Books by Mykhailo Moskalets
International Journal of Modern Physics B, Jan 1, 2010
In the late seventies an increasing interest in the scaling theory of Anderson localization led t... more In the late seventies an increasing interest in the scaling theory of Anderson localization led to new efforts to understand the conductance of systems which scatter electrons elastically. The conductance and its relation to the scattering matrix emerged as an important subject. This, coupled with the desire to find explicit manifestations of single electron interference led to the emergence of mesoscopic physics. We review electron transport phenomena which can be expressed elegantly in terms of the scattering matrix. Of particular interest are phenomena which depend not only on transmission probabilities but on both amplitude and phase of scattering matrix elements.
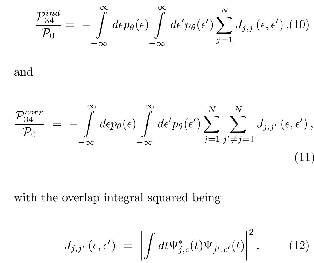
According to the Landauer-Büttiker approach [1-6] the transport phenomena in mesoscopic conductin... more According to the Landauer-Büttiker approach [1-6] the transport phenomena in mesoscopic conducting systems can be described with the help of a corresponding quantum-mechanical scattering problem. The mesoscopic system is assumed to be connected to macroscopic contacts acting as reservoirs of electrons, which are scattered by the mesoscopic sample. After scattering the electrons return to the original contact or go to a different one. Thus the problem of calculating such transport characteristics as, for example, electrical conductance or thermal conductance is reduced to solving a quantum-mechanical scattering problem with a potential profile corresponding to the sample under consideration [9] with possibly subsequent statistical averaging [10]. All information concerning transport properties of a sample is encoded in its scattering matrix,Ŝ.

I am very grateful to Markus Büttiker. Without a collaboration with him that has lasted more than... more I am very grateful to Markus Büttiker. Without a collaboration with him that has lasted more than a decade, without numerous discussions with him, without his constant support and encouragement this book would not have been written. I would like to thank the people with whom I directly collaborate, especially, Liliana Arrachea, Janine Splettstößer and Peter Samuelsson. The many interesting and exciting results that we found together are presented in this book. I also have to thank many people from the department of metal and semiconductor physics of the National Technical University "Kharkiv Polytechnical Institute", Kharkiv, Ukraine, where I work, and from the department of theoretical physics of the University of Geneva, Geneva, Switzerland, which I visited many times while working on this book, for numerous useful and stimulating discussions. And last but not least, I am very grateful to my wife Natasha for patience, support, and understanding.
Основы Мезоскопической Физики
Landauer–Büttiker formalism
A quantum dot driven by two ac gate potentials oscillating with a phase lag may be regarded as a ... more A quantum dot driven by two ac gate potentials oscillating with a phase lag may be regarded as a quantum engine, where energy is transported and dissipated in the form of heat. In this chapter we introduce a microscopic model for a quantum pump and analyze the fundamental principle for the conservation of the charge and energy in this device. We also present the basics of two well established many-body techniques to treat quantum transport in harmonically timedependent systems. We discuss the different operating modes of this quantum engine, including the mechanism of heat generation. Finally, we establish the principles of quantum refrigeration within the weak driving regime. We also show that it is possible to achieve a regime where part of the work done by some of the ac fields can be coherently transported and can be used by the other driving voltages.

