Crustal structure of the Siberian craton and the West Siberian basin: An appraisal of existing seismic data (Cherepanova Yu., Artemieva I.M., Thybo H., Chemia Z.)

2013, Tectonophysics

https://doi.org/10.1016/J.TECTO.2013.05.004Last updated

Abstract

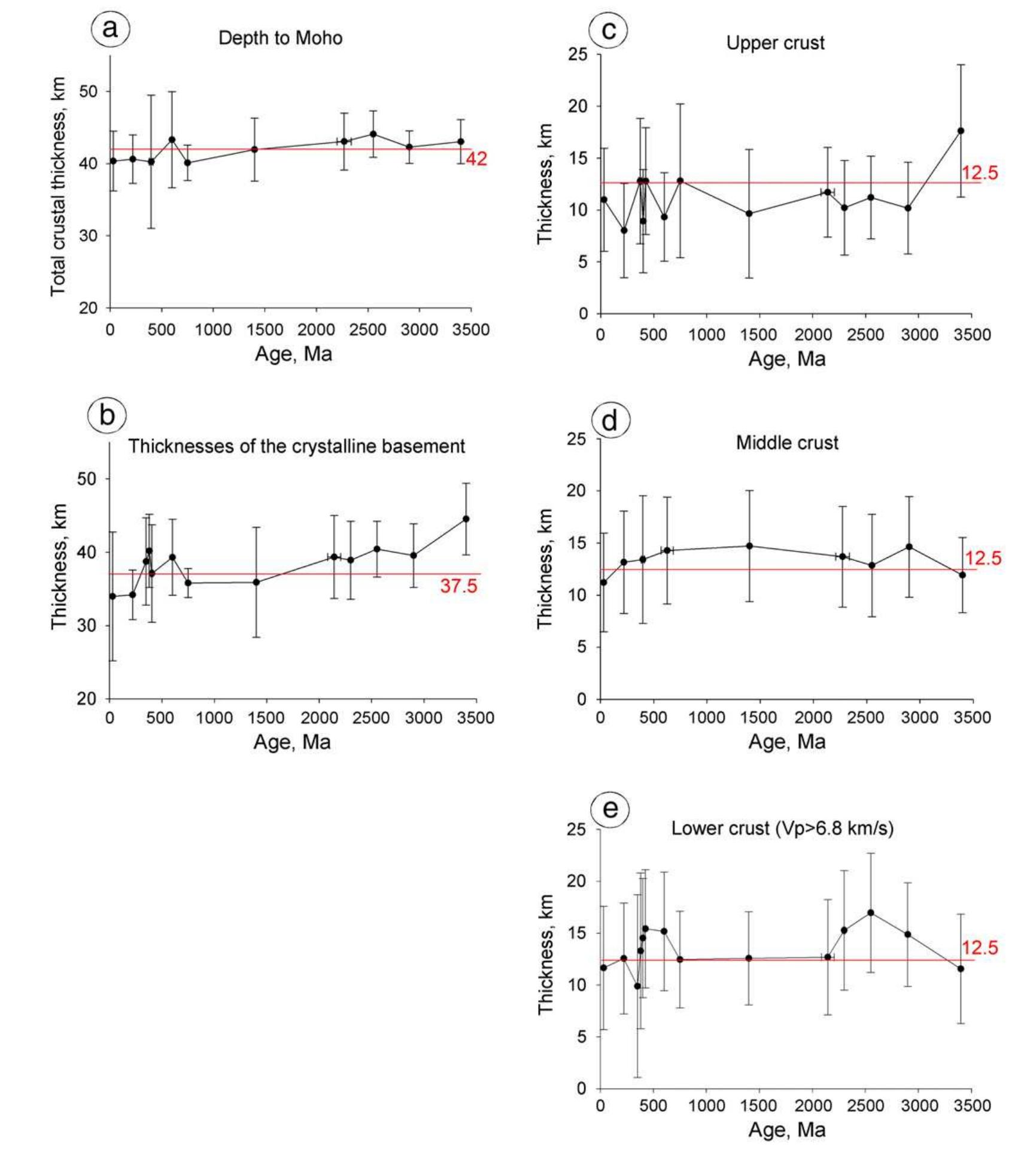
We present a digital model SibCrust of the crustal structure of the Siberian craton (SC) and the West Siberian basin (WSB), based on all seismic profiles published since 1960 and sampled with a nominal interval of 50 km. Data quality is assessed and quantitatively assigned to each profile based on acquisition and interpretation method and completeness of crustal model. The database represents major improvement in coverage and resolution and includes depth to Moho, thickness and average P-wave velocity of five crustal layers (sediments, and upper, middle, lower, and lowermost crust) and Pn velocity. Maps and cross sections demonstrate strong crustal heterogeneity, which correlates weakly with tectono-thermal age and strongly with tectonic setting. Sedimentary thickness varies from 0–3 km in stable craton to 10–20 km in extended regions. Typical Moho depths are 44–48 km in Archean crust and up-to 54 km around the Anabar shield, 40–42 km in Proterozoic orogens, 35–38 km in extended cratonic crust, and 38–42 km in the West Siberian basin. Average crustal Vp velocity is similar for the SC and the WSB and shows a bimodal distributionwith peaks at ca. 5.4 km/s in deep sedimentary basins and ~6.2–6.6 km/s in parts of the WSB and SC. Exceptionally high basement Vp velocities (6.8–7.0 km/s) at the northern border between the SC and the WSB indicate the presence of magmatic intrusions and are proposed to mark the source zone of the Siberian LIP. The cratonic crust generally consists of three layers and high-velocity lowermost crust (Vp ~ 7.4 km/s) is observed only locally. Pn velocities are generally ~8.2 km/s in the SC and WSB and abnormally high (8.6–8.9 km/s) around kimberlite fields. We discuss the origin of crustal heterogeneity and link it to regional crustal evolution.

