a key mode of civic learning. In so doing, we explore the representational and structural opportunities and challenges that these two initiatives encounter as they seek to co-create multi-dimensional narratives and routes in ways that recognise guides’ diverse experiences and perceptions of the places they call home, avoid stereotypical representations of ‘communities’ and hold space for the real-life frictions that accompany diversity.

Journal of Ethnic and Migration Studies, 2019
In recent years, scholars have focused on the concept of healthcare deservingness, observing that... more In recent years, scholars have focused on the concept of healthcare deservingness, observing that healthcare professionals, state authorities and the broader public make moral judgements about which migrants are deserving of health care and which are not. Such literature tends to focus on migrants with irregular status. This article examines how state calculations of healthcare deservingness have also been applied to authorised migrants. Focusing on Malaysia, we examine the ways in which state authorities construct migrants as ‘desirable’, ‘acceptable’ and ‘disposable’, differentiated through calculations of their biological and economic risks and potential contribution to ‘the nation’. To do this, we analyse recent government and commercial policies, plans and practices to reflect on how such biopolitical orderings create the conditions for risk entrepreneurship – where public and private actors capitalise on profit-making opportunities that emerge from the construction of risky subjects and risky scenarios – while reinforcing hierarchies of healthcare deservingness that exacerbate health inequalities by privileging migrants with greater economic capital and legitimising the exclusion of poor migrants.

Journal of Ethnic and Migration Studies, 2019
Transnational medical travel -- the temporary movement by patients across national borders in ord... more Transnational medical travel -- the temporary movement by patients across national borders in order to address medical concerns abroad that are unable to be sufficiently met within their countries of residence -- is an important therapeutic coping strategy used by growing proportions of peoples with a diverse range of mobility profiles and intensities of global moorings. Studying this phenomenon provides useful insight into the rapidly globalising era of health governance, where an ever-wider array of state and non-state actors are transcending the increasingly restrictive national containerisations of health care and engaging in cross-border action to effectively address contemporary health challenges at both individual and collective levels. In our introduction to this special issue on transnational medical travel, we draw on both ‘medical tourism’ and migrant health scholarship to acknowledge the diversity of motivations among migrant and non-migrant patients alike and the complex nature of mobile patients’ attachments to the multiple places in which they seek care. We then bring attention to how dynamic structural issues in mobile patients’ countries of residence and destination shape their attachments to places and health systems over time, examining the linkages between vitality of the political and social systems in these places to which they are differently attached and their dis/satisfaction and dis/enfranchisement with them.

Environment and Planning D: Society and Space, 2018
This paper draws on an affirmative biopolitical framework to analyze the governing of young lives... more This paper draws on an affirmative biopolitical framework to analyze the governing of young lives in education and social spaces in Cusco, Peru. We engage with Berlant’s theorization of affect and spatialization of biopolitics in order to discuss youth’s embodied experiences of alternatives forms of biopolitical governance. With a case study of a grassroots, non-profit center for residential care and social and educational programs for Quechua-speaking girls, we investigate how the girls sense and respond to the center’s mediation of rural-to-urban projects of ‘getting ahead,’ domestic work, and the tourism and hospitality sector. We reveal the center’s biopoliticization of their lives in an affective manner within the processes of postcolonial educational marginalization, precarity in urban economies, professionalization, and tourism in and beyond Cusco. Our study intends to contribute to an expanded understanding of production of education, aid, social care, and protection spaces, and to highlight the utility of affective inquiry in examining the contested terrains of (alternative) childhoods/youth.