Mesoscopic physics is one of those branches of modern condensed matter physics that are developin... more Mesoscopic physics is one of those branches of modern condensed matter physics that are developing rapidly. The progress achieved in the last few decades in the manufacture of micron and sub-micron-sized samples has made it possible to discover a whole range of new physical effects that are absent
in macroscopic samples and has made it possible to create solid-state devices whose operating principle is based on quantum laws.
These lecture notes contain the basics of the theory of mesoscopic systems. The presented theory allows us to describe the physics of the main phenomena and the conditions for their observation in such systems. A characteristic feature of a mesoscopic system is that its properties are determined by the behaviour of a single quantum particle. Therefore, preserving the phase coher-
ence, spectrum quantization, and charge quantization are the components that determine the occurrence of mesoscopic effects.
The lecture notes are intended for students and postgraduates who are specializing in condensed matter physics, microelectronics, and nano physics.
Full, but draft version of the book with the same title
Русскоязычный препринт книги "Scattering matrix approach to non-stationary quantum transport". Сп... more Русскоязычный препринт книги "Scattering matrix approach to non-stationary quantum transport". Список литературы не полный. Возможны опечатки в тексте.
The aim of this book is to introduce the basic elements of the scattering matrix approach to tran... more The aim of this book is to introduce the basic elements of the scattering matrix approach to transport phenomena in dynamical quantum systems of non-interacting electrons. This approach admits a physically clear and transparent description of transport processes in dynamical mesoscopic systems promising basic elements of solid-state devices for quantum information processing. One of the key effects, the quantum pump effect, is considered in detail. In addition, the theory for a recently implemented new dynamical source — injecting electrons with time delay much larger than the electron coherence time — is offered. This theory provides a simple description of quantum circuits with such a single-particle source and shows in an unambiguous way that the tunability inherent to the dynamical systems leads to a number of unexpected but fundamental effects.
Heated quantum by Mykhailo Moskalets

We analyze a coherent injection of single electrons on top of the Fermi sea in two situations, at... more We analyze a coherent injection of single electrons on top of the Fermi sea in two situations, at finite-temperature and in presence of pure dephasing. Both finite-temperature and pure dephasing change the property of the injected quantum states from pure to mixed. However, we show that the temperature-induced mixedness does not alter the coherence properties of these single-electronic states. In particular two such mixed states exhibit perfect antibunching while colliding at an electronic wave splitter. This is in striking difference with the dephasing-induced mixedness which suppresses antibunching. On the contrary, a single-particle shot noise is suppressed at finite temperatures but is not affected by pure dephasing. This work therefore extends the investigation of the coherence properties of single-electronic states to the case of mixed states and clarifies the difference between different types of mixedness.

The state of a single particle injected onto the surface of the Fermi sea is a pure state if the ... more The state of a single particle injected onto the surface of the Fermi sea is a pure state if the temperature is zero and is a mixed state if the temperature is finite. Moreover, the state of an injected particle is orthogonal to the state of the Fermi sea at zero temperature, while it is not orthogonal at non-zero temperature. These changes in the quantum state of the injected particles can be detected using the temperature dependence of the shot noise that is generated when the particles one by one pass through a semitransparent quantum point contact. Namely, the shot noise produced by the mixed state is suppressed in comparison with the noise of the pure state. In addition, the correlations between the injected particles and the underlying Fermi sea, present at non-zero temperature, do enhance the shot noise. Furthermore, antibunching of injected particles with possible thermal excitations coming from another input channel of a quantum point contact does suppress shot noise. Here I analyze in detail these three effects, which are responsible for the temperature dependence of the shot noise, and discuss how to distinguish them experimentally.
The state of particles injected onto the surface of the Fermi sea depends essentially on the temp... more The state of particles injected onto the surface of the Fermi sea depends essentially on the temperature. The pure state injected at zero temperature becomes a mixed state if injected at finite temperature. Moreover the electron source injecting a single-particle state at zero temperature may excite a multi-particle state if the Fermi sea is at finite temperature. Here I unveil a symmetry of the scattering amplitude of a source, which is sufficient to preserve a single-particle emission regime at finite temperatures if such a regime is achieved at zero temperature. I give an example and analyze the effect of temperature on time-dependent electrical and heat currents carried by a single-particle excitation.