Key takeaways
sparkles

AI

  1. SibCrust compiles extensive seismic data on the Siberian craton and West Siberian basin since 1960.
  2. Crustal thickness varies significantly: 0-3 km in stable craton, 10-20 km in extended regions.
  3. Typical Moho depths range from 35-54 km across different geological settings in the region.
  4. Average P-wave velocity shows bimodal distribution: 5.4 km/s in sedimentary basins, 6.2-6.6 km/s in cratonic areas.
  5. Crustal heterogeneity correlates weakly with tectono-thermal age, strongly with tectonic setting.
Tectonophysics 609 (2013) 154–183 Contents lists available at ScienceDirect Tectonophysics journal homepage: www.elsevier.com/locate/tecto Review Article Crustal structure of the Siberian craton and the West Siberian basin: An appraisal of existing seismic data Yulia Cherepanova ⁎, Irina M. Artemieva, Hans Thybo, Zurab Chemia Geology Section, IGN, University of Copenhagen, Denmark a r t i c l e i n f o a b s t r a c t Article history: We present a digital model SibCrust of the crustal structure of the Siberian craton (SC) and the West Siberian Received 17 August 2012 basin (WSB), based on all seismic profiles published since 1960 and sampled with a nominal interval of Received in revised form 22 April 2013 50 km. Data quality is assessed and quantitatively assigned to each profile based on acquisition and interpreta- Accepted 7 May 2013 tion method and completeness of crustal model. The database represents major improvement in coverage and Available online 14 May 2013 resolution and includes depth to Moho, thickness and average P-wave velocity of five crustal layers (sediments, Keywords: and upper, middle, lower, and lowermost crust) and Pn velocity. Maps and cross sections demonstrate strong Moho crustal heterogeneity, which correlates weakly with tectono-thermal age and strongly with tectonic setting. Crustal structure Sedimentary thickness varies from 0–3 km in stable craton to 10–20 km in extended regions. Typical Moho Seismic velocities depths are 44–48 km in Archean crust and up-to 54 km around the Anabar shield, 40–42 km in Proterozoic Siberian craton orogens, 35–38 km in extended cratonic crust, and 38–42 km in the West Siberian basin. Average crustal Vp ve- West Siberian basin locity is similar for the SC and the WSB and shows a bimodal distribution with peaks at ca. 5.4 km/s in deep sed- imentary basins and ~6.2–6.6 km/s in parts of the WSB and SC. Exceptionally high basement Vp velocities (6.8– 7.0 km/s) at the northern border between the SC and the WSB indicate the presence of magmatic intrusions and are proposed to mark the source zone of the Siberian LIP. The cratonic crust generally consists of three layers and high-velocity lowermost crust (Vp ~ 7.4 km/s) is observed only locally. Pn velocities are generally ~8.2 km/s in the SC and WSB and abnormally high (8.6–8.9 km/s) around kimberlite fields. We discuss the origin of crustal heterogeneity and link it to regional crustal evolution. © 2013 Published by Elsevier B.V. Contents 1. Introduction . . . . . . . . . . . . . . . . . . . . . . . . . . . . . . . . . . . . . . . . . . . . . . . . . . . . . . . . . . . . . . 155 2. Seismic data coverage in Siberia . . . . . . . . . . . . . . . . . . . . . . . . . . . . . . . . . . . . . . . . . . . . . . . . . . . . 156 2.1. An overview of regional seismic surveys . . . . . . . . . . . . . . . . . . . . . . . . . . . . . . . . . . . . . . . . . . . . . 156 2.2. Previous compilations of crustal structure . . . . . . . . . . . . . . . . . . . . . . . . . . . . . . . . . . . . . . . . . . . . . 157 3. New database of the crustal seismic structure, SibCrust . . . . . . . . . . . . . . . . . . . . . . . . . . . . . . . . . . . . . . . . . . 158 3.1. Data sources and digitizing strategy . . . . . . . . . . . . . . . . . . . . . . . . . . . . . . . . . . . . . . . . . . . . . . . 158 3.2. Structure of the database . . . . . . . . . . . . . . . . . . . . . . . . . . . . . . . . . . . . . . . . . . . . . . . . . . . . 159 3.3. Criteria adopted for quality control of the seismic model . . . . . . . . . . . . . . . . . . . . . . . . . . . . . . . . . . . . . . 162 3.4. Interpolation procedure for map presentation of the database . . . . . . . . . . . . . . . . . . . . . . . . . . . . . . . . . . . 163 4. Overview of regional tectonic evolution . . . . . . . . . . . . . . . . . . . . . . . . . . . . . . . . . . . . . . . . . . . . . . . . . 163 4.1. Major tectonic elements . . . . . . . . . . . . . . . . . . . . . . . . . . . . . . . . . . . . . . . . . . . . . . . . . . . . . 163 4.1.1. The Siberian craton (SC) . . . . . . . . . . . . . . . . . . . . . . . . . . . . . . . . . . . . . . . . . . . . . . . . 163 4.1.2. The West Siberian basin (WSB) . . . . . . . . . . . . . . . . . . . . . . . . . . . . . . . . . . . . . . . . . . . . . 163 4.2. Major tectonic events . . . . . . . . . . . . . . . . . . . . . . . . . . . . . . . . . . . . . . . . . . . . . . . . . . . . . . 163 4.2.1. Main Archean–Paleoproterozoic events (3.6–1.7 Ga) . . . . . . . . . . . . . . . . . . . . . . . . . . . . . . . . . . . 163 4.2.2. Main Meso- and Neoproterozoic events (1.7–0.65 Ga) . . . . . . . . . . . . . . . . . . . . . . . . . . . . . . . . . . . 164 4.2.3. Major Vendian–Silurian events (650–400 Ma) . . . . . . . . . . . . . . . . . . . . . . . . . . . . . . . . . . . . . . 165 4.2.4. Major Devonian-Permian events (400–250 Ma) . . . . . . . . . . . . . . . . . . . . . . . . . . . . . . . . . . . . . . 165 ⁎ Corresponding author. Tel.: +45 53124833. E-mail address: [email protected] (Y. Cherepanova). 0040-1951/$ – see front matter © 2013 Published by Elsevier B.V. http://dx.doi.org/10.1016/j.tecto.2013.05.004 Y. Cherepanova et al. / Tectonophysics 609 (2013) 154–183 155 4.2.5. Major Triassic events (250–200 Ma) . . . . . . . . . . . . . . . . . . . . . . . . . . . . . . . . . . . . . . . . . . . 166 4.2.6. Major Jurassic-Cretaceous events (200–65 Ma) . . . . . . . . . . . . . . . . . . . . . . . . . . . . . . . . . . . . . . 167 4.2.7. Major Cenozoic events (b 65 Ma) . . . . . . . . . . . . . . . . . . . . . . . . . . . . . . . . . . . . . . . . . . . . 167 5. Results and discussion . . . . . . . . . . . . . . . . . . . . . . . . . . . . . . . . . . . . . . . . . . . . . . . . . . . . . . . . . 167 5.1. Archean crust . . . . . . . . . . . . . . . . . . . . . . . . . . . . . . . . . . . . . . . . . . . . . . . . . . . . . . . . . 167 5.1.1. Crustal structure of the Siberian craton . . . . . . . . . . . . . . . . . . . . . . . . . . . . . . . . . . . . . . . . . 167 5.1.2. Upper mantle Pn velocity in the Siberian craton . . . . . . . . . . . . . . . . . . . . . . . . . . . . . . . . . . . . . 171 5.1.3. Comparison with other cratons and global crustal models . . . . . . . . . . . . . . . . . . . . . . . . . . . . . . . . . 172 5.2. Paleoproterozoic crust . . . . . . . . . . . . . . . . . . . . . . . . . . . . . . . . . . . . . . . . . . . . . . . . . . . . . 174 5.3. Rifted crust of the Viluy basin . . . . . . . . . . . . . . . . . . . . . . . . . . . . . . . . . . . . . . . . . . . . . . . . . . 