BMC Proceedings
In October 2016, the Global Healthcare Policy and Management Forum was held at Yonsei University,... more In October 2016, the Global Healthcare Policy and Management Forum was held at Yonsei University, Seoul, South Korea. The goal of the forum was to discuss the role of the state in regulating and supporting the development of
medical tourism. Forum attendees came from 10 countries. In this short report article, we identify key lessons from the forum that can inform the direction of future scholarly engagement with medical tourism. In so doing, we reference on-going scholarly debates about this global health services practice that have appeared in multiple
venues, including this very journal. Key questions for future research emerging from the forum include: who should be meaningfully involved in identifying and defining categories of those travelling across borders for health services and what risks exist if certain voices are underrepresented in such a process; who does and does not ‘count’ as a medical tourist and what are the implications of such quantitative assessments; why have researchers not been able to address pressing knowledge gaps regarding the health equity impacts of
medical tourism; and how do national-level polices and initiatives shape the ways in which medical tourism is unfolding in specific local centres and clinics? This short report as an important time capsule that summarises the current state of medical tourism research knowledge as articulated by the thought leaders in attendance at the forum while also pushing for research growth.

2017: 'Connecting with prospective medical tourists online: A cross-sectional analysis of private hospital websites promoting medical tourism in India, Malaysia and Thailand', Tourism Management, 58, 154-163.
Websites of private hospitals promoting medical tourism are important marketing channels for show... more Websites of private hospitals promoting medical tourism are important marketing channels for showcasing and promoting destinations’ medical facilities and their array of staff expertise, services, treatments and equipment to domestic and foreign patient-consumers alike. This study examines the websites of private hospitals promoting medical tourism in three competing Asian countries (India, Malaysia and Thailand) in order to look at how these hospitals present themselves online and seek to appeal to the perceived needs of (prospective) medical tourists. The content and format of 51 hospitals are analyzed across five dimensions: hospital information and facilities, admission and medical services, interactive online services, external activities, and technical items. Results show differences between Indian, Malaysian and Thai hospital websites, pointing to the need for hospital managers to improve their hospitals’ online presence and interactivity.

2016: 'A state-level analysis of the economic impacts of medical tourism in Malaysia', Asian-Pacific Economic Literature, 30:1, 3-29. DOI: 10.1111/apel.12132
In this study we analyzed state-level economic impacts of medical tourism in Malaysia. In Malaysi... more In this study we analyzed state-level economic impacts of medical tourism in Malaysia. In Malaysia, a country that ranks among the world’s most recognized medical tourism destinations, medical tourism is identified as a potential economic growth engine for both medical and non-medical sectors. A state-level analysis of economic impacts is important given differences between states in economic profiles and numbers, origins and expenditure of medical tourists. We applied input-output (I-O) analysis, based on state-specific I-O data and disaggregated foreign patient data from 2007. The analysis includes nine of Malaysia’s states. Impacts related to non-medical expenditure are more substantial than impacts related to medical expenditure and indirect impacts are a substantial part of total impacts. We discuss management and policy responses and formulate recommendations for data collection.

Background: Medical tourism is now targeted by many hospitals and governments worldwide for furth... more Background: Medical tourism is now targeted by many hospitals and governments worldwide for further growth and investment. Southeast Asia provides what is perhaps the best documented example of medical tourism development and promotion on a regional scale, but interest in the practice is growing in locations where it is not yet established. Numerous governments and private hospitals in the Caribbean have recently identified medical tourism as a priority for economic development. We explore here the projects, activities, and outlooks surrounding medical tourism and their anticipated economic and health sector policy implications in the Caribbean country of Jamaica. Specifically, we apply Pocock and Phua’s previously-published conceptual framework of policy implications raised by medical tourism to explore its relevance in this new context and to identify additional considerations raised by the Jamaican context.
Methods: Employing case study methodology, we conducted six weeks of qualitative fieldwork in Jamaica between October 2012 and July 2013. Semi-structured interviews with health, tourism, and trade sector stakeholders, on-site visits to health and tourism infrastructure, and reflexive journaling were all used to collect a comprehensive dataset of how medical tourism in
Jamaica is being developed. Our analytic strategy involved organizing our data within Pocock and Phua’s framework to identify overlapping and divergent issues.
Results: Many of the issues identified in Pocock and Phua’s policy implications framework are echoed in the planning and development of medical tourism in Jamaica. However, a number of additional implications, such as the involvement of international development agencies in facilitating interest in the sector, cyclical mobility of international health human resources, and the significance of health insurance portability in driving the growth of international hospital accreditation, arise from this new context and further enrich the original framework.
Conclusions: The framework developed by Pocock and Phua is a flexible common reference point with which to document issues raised by medical tourism in established and emerging destinations. However, the framework’s design does not lend itself to explaining how the underlying health system factors it identifies work to facilitate medical tourism’s development or how the specific impacts of the practice are likely to unfold.