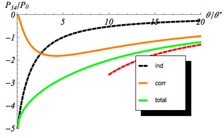
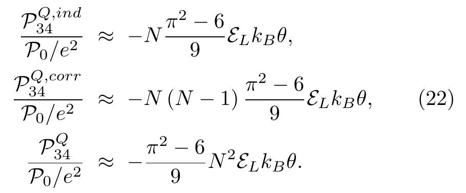
The state of electrons injected onto the surface of the Fermi sea depends on temperature. The sta... more The state of electrons injected onto the surface of the Fermi sea depends on temperature. The state is pure at zero temperature and is mixed at finite temperature. In the case of a single-electron injection, such a transformation can be detected as a decrease in shot noise with increasing temperature. In the case of a multi-electron injection, the situation is more subtle. The mixedness helps the development of quantum-mechanical exchange correlations between injected electrons, even if such correlations are absent at zero temperature. These correlations enhance the shot noise, what in part counteracts the reduction of noise with temperature. Moreover, at sufficiently high temperatures, the correlation contribution to noise predominates over the contribution of individual particles. As a result, in the system of N electrons, the apparent charge (which is revealed via the shot noise) is changed from e at zero temperature to N e at high temperatures. It looks like the exchange correlations glue up electrons into one particle of total charge and energy. This point of view is supported by both charge noise and heat noise. Interestingly, in the macroscopic limit, N → ∞, the correlation contribution completely suppresses the effect of temperature on noise.

The single-particle state is not expected to demonstrate second-order coherence. This proposition... more The single-particle state is not expected to demonstrate second-order coherence. This proposition, correct in the case of a pure quantum state, is not verified in the case of a mixed state. Here I analyze the consequences of this fact for the second-order correlation function, G (2) , of electrons injected on top of the Fermi sea with nonzero temperature. At zero temperature, the function G (2) unambigu-ously demonstrates whether the injected state is a single-or a multi-particle state: G (2) vanishes in the former case, while it does not vanish in the latter case. However, at nonzero temperatures, when the quantum state of injected electrons is a mixed state, the purely single-particle contribution makes the function G (2) to be non vanishing even in the case of a single-electron injection. The single-particle contribution puts the lower limit to the second-order correlation function of electrons injected into conductors at nonzero temperatures. The existence of a single-particle contribution to G (2) can be verified experimentally by measuring the cross-correlation electrical noise.
Coherent heatronics by Mykhailo Moskalets

Physical Review X, 2021
We establish a family of new thermodynamic constraints on heat and particle transport in coherent... more We establish a family of new thermodynamic constraints on heat and particle transport in coherent multi-terminal conductors subject to slowly oscillating driving fields as well as moderate electrical and thermal biases. These bounds depend only on the number of terminals of the conductor and the base temperature of the system. Going beyond the second law of thermodynamics, they imply that every local current puts a lower limit on the mean dissipation caused by the overall transport process. As a key application of this result, we derive two novel trade-off relations restricting the performance of adiabatic quantum pumps and isothermal engines. On the technical level, our work combines Floquet scattering and linear-adiabatic-response theory with recent techniques from small-scale thermodynamics. Using this framework, we illustrate our general findings by working out two specific models describing either a quantum pump or an isothermal engine. These case studies show that our bounds are tight and provide valuable benchmarks for realistic devices.
Uploads
Books by Mykhailo Moskalets
in macroscopic samples and has made it possible to create solid-state devices whose operating principle is based on quantum laws.
These lecture notes contain the basics of the theory of mesoscopic systems. The presented theory allows us to describe the physics of the main phenomena and the conditions for their observation in such systems. A characteristic feature of a mesoscopic system is that its properties are determined by the behaviour of a single quantum particle. Therefore, preserving the phase coher-
ence, spectrum quantization, and charge quantization are the components that determine the occurrence of mesoscopic effects.
The lecture notes are intended for students and postgraduates who are specializing in condensed matter physics, microelectronics, and nano physics.
Heated quantum by Mykhailo Moskalets
Coherent heatronics by Mykhailo Moskalets