176 5.4. Baikalian, Caledonian, and Hercynian fold belts of the WSB . . . . . . . . . . . . . . . . . . . . . . . . . . . . . . . . . . . . 176 5.5. Rifted crust of the WSB . . . . . . . . . . . . . . . . . . . . . . . . . . . . . . . . . . . . . . . . . . . . . . . . . . . . . 176 5.6. Crustal reflectivity . . . . . . . . . . . . . . . . . . . . . . . . . . . . . . . . . . . . . . . . . . . . . . . . . . . . . . . 177 5.7. Statistical correlation of crustal parameters . . . . . . . . . . . . . . . . . . . . . . . . . . . . . . . . . . . . . . . . . . . . 177 6. Conclusions . . . . . . . . . . . . . . . . . . . . . . . . . . . . . . . . . . . . . . . . . . . . . . . . . . . . . . . . . . . . . . 178 Acknowledgments . . . . . . . . . . . . . . . . . . . . . . . . . . . . . . . . . . . . . . . . . . . . . . . . . . . . . . . . . . . . . 180 References . . . . . . . . . . . . . . . . . . . . . . . . . . . . . . . . . . . . . . . . . . . . . . . . . . . . . . . . . . . . . . . . . 180 1. Introduction et al., 2006; Clowes et al., 2002). In particular, recent high-resolution seismic studies of Precambrian cratons have demonstrated the pres- Secular evolution of the crust and the mantle is closely related, ence of highly heterogeneous crustal structure even on small scale. and structural and compositional heterogeneity of the crust is essen- For example, in the Kaapvaal craton of South Africa the depth to tially controlled by plate tectonics and mantle dynamics. Knowledge Moho varies from 35 km to 44 km over a distance of ca. 100 km of the origin and evolution of the continental crust is compulsory and, due to strong compositional and structural heterogeneity of for understanding of Earth evolution in general. Information on the the crust, these variations are poorly correlated with variations in crustal structure is further crucial for studies of the subcrustal litho- the Poisson's ratio (Nair et al., 2006; Youssof et al., 2013–this sphere and the sublithospheric mantle, given that crustal structural volume). Similar observations are reported in detailed seismic sur- heterogeneities effectively mask and distort mantle compositional veys from other tectonic settings. anomalies as reflected, in particular, in seismic surface-wave tomog- Two widely used global crustal models, CRUST 5.1 and CRUST 2.0 raphy and gravity models. For this reason, it is essential to correct (Bassin et al., 2000; Mooney et al., 1998) are largely based on most geophysical data for the crustal effects prior to analysis for the seismic reflection–refraction data available by 1995 (Christensen mantle component of the anomalies. and Mooney, 1995), complemented by other data sources on the Direct sampling of the deep crust has limited coverage, but pro- thickness of sediments. These models are constrained by statistical vides key information on the composition and physical properties of averaging and tectonic regionalization of the available seismic models crustal rocks. Laboratory-based information on the composition of on regular grids used to fill-in the “white spots” where data are not the crust originates largely from crustal xenoliths brought to the available and, together with a significant number of regional data- surface by magmatic events (Downes, 1993; O'Reilly and Griffin, bases of the crustal structure, they are important tools for modeling 1985; Rudnick and Fountain, 1995; Shatsky et al., 2005) and from mantle velocity and density heterogeneities. Despite unquestionable several, although limited in number, slices of deep crust exposed by advantages provided by global crustal models, they have limitations: collision tectonics and impact events, such as the Kapuskasing terrane (1) Spatial averaging over cells with dimensions of a few hundred in Canada, the Vredeford impact crater in South Africa, the Ivrea zone kilometers smears lateral variations in the crustal structure and re- in the Alps, and the Western Gneiss region in Norway. Given the duces the amplitude variation of seismic velocities and thicknesses limited spatial crustal sampling by xenoliths and the small number of various crustal layers, as well as total crustal thickness. The situa- of tectonically exposed crustal sections, globally the structure of the tion is similar to a low-resolution topographic map of an orogen continental crust is primarily known from geophysical data. These where high peaks and deep valleys are averaged into a smooth pic- data are chiefly based on seismic studies (initially based on reflection ture. (2) Spatial averaging may lead to artifacts in regions with strong and refraction profiles, supplemented more recently by receiver func- crustal heterogeneity, in particular because data acquisition often tion (RF) studies and surface wave tomography), gravity modeling, targets at tectonically “exciting”, read anomalous, structures. and borehole data for the shallow crust. Given the above limitations, the accuracy and uncertainty of the The vast amount of seismic data collected worldwide in different two existing global crustal models cannot be assessed, even though tectonic settings, since the early crustal databases (Macelwane, they have been indirectly tested by global tomographic inversion 1951) has led to the recognition of specific crustal structures typical (e.g. Mooney et al., 1998). For Siberia, the sparse sampling by teleseismic for various tectonic settings; a decade later they were systematically data prevents such a test, as it will be basically unconstrained by seismic averaged and typical crustal cross-sections were derived (Closs and data. The accuracy of the CRUST 2.0 model in each cell is estimated to Behnke, 1963). Since then, this approach has become increasingly be within 1.0 km for the sediment thickness and within 5 km for the popular, in particular due to the growing demand for global seismic crustal thickness (http://igppweb.ucsd.edu/~gabi/crust2.html). It is also studies of the (first-order, at least) crustal structure even in regions clear that regional high resolution geophysical modeling requires high without detailed geophysical data coverage. In such regions, some resolution regional crustal models. Additionally, such regional crustal first-order constraints on large-scale structural properties of the databases would provide critical information for verifying the accuracy crust (such as Moho depth) can be inferred from the tectonic evolu- of global crustal models, updating the global statistics on the crustal tion of a particular region. Such an approach is based on the widely structure that forms their basis, and potentially updating the global adopted hypothesis that the structure of the continental crust is crustal models. essentially controlled by its age and tectonic settings (Jarchow and This study reports a new, independent compilation of the crustal Thompson, 1989; Mooney et al., 1998). However, significant deviations structure of Siberia, SibCrust, based on all available seismic models from generally accepted patterns are also very common (e.g. Artemieva for the region. The study area is limited to the area 60-132E and 156 Y. Cherepanova et al. / Tectonophysics 