2015: 'Current Practice in and Considerations for Personalized Lung Cancer Care: Looking Beyond the Molecular Profile of the Patient', Maturitas. DOI:10.1016/j.maturitas.2015.04.008
Maturitas
Both at the individual and health system levels, the burden of complex illnesses associated with ... more Both at the individual and health system levels, the burden of complex illnesses associated with and which rise in mid- to later life, such as cancer, is expected to increase further. The advent of personalized medicine, or the use of a patient’s genetic profile to guide medical decisions, is touted to substantially improve drug tolerance and efficacy and, in so doing, also improve the effectiveness and efficiency of oncological care. Amidst the hype and hope surrounding personalized cancer care, there is increasing concern about its unnecessary, unintended effects especially with regards to the financial burden of targeted therapies using specialty drugs. In this paper, we take a patient-centered perspective on the therapeutic benefits of personalized medicine as well as the limitations of current practice and its psychological and financial toxicities by focusing on advanced-stage lung cancer. We argue that the modest clinical benefits of targeted therapy, premium prices for many specialty drugs and the narrow focus on the genetic constitution of individual patients run the risk of undercutting personalized lung cancer care’s contribution towards realizing health and non-health outcomes. We discuss the contribution of grading the financial burden of treatment and seamless integration of palliative care as key action areas regarding patients’ access to and appropriateness of care given patients’ needs and preferences.

Growing numbers of people are going abroad in pursuit of healthcare, and the social, political an... more Growing numbers of people are going abroad in pursuit of healthcare, and the social, political and economic significance of these flows at a range of levels cannot be ignored. This special issue brings together papers from a key international conference held in June 2013, Transnational Healthcare: a Cross-border Symposium – an event that was itself transnational, with hosting shared by institutions in two countries: first in Wageningen, The Netherlands, with delegates then travelling to Leeds, UK, for further presentations and discussion. The aim of this symposium was consider the impacts of ‘medical tourism’ in a range of different contexts, and it brought together scholars involved in cutting-edge empirical and conceptual studies of the transnational pursuit and provision of medical care. It included findings from small-scale as well as large, multi-site research projects. In this introduction, we outline the articles’ main themes and highlight priorities and agendas for the vital shared project of empirically and conceptually investigating the multi-scalar relational geographies -- from the macro/national to the local/embodied – that are currently transforming policies, economies, professions and patient experiences of what some scholars suggest might more appropriately be called ‘international medical travel’ (Kangas 2007) or ‘transnational healthcare practices’ (Stan, this issue) instead of ‘medical tourism’. In recognition of the array of initiatives around the world that challenge and move beyond attempts at self-sufficiency in healthcare at the national level, this special issue draws attention to the breadth of regional capacity-building, forms of governance, relations and identities forged through both high-profile, long-distance pursuits of ‘medical tourists’ and more ‘everyday’ cross-border and intra-regional health-motivated flows (Ormond 2013b). The diversity of case studies presented in the special issue is intended to reflect the many forms of movement that together constitute transnational healthcare practices (though there remains much work to fully map these practices). In the remainder of this introduction, we draw out some of the themes and issues raised in the papers that prompt us to rethink ‘medical tourism’.