609 (2013) 154–183 50N–75N, and includes two major tectonic provinces, the largely parts of Eastern (SC) and Western (WSB) Siberia prior to the 1960s Paleozoic West Siberian basin (WSB) and the Precambrian Siberian were shorter than 300 km. In the late 1960s, the differential seismic craton (SC). It extends from the Ural mountains in the west to the Lena sounding (pseudo 3D sounding) method was applied in a large river and the Verkhoyansk Ridge in the east, and from the Arctic shelf exploratory seismic study of the southern West Siberian basin and in the north to the Central Asian mountain belt in the south (Fig. 1). in an areal study of the Siberian craton Puzyrev and Krylov (1977). We provide a brief history of seismic studies in Siberia, followed The number of high resolution DSS profiles increased in the by a summary of seismic data coverage, a description of the database 1970–1980s, although low resolution DSS profiling still dominated. structure, and a description of the adopted quality criteria for seismic High resolution seismic profiling, initiated in the late 1970s, was data acquisition and interpretation. Maps and histograms illustrate initially carried out mainly along short profiles designed for crustal the database and are used as background for discussion of major studies only and often only for the sedimentary cover. features of the crustal structure in the West Siberian basin and the Between 1965 and 1988, 122 peaceful nuclear explosions (PNE) Siberian craton, which we link to the tectonic evolution of the region were detonated in the USSR for different scientific applications over ca. 3.6 Ga. The compiled database is analyzed statistically in (Sultanov et al., 1999). The major part of the PNE program was a relation to crustal age and is compared to results from other regions deep seismic survey on a network of long range geotraverses (3000– with similar tectonic settings. 4500 km long seismic profiles) that cross diverse geologic structures of Eurasia and provide unique information on the deep crustal and man- 2. Seismic data coverage in Siberia tle structure down to 700 km depth (Mechie et al., 1993; Morozova et al., 2000; Thybo et al., 2003a), and in a few cases even to the core– 2.1. An overview of regional seismic surveys mantle boundary (Thybo et al., 2003b). Chemical shots were additionally used along the PNE profiles as source to obtain crustal structure along A systematic study of seismic structure of the crust using a wide the same profiles. The technical parameters, such as the number and range of DSS (deep seismic sounding) techniques began in the Soviet spacing of chemical shots and recorders, together with progress in Union in the early 1950s (Table 1). DSS profiles recorded in some instrumentation and in interpretation methods determine the quality Fig. 1. Topography of the West Siberian basin (WSB) and the Siberian craton (SC) based on ETOPO1 (Amante and Eakins, 2009). The map shows the boundaries of the WSB and the SC, the known and suspected Proterozoic and Paleozoic rift-graben structures (after Aplonov, 1995; Pavlov, 1995; Surkov and Smirnov, 2003; Zonenshain et al., 1990), major sedimentary basins and basement highs, relict oceanic basins of the WSB (Nadym, Surgut, and Nyurol), and major kimberlite fields of the SC. Abbreviations for rift-grabens of the WSB: A, Agan; Ch, Chuzik; K–U, Koltogory–Urengoi; Khs, Khudosei; Kht, Khudottei; UT, Ust–Tym. Other abbreviations: LA trg.—Lena–Anabar trough; NZ—Novaya Zemlya; OH—Olenek High; FB—fold belt. The letter and color code for the kimberlite fields refer to the emplacement age (S1 = 420 Ma, D2 = 380 Ma, C1 = 340 Ma, T1 = 245–240 Ma, J1 = 170 Ma, K1 = 140 Ma) (after Griffin et al., 1999). Y. Cherepanova et al. / Tectonophysics 609 (2013) 154–183 157 Table 1 Classification of seismic models by the acquisition and interpretation method. Acquisition method Details of acquisition parameters Label in Quality Total length of database seismic profiles, km Profile acquisition Short range profiles High resolution Dense system of reversed and overlapping profiles, either DSS-A A ca. 12,000 method (b500 km) reflection–refraction i. Crustal refraction/wide-angle reflection profiles with reversed coverage, 2–10 km receiver spacing, chemical shots as source, 10–100 km distance between shot points, interpreted with primary and secondary arrivals; or ii. Multichannel normal-incidence reflection profiles with 24 or 48 channels, 50–200 m receiver spacing, chemical shots as source, 1–3 km between shot points. Low resolution i. Geometry as in DSS-A with less dense receiver spacing DSS-B B ca. 5700 reflection–refraction or gaps in array coverage; model resolution is lower than for DSS-A profiles. ii. Experiments with several widely spaced stations, each with 24 or 48 receivers spaced 50–200 m to provide apparent velocity of individual phases. Pseudo 3D sounding Source and three or four arrays of receivers (trace spacing DSS-C C ca. 11,960 2–10 km) that were moved along the profile while maintaining the same configuration. Wave field registration at different offsets from the source for different layers (30–60 km for the basement; 100–200 km for Moho depth; 200–300 km for Pn). Registration of refracted, reflected and converted waves Long range profiles Combination of DSS Long-range PNE profiles, 2000–3000 km long, covered by LRDSS-A A ca. 22,000 (>500 km) profiling methods 200–300 receivers for mantle studies with 2–4 nuclear sources (PNE) per profile. Crustal models along the same profiles are based on LRDSS-B B ca. 5000 additional chemical shots with 30–40 km spacing with data acquisition along 350–400 km long profiles with a 40–50 km overlap between individual profiles. Receiver spacing: 3–10 km along the whole length of profiles. Receivers: 3-component stations “Taiga” and “Cherepaha”. Model quality depends on interpretation method. LRDSS-A: high quality modern, ray-tracing based interpretations; LRDSS-B: lower quality original interpretations with limited computer processing. Receiver function Time series calculated by rotation and deconvolution of RF C ca. 1630 method three-component seismograms to show the local seismic response of Earth structure near the receiver. Provides mainly information on Moho depth with 2–4 km uncertainty because crustal velocities rarely are known, rarely provides information on internal crustal structure, and only average crustal velocity. Total length of seismic profiles (km): ca. 58,000 of the crustal seismic models (Table 1). Consequently, the resolution of and Ioganson, 1984; Rudkevich, 1974; Savinsky, 1972). These crustal the crustal structure significantly differs between and even along the maps are based not only on the available seismic data but also include PNE profiles (Figs. 2, 3). borehole data for the sedimentary cover and potential field con- A significant strength of the DSS studies in the USSR was standard- straints for areas which were not covered by seismic surveys. These ization, both in experimental techniques and in interpretation, original maps have been reproduced, with minor modifications, since they were carried out by a small number of research groups in numerous later publications, often without credit to the original (e.g. Ryaboy, 1989). This led to a systematic program of seismic ex- maps. Over the past 30–40 years, significant advances have been ploration of the entire country and not only in regions of economic made in seismic studies by development of data acquisition and inter- potential. An unquestionable advantage of the Soviet seismic pro- pretation methodologies (Tables 1, 2). The coverage of Siberia by gram is the reversed and overlapping profiling method which allows seismic surveys and deep drilling has also significantly improved direct interpretation of laterally heterogeneous structure. A weakness since the first regional crustal models were derived. Surprisingly, is that interpretations of the very early studies are available only major features of the crustal and sedimentary thickness variations as low quality graphical presentation of the results (i.e. maps are have been correctly recognized already in those early regional crustal schematic, with only few details and often without coordinates and models. scales, the cross sections are hand-drawn, and the seismic data are There are three relatively recent (and, in general, not publically interpreted without use of computer-based ray tracing; the latter available) crustal compilations for the territory of Siberia. (1 & 2) two concerns are also the case for other contemporaneous seismic Two very similar compilations of Russian geological surveys, GEON interpretations worldwide). and VSEGEI (Erinchek, 2009; Kostyuchenko, 2000), include only data on the thickness of the sedimentary cover, depth to Moho, and 2.2. Previous compilations of crustal structure Pn velocity, without information on the velocity structure of the crust. These compilations, available as interpolated maps, represent The first compilations of regional crustal databases for Siberia go a development of the crustal models of the 1970–1980s and are back to the 1970s and 1980s and are available as maps showing the based on a combination of seismic and potential field constraints, thickness of sediments and the Moho depth (Bazanov et al., 1976; complemented by borehole data and tectonic information. An Belyaevsky, 1973; Kontorovich et al., 1975; Kovylin, 1985; Kunin advantage of the approach is that the entire territory, including 158 Y. Cherepanova et al. / Tectonophysics 609 (2013) 154–183 areas without seismic data coverage, is included into the crustal us to initiate a new compilation of the crustal structure of Siberia from model. However, a significant disadvantage is that such compilations scratch, without making use of any previous compilation. cannot be applied for gravity modeling, given that a significant part of the crustal structure is derived from the gravity field. 3. New database of the crustal seismic structure, SibCrust (3) In contrast to the compilations of VSEGEI and GEON, a continu- ing USGS compilation of seismic profiles worldwide (Mooney and Our goal is to constrain a trustworthy regional crustal model, jus- Detweiler, 2005) also includes detailed information on the velocity tified by available and reliable seismic models. To avoid the problems structure of the crust. Seismic profiles included in this database by of previous compilations, we have adopted the following strategies the mid-1990s formed the basis for the coverage of Siberia in the (see details below): two global crustal models, CRUST5.1 and CRUST2.0 (Bassin et al., 2000; Mooney et al., 1998). Specifics of Soviet publications cause • to digitize all available and reliable seismic models for the region; problems in the USGS compilation for the territory of Russia. Firstly, • to apply quality criteria as defined by seismic data acquisition and the results of many Soviet seismic surveys were published only in interpretation methods; annual or field reports of various national organizations and are not • to exclude models with uncontrolled quality and uncertainty such generally available and thus are not included into the compilation. as crustal models for regions without seismic data, crustal models Secondly, even publications of seismic profiles in scientific journals based on gravity modeling and/or tectonic similarities, and crustal usually do not provide their exact location. As a result, many Soviet models published as interpolated contour maps but not along seismic seismic profiles are missing in the USGS database or are significantly reflection/refraction profiles. misplaced (in some cases by some hundreds of kilometers, as in case of the ultra-long range PNE profiles). An inclusion of any pub- 3.1. Data sources and digitizing strategy lished crustal model, without quality assessment, into a compilation also has a drawback, in particular with respect to the velocity struc- The data set used in the compilation includes all available pub- ture of the crust as reported in the early studies (for details see lished seismic reflection, refraction and receiver function interpreta- Section 3). Our compilation compensates to a large degree for all tions of regional seismic data acquired since the late 1960s until these problems. present (Table 3). To ensure full coverage of the existing seismic Our study was provoked by a significant discrepancy between profiles in Siberia, the locations of digitized profiles were compared the crustal models of Siberia as demonstrated by a comparison of with the all-Russian compilation of seismic profiles by VSEGEI the compilations of VSEGEI, GEON, and USGS. Differences amount to (Erinchek, 2009). Our new crustal database includes almost all 10 km for Moho depth and 1–3 km for the thickness of sediments. (except for a few very old and publically unavailable) seismic pro- These differences may lead to systematic errors when used in surface files that exist for Siberia with the total length of digitized profiles wave tomography models and potential field modeling. Consequently, ca. 58,000 km. the use of these models for the crustal structure of Siberia may question The new crustal database is based on approximately 50 publica- the results of recent geophysical studies, such as the gravity modeling tions. Importantly, this small number does not reflect the total results for the West Siberian basin (Braitenberg and Ebbing, 2009) number of publications that we have used, which is several times and the seismic tomography model of the West Siberian basin and the larger. It includes the vast number of research articles published Siberian craton (Priestley and Debayle, 2003). This situation motivated since the 1970s in Russian and international scientific journals and Fig. 2. Examples of published seismic models illustrating model quality criteria adopted in this study (see Tables 1–2 for details). Color codes and numbers (1 to 3) refer to the completeness of model information on the crustal inner structure and are the same as in Fig. 3: green (1)—complete, red (2)—intermediate, blue (3)—incomplete model. Letter codes refer to the quality of seismic model based on interpretation method and quality of data