Social Science and Medicine
Globally, more patients are intentionally travelling abroad as consumers for medical care. Howeve... more Globally, more patients are intentionally travelling abroad as consumers for medical care. However, while scholars have begun to examine international medical travel's (IMT) impacts on the people and places that receive medical travellers, study of its impacts on medical travellers' home contexts has been negligible and largely speculative. While proponents praise IMT's potential to make home health systems more responsive to the needs of market-savvy healthcare consumers, critics identify it as a way to further de-politicise the satisfaction of healthcare needs. This article draws from work on political consumerism and health advocacy and social movements to argue for a reframing of IMT not as a 'one-off' statement about or an event external to struggles over access, rights and recognition within medical travellers' home health systems but rather as one of a range of critical forms of on-going engagement embedded within these struggles. To do this, the limited extant empirical work addressing domestic impacts of IMT is reviewed and a case study of Indonesian medical travel to Malaysia is presented. The case study material draws from 85 interviews undertaken in 2007-08 and 2012 with Indonesian and Malaysian respondents involved in IMT as care recipients, formal and informal care-providers, intermediaries, promoters and policy-makers. Evidence from the review and case study suggests that IMT may effect political and social change within medical travellers' home contexts at micro and macro levels by altering the perspectives, habits, expectations and accountability of, and complicity among, medical travellers, their families, communities, formal and informal intermediaries, and medical providers both within and beyond the container of the nation-state. Impacts are conditioned by the ideological foundations underpinning home political and social systems; the status of a medical traveller's ailment or therapy; and the existence of organised support for recognition and management of these in the home context.

While scholars increasingly acknowledge that most contemporary international medical travel is co... more While scholars increasingly acknowledge that most contemporary international medical travel is comprised of South-South flows, these have gone curiously unexamined. Rather, policy, scholarly and media attention focuses predominantly on North-South flows of ‘medical tourists’. However, this focus diverts attention from the actual and potential impacts of South-South intra-regional medical travel flows in both their source and receiving contexts. As such, we present findings from a study examining South-South intra-regional medical travellers’ motivations, preparations and practices to better understand the social, economic and political situations that condition them and their effects on the destinations that receive them. Our study of Indonesian medical travellers pursuing health care in Malaysia draws on 35 semi-structured interviews with Indonesian patients, their companions, medical staff and agents in both countries. From this, we suggest that South-South medical travellers’ diverse socio-economic conditions shape decision-making and spending behaviour relative to treatment, accommodation and transport choices as well as length of stay. We identify ways in which informal economies and social care networks sustain the formal medical travel industry. Finally, we observe how medical travel increasingly serves as a means through which chronic and everyday health needs are met as a result of temporary, visa-free intra-regional movement.