acquisition (A—high, B—intermediate, C—low; see details in Table 1). (a) An example of a profile with a complete crustal information and high quality acquisition and interpretation (profile 1 in Table 3, Suvorov et al., 2006). (b) An example of an average quality profile with partial crustal information (profile 6 in Table 3, Zverev and Kosminskaya, 1980). (c) An example of a poor quality profile with incomplete information on the crustal inner structure and low quality of seismic model (profile16 in Table 3, Kostyuchenko, 2000). (d, e) Two crustal models for the long-range PNE profile RIFT (profile 30 in Table 3) based on the same seismic data illustrating differences in seismic models interpreted at different time: (d) the model of Egorkin et al. (1987); (e) ray tracing interpretation by Pavlenkova et al. (2002). Y. Cherepanova et al. / Tectonophysics 609 (2013) 154–183 159 Fig. 3. Overall quality of the crustal database based on available seismic models. Shading illustrates the overall quality of the crustal model based on both model quality (criteria A–C) and model completeness (criteria 1–3). This information is presented for a 2° × 2° interpolation grid which corresponds to interpolation procedure used to constrain all other maps. Seismic profiles which were included into the database are numbered according to Table 3 where typical model quality is given for each profile; color code shows the completeness of model information on the crustal inner structure along the individual profiles (see Fig. 2 for examples and Section 3.3 for details). books, as well as numerous open-file reports and dissertations from high potential for a high resolution interpretation (Morozov et al., various Russian organizations, including a few models from the 60s 2002; Suvorov et al., 2005, 2006). when no later interpretations are available. Note that publications which reproduce (sometimes several times by the same authors) 3.2. Structure of the database seismic models with no or only minor changes as compared to the first original publication are excluded from our reference list. Several Following both seismic practice and petrologic structure of a publications present interpretations of many seismic profiles, such typical continental crust, the new crustal model SibCrust consists of that the total number of profiles is larger than the number of original five layers: sediments, the upper crust, the middle crust, the lower publications. crust, and the high-velocity lowermost crust (where recognized). For many seismic profiles, several (and sometimes notably different) Additionally, the Pn velocity at the top of the upper mantle is included. seismic models constrained by different research groups are available. In Each layer is characterized by two parameters: thickness and average such cases, only one seismic model per profile is incorporated into the P-wave velocity. Thus, each entry in the database is specified by 11 database and selected from reliability criteria (see below), although in parameters which describe the crustal structure at that location. The some cases our choice is inevitably subjective. Commonly, when several subdivision of the crustal structure into the crustal layers is largely crustal models are available the most recent interpretations were pre- based on the typical Vp velocities as reported in global and regional ferred, since generally they are of higher quality (Fig. 2). In general, crustal models: the old interpretations of Moho depth are in a good agreement with the most recent interpretations, but the details of the crustal structure • b 5.8 km/s in sedimentary strata (note that the commonly adopted may notably differ. Recent interpretations of the old seismic data boundary value of 5.6 km/s is not used because of widespread demonstrate the high quality of the original seismic material and its occurrences of limestones with Vp = 5.4–5.7 km/s), Table 2 Major seismic data acquisition and interpretation campaigns. Years of acquisition Prior to 1976 1976–1985 After 1985 Acquisition method Low-resolution DSS pseudo 3D sounding High resolution DSS and Long range PNE profiles High resolution DSS, normal incidence reflection profiling and broad band seismometers Recording technique 1-component recording system 3-component receivers, analog stations 3-component geophones and broad band seismometers, digital stations Source type Chemical shots Chemical shots and nuclear shots Chemical shots Earthquakes Interpretation 1-D models; head (refracted)-wave method; 2-D models; ray-tracing method based on reflected 2-D models; ray-tracing method; seismic systematic velocity overestimation at and refracted waves; velocity filtering, high lateral tomography (crustal), reflection seismic intracrustal boundaries (before 1970) and vertical resolution processing, receiver functions 160 Y. Cherepanova et al. / Tectonophysics 609 (2013) 154–183 Table 3 Seismic profiles available for the region and included into the database. Profile number in database/ Year of field work Profile length Quality ratea Seismic source Maximum Key referenceb Additional referencesc profile name if available (km) resolved depth 1 SC, Mirny 1981 370 A CS Moho Suvorov et al. (2006) 2 SC, Mirny 1983 340 A CS Moho Suvorov et al. (2006) 3 Craton WSB-SC 1978 3000 B CS + PNE 400 km Pavlenkova and Pavlenkova (2006) Egorkin et al. (1987), Romanyuk (1995), Pavlenkova et al. (1996), Solodilov (1997), Nielsen et al. (1999), Egorkin (1999), Petrov and Kostyuchenko (2002) 4 Quartz Ural-WSB 1984 3950 A CS + PNE 400 km Beloussov et al. (1991), Egorkin (Yegorkin) et al. (1992), Mechie et al. (1993), Morozov et al. (2002) Kostuychenko and Egorkin (1994), Ryberg et al. (1996), Schueller et al. (1997), Morozov et al. (1998), Egorkin (1999), Pavlenkova (2000), Pavlenkova and Pavlenkova (2006) 5 Bitum WSB-SC 1983 3300 A CS + PNE 400 km Beloussov et al. (1991) 6, 7 WSB 1969 1950, 1900 C CS Moho Zverev and Kosminskaya (1980) Krylov et al. (1974a,b), Puzyrev and Krylov (1977) 8 SC 1977 850 B CS 60 km Zverev and Kosminskaya (1980) 9 Rubin 2 WSB 1983–1990 1800 B CS Moho Bulin (2003) 10 Shpat 1983Q 1950 B CS + PNE Moho Bulin (2003) 11 Oka, SC 1977 1200 A, C CS + EQ Moho Bulin (1988) 12 Norilsk region 1981 255 A CS + EQ Moho Avetisov and Golubkov (1984) Avetisov and Golubkov (1996) 13 Norilsk region 1981 55 C EQ Moho Avetisov and Golubkov (1984) 14 Northern SC 1980 420 A CS Moho Suvorov et al. (2005) Suvorov (1993) 15 Northern SC 1983 650 C EQ Moho Kostyuchenko (2000) 16 Northern SC 1981 925 C EQ Moho Kostyuchenko (2000) 17 Norilsk region 1988 200 A CS Moho Bulin and Egorkin (1994) 18 Northern SC 1988 240 B CS + EQ Moho Bulin and Egorkin (1994) 19 Horizont, Northern WSB-SC 1976 2600 B CS + PNE 400 Zverev and Kosminskaya, 1980 Pavlenkova and Pavlenkova (2006) 20 Northern WSB 1976 930 C CS Moho Zverev and Kosminskaya (1980) 21 Viluy, SC 1969 580 C CS Moho Vol'vovsky and Vol'vovsky (1975) 22 Baikal 1969 730 C CS Moho Vol'vovsky and Vol'vovsky (1975) 23 Baikal 1969 750 C CS Moho Vol'vovsky and Vol'vovsky (1975) 24 Southern WSB 1969 700 C CS Moho Vol'vovsky and Vol'vovsky (1975) 25 Southern WSB 1969 1080 C CS Moho Vol'vovsky and Vol'vovsky (1975) Gao et al. (1994), Zorin et al. (1995) 26 Northern WSB 1969 500 C CS Moho Vol'vovsky and Vol'vovsky (1975) 27 Meteorite SC 1978 2800 A CS + PNE 400 Pavlenkova and Pavlenkova (2006), Pavlenkova et al. (1996), Egorkin (1999) Salnikov (2008) 28 Kimberlite, Central WSB-SC 1978 2900 A, B, C CS + PNE 400 Pavlenkova and Pavlenkova (2006) Egorkin et al. (1987), Salnikov (2008), Grachev and Kaban (2006) 29 Rift, SC 1985 3000 A CS + PNE 400 km Pavlenkova et al. (2002) Egorkin et al. (1987), Pavlenkova (1998), Salnikov (2008) 30 Quartz, the Urals segment 1987 620 A CS + PNE 400 Kostuychenko et al. (1998) 31 Rubin, northern Middle Urals 1990 800 A CS + PNE Moho Kostuychenko et al. (1998) Egorkin (1991) 32 South Ural 1989 830 A CS + PNE Moho Kostuychenko et al. (1998) 33 Shpat 1983 1500 B CS + NPE Moho Ryaboy (1989) 34 SC 1970 1070 C CS Moho Salnikov (2008) 35 Basalt 1985/2000 4000 A CS + PNE Moho Egorov et al. (2000) 36 Baikal 2003 360 A CS Moho Thybo and Nielsen (2009) Zorin et al. (2002) 37 SC, west ??? 850 A CS Moho Surkov et al. (2000) 38 URSEIS, Southern Middle Urals 1995 350 A CS Moho Brown et al. (1998), Carbonell et al. (2000) Steer et al. (1995, 1998), Echtler et al. (1996), Puchkov (1997), Carbonell et al. (1996), Suleimanov (2006) 39 3-DV, Far East ??? 2200 B CS Moho Salnikov (2008) Salnikov et al. (2012) 40 ESRU R-114/115, northern Middle Urals 1993–1998 260 A CS Moho Juhlin et al. (1996) Druzhinin et al. (1990, 1997), Sokolov (1993), Juhlin et al. (1998), Brown et al. Y. Cherepanova et al. / Tectonophysics 609 (2013) 154–183 (1998, 2002), Friberg et al. (2001), Kashubin et al. (2006), Knapp et al. (1998), Brown et al. (2008) 41 UWARS, northern Middle Urals 1992 170 A CS Moho Thouvenot et al. (1995) 42 R-17, Northern Urals 1993 70 C CS Moho Juhlin et al. (1996) Egorkin (1991), Ryzhiy et al. (1992) 43 Granit, the Middle Urals segment 1990–1992 3000 (400 km) A CS Moho Juhlin et al. (1996) Rybalka and Kashubin (1992), Ryzhiy et al. (1992) 44 AR-2, Polar Urals 1995–2006 900 A CS Moho Ivanova et al. (2006, 2011) Roslov et al. (2009) 45 AR-3, Polar Urals 1995–2006 2500 A CS Moho Ivanova et al. (2011) 46 AR-4, Kara sea 1995–2006 2500 A CS Moho Ivanova et al. (2011) CS—chemical shots, PNE—nuclear peaceful explosions, EQ—earthquake source. a Quality—see details in Table 1. Profile locations and their quality as marked here are shown in Fig. 3. b Key reference—publications from which seismic models included to the database were primarily digitized. c Additional references—publications (i) where the same seismic models as in the key reference, or their parts, were republished, with no or only minor modifications, (ii) with older and less reliable interpretations based on the same seismic data as seismic models in the key reference, (iii) where the same seismic models as in the key reference, or their parts, are presented as a geological, compositional, or density interpretation. The information from additional references was occasionally used as supportive material (e.g. to better constrain profile location). 161 162 Y. Cherepanova et al. / Tectonophysics 609 (2013) 154–183 • 5.8–6.4 km/s in the upper crust (UC), The arrival times were used for tracing crustal boundaries and • 6.4–6.8 km/s in the middle crust (MC), for estimating layer velocities from their slopes; these velocities • 6.8–7.2 km/s in the lower crust (LC), and were then equated to the velocities in the strata down to the • 7.2–7.8 km/s in the lowermost crust (LMC). next crustal boundary. As a result, these velocities are also higher than the true layer velocities. For example, the old sec- In cases where seismic reflectors are observed from refraction- tions often indicate seismic Vp velocities of 6.8–7.0 km/s in the wide-angle reflection surveys, we adopted the crustal layers as iden- middle part of the crust instead of the, later interpreted, charac- tified in the original studies regardless of Vp velocity values in the teristic velocities of 6.4–6.5 km/s. Fortunately, new publications layers. on the velocity structure help in the identification of such errors. Seismic models were digitized along the profiles (see Fig. 3 for The accuracy of depth determinations of seismic boundaries and data coverage) with a sampling step of 50 km where the crustal the velocities of elastic waves constrained in the early surveys structure is smooth, and denser in regions with short wavelength by pseudo 3-D DSS (termed “point soundings” in Russian litera- variation in any of the crustal properties. This procedure ensures that ture, quality C) can be assessed from a comparison with the the spatial resolution of the database is comparable with the resolution results of drilling and high-resolution continuous seismic profil- of the original seismic models. Cross-points between seismic profiles ing made under various conditions. In general, the accuracy is are a special problem. At some cross-points (the most notable is near 0.1–1.0 km for the basement depth and 2 km for the depth to Norilsk, at ca. 88E/70N), seismic models based on data acquired and Moho and internal crustal boundaries. The accuracy of seismic interpreted at significantly different time or by different groups, do P-wave velocity is 0.1–0.25 km/s (Krylov et al., 1974a), which not agree and may differ by up to 10 km for the crustal thickness. corresponds to the accuracy of high resolution DSS (quality A, Although one cannot exclude some effect of anisotropy, in such places Table 1). For one profile (C9 in Table 3) where crustal structure we primarily use the most recent interpretation for the crustal structure is complete but only S-wave speed is available, Vs is converted at cross-points (clearly, the results based on ray-tracing are preferred to to Vp by assuming Vp/Vs = 1.75. This profile, despite a high old interpretations) and avoid duplicate crustal models for the same quality model interpretation, is considered here as of average location. quality since the true Vp/Vs ratio along that profile is unknown. (3) Model completeness (Fig. 3). Completeness of digitized seismic 3.3. Criteria adopted for quality control of the seismic model models on the inner structure of the crust means availability of information on thickness of individual crustal layers and their Vp Seismic data for Siberia, as for any other region, are of uneven velocity at each digitized point. High completeness (index 1) is quality due to objective data acquisition differences and subjective assigned to the points with complete information, i.e. where interpretation limitations. Therefore information on model quality re- thickness and Vp velocity are known of all crustal layers: sedi- quires special attention, and it is incorporated into the new database. ments, upper crust, middle crust, lower crust, lowermost crust Generally, the depths to the top of the basement and Moho are the (if present), Moho depth, and Pn velocity. Intermediate com- most reliable parameters determined in the earliest and all conse- pleteness (index 2) is assigned to points with information on quent seismic models. the depth to the top of the basement