Following on the identification of medical tourism as a growth sector by the Malaysian government... more Following on the identification of medical tourism as a growth sector by the Malaysian government in 1998, over the last 15 years significant governmental and private-sector investment has been channelled into its development. This is unfolding within the broader context of social services being devolved to for-profit enterprises and ‘market-capable’ segments of society becoming sites of intensive entrepreneurial investment by both the private sector and the state. Yet the opacity and paucity of available medical tourism statistics severely limits the extent to which medical tourism’s impacts can reliably assessed, forcing us both to consider the real effects that resulting speculation has itself produced and to re-evaluate how the real and potential impacts of medical tourism are -- and should be -- conceptualised, calculated, distributed and compensated for. Contemporary debate over the current and potential benefits and adverse effects of medical tourism for destination societies is hamstrung by the scant empirical data currently publicly available. Steps are proposed for overcoming these challenges in order to allow for improved identification, planning and development of resources appropriate to the needs, demands and interests of not only medical tourists and big business but also local populaces.
Asian and Pacific Migration Journal
This exploratory study analyses user-generated web content in Singapore and Malaysia to examine h... more This exploratory study analyses user-generated web content in Singapore and Malaysia to examine how the management of Singapore’s rapidly aging population within the emerging cross-border metropolitan space of Singapore and the Southern Malaysian state of Johor is perceived and framed by different social actors. It reveals a range of perspectives on the growing numbers of Singapore seniors and their families beginning to consider Johor as a post-retirement alternative to an over-priced and overcrowded Singapore to satisfy their needs and desires for more affordable medical and residential care, larger homes and greater independence.
International medical travel is increasingly big business. Using Indonesian patient-consumers’ tr... more International medical travel is increasingly big business. Using Indonesian patient-consumers’ transport experiences in the pursuit of private medical care in Malaysia, this paper explores how transport operators and infrastructure are responding and adjusting to the embodied specificities of the growing market’s access and travel needs. In offering faster and more frequent linkages, they have both expanded the physical and geo-political scope and increased the immediacy of care provision. These practices underscore the value of examining how the mobile spaces of transport common to international medical travel actively intersect with, blur and re-articulate diverse understandings of ill-health and impairment, care and subjectivity.
Uploads
Books by Meghann Ormond
• The Federal and Johor State Governments intend to turn IM into a world-class private healthcare destination for local residents and foreign visitors alike. A range of strategies and policies have been launched to develop IM’s medical care, aged care, and lifestyle and wellbeing sectors.
• It is essential to track the impact of federal and regional fiscal incentives for private healthcare development and monitor actual demand for private-sector capacity in order to assess the value and utility of such incentives, especially given the potential for such incentives policies to promote the generation of excessive private-sector hospital and clinical capacity if left unchecked.
• Private healthcare providers in the region depend mostly on local residents as their consumer base because Johor and IM are not (yet) significant medical tourism destinations. Given the current rate of expansion of existing hospitals and construction of new ones in Johor and specifically in IM, local demand must be secured via measures that increase the Johor household income base, foster interstate migration, attract higher-income talent in larger numbers to live in the region, and improve quality of life in the region.
• To strengthen medical tourism, private players – both large and small – require greater coordination and cooperation at the regional level in promoting medical tourism and in setting up centres of excellence and medical tourist-friendly services that cater to the actual needs of international patients.
Taking into account the general lack of data and the limitations of the data that does exist, a survey will be performed in the second phase of this project on a sample of non-EU citizens living in Portugal representative of the largest immigration populations or of populations that, despite currently being small, have displayed significant growth potential.
Finally, in order to evaluate the potential to receive immigrant families at the regional level, case studies will be made throughout a variety of districts across the country, based upon interviews and focus groups with immigrants, socio-cultural institutions, NGOs and other relevant local actors from both public and private sectors.
Journal Articles by Meghann Ormond
medical tourism. Forum attendees came from 10 countries. In this short report article, we identify key lessons from the forum that can inform the direction of future scholarly engagement with medical tourism. In so doing, we reference on-going scholarly debates about this global health services practice that have appeared in multiple
venues, including this very journal. Key questions for future research emerging from the forum include: who should be meaningfully involved in identifying and defining categories of those travelling across borders for health services and what risks exist if certain voices are underrepresented in such a process; who does and does not ‘count’ as a medical tourist and what are the implications of such quantitative assessments; why have researchers not been able to address pressing knowledge gaps regarding the health equity impacts of
medical tourism; and how do national-level polices and initiatives shape the ways in which medical tourism is unfolding in specific local centres and clinics? This short report as an important time capsule that summarises the current state of medical tourism research knowledge as articulated by the thought leaders in attendance at the forum while also pushing for research growth.
Methods: Employing case study methodology, we conducted six weeks of qualitative fieldwork in Jamaica between October 2012 and July 2013. Semi-structured interviews with health, tourism, and trade sector stakeholders, on-site visits to health and tourism infrastructure, and reflexive journaling were all used to collect a comprehensive dataset of how medical tourism in
Jamaica is being developed. Our analytic strategy involved organizing our data within Pocock and Phua’s framework to identify overlapping and divergent issues.
Results: Many of the issues identified in Pocock and Phua’s policy implications framework are echoed in the planning and development of medical tourism in Jamaica. However, a number of additional implications, such as the involvement of international development agencies in facilitating interest in the sector, cyclical mobility of international health human resources, and the significance of health insurance portability in driving the growth of international hospital accreditation, arise from this new context and further enrich the original framework.
Conclusions: The framework developed by Pocock and Phua is a flexible common reference point with which to document issues raised by medical tourism in established and emerging destinations. However, the framework’s design does not lend itself to explaining how the underlying health system factors it identifies work to facilitate medical tourism’s development or how the specific impacts of the practice are likely to unfold.