and the Moho, with at The reliability of the crustal structure (seismic models) is essen- least one intracrustal boundary, as well as with partial velocity tially different for data acquired at different time and interpreted by information. Finally, low completeness (index 3) is assigned to different methods. For this reason, as our first-order approach, the points where only the depth to the top of the basement and quality of digitized seismic models is assessed by the time of data the Moho are resolved. Depending on original survey geometry acquisition field campaigns and by the time and method of data inter- and interpretation approach, the internal crustal structure may pretation. Based on the combination of these two factors, each point be well resolved even on some average quality profiles. Since digitized from a seismic profile is assigned a subjective quality crustal models based on Receiver Function method usually do index on a scale from A (the highest) to C (the lowest) (the details not constrain internal velocity structure of the crust and have are specified in Table 1, quality typical for each digitized profile is ca. 2–4 km uncertainty for the Moho depth when the velocity indicated in Table 3). An additional quality parameter, on a scale from structure is not known, they are assigned low quality (C) and 1 (the highest) to 3 (the lowest), is used to characterize the complete- poor completeness (3). ness of the crustal model at each digitized point (Fig. 3). The criteria adopted for assessment of quality and completeness of seismic model The three upper profiles in Fig. 2 illustrate the difference in the are briefly discussed below and are further illustrated by four examples completeness of information on crustal inner structure. Many old (Fig. 2). interpretations (exemplified by Fig. 2c) could not resolve the structure, (1) Time and method of data acquisition (Table 2). Most of the while improvements in signal processing over the last decades have earliest (prior to mid-1970s) data acquisition was carried out resulted in a significant improvement of the quality of seismic modeling with 1-component recorders and poor lateral resolution. While and interpretations, even for interpretation of old, recently digitized the inner crustal structure is poorly resolved in these profiles data (Fig. 2a). The lower profiles (Fig. 2d,e) illustrate differences in qual- (intracrustal boundaries are often discontinuous, with lateral ity of seismic models, based on the same seismic data, but constrained gaps up to 250–300 km), the depths to the Moho and the top by different interpretation methods. The high quality profile (Fig. 2e) of the basement are resolved well with an accuracy of 1–2 km interpreted by modern ray method was included into the database, (Fig. 2a). Later acquisition campaigns, defined by new explora- whereas the same profile with a more detailed information on the tion tasks, built on technical progress in both automation and inner crustal structure (Fig. 2d) was interpreted by hand, has lower processing and resulted in better constrained crustal models quality, and therefore is used only as a supplementary information. (Fig. 2b). The overall quality of the entire database is assessed based on the (2) Time and method of data interpretation (data processing combination of the above mentioned criteria (Fig. 3). The parameter methods) (Table 1). The earliest (pre-1970) interpretations which characterizes quality of digitized seismic models is interpolated were 1-D, and often involved a systematic interpretation error with a 2° radius, which corresponds to the interpolation used to because secondary (sometimes sub-critical) reflections were produce all other maps. The lowest accuracy in the resolution of the interpreted as refracted (head) waves (assigned quality C). The crustal structure is for the north-eastern part of the Siberian craton result is a systematic overestimation of mid-crustal velocities. where available seismic models have limited quality and completeness. Y. Cherepanova et al. / Tectonophysics 609 (2013) 154–183 163 There is also insufficient seismic information for the south-eastern part and may extend below the sedimentary covers of the West Siberian of the SC and some parts of the WSB (Fig. 3). As a consequence, the basin and the Yenisey–Khatanga trough. The basement consists of SibCrust model may be unreliable in these regions. Archean and Proterozoic blocks of various origin (continental terranes, On the whole, the relatively many high quality seismic models avail- orogenic belts, magmatic arcs) separated by Proterozoic suture zones able for Siberia (ca. 80% of the database by profile length) provides the (Fig. 4). It is exposed in a few areas only: (i) the Anabar Shield in the basis for our high quality, the new regional crustal model. Average and north-central part; (ii) the Olenek High in the north-eastern part; (iii) low quality models each make ca. 10% of the database. Similar statistics the Yenisey ridge in the west; (iv) two areas in the Biryusa block in exists for the completeness criteria. The exclusion of crustal models the south-west of SC; (v) the Aldan–Stanovoy block in the south-east. with uncontrolled and unknown errors and uncertainties (e.g. seismic The boundaries of the crustal blocks are constrained chiefly by magnetic models published as interpolated contour maps but not along seismic anomalies and isotope ages (Rosen, 2002) as most of the craton is reflection/refraction profiles or models based on gravity modeling covered by a thick layer of Riphean–Phanerozoic sediments and by and/or tectonic similarities) from the compilation allows for maintaining Permo-Triassic flood basalts in the north-west. strict quality control of the new regional crustal database. 4.1.2. The West Siberian basin (WSB) 3.4. Interpolation procedure for map presentation of the database The West Siberian basin (WSB) is a gigantic sedimentary basin that extends ca. 2500 km from north to south and 1000 to 1900 km The new crustal database, SibCrust, constrained with at least from west to east and covers an area comparable to the Siberian 50 km spacing along all existing seismic profiles, is presented as a Craton (~ 3.5 × 106 km2). The thick sedimentary cover of the WSB series of maps to illustrate variations in the thickness of sediments, hosts some of the world's largest natural gas and oil fields below an depth to Moho, thickness of individual crustal layers, average velocity almost flat topography. The WSB is bounded by Paleozoic-Mesozoic structure of the entire crust and the crystalline basement, and upper orogens in the west, south, and southeast, and by the Siberian craton mantle Pn velocity. The digitized point data, representing the original in the east. The northern extent of the WSB forms a shelf that extends 2D crustal models were interpolated on 0.5°×0.5° and 2°×2° grids for more than a thousand kilometers into the Arctic ocean. The tec- for each crustal parameter in the databases. The interpolation algo- tonic origin of the shelf is presently under intensive investigation, rithm was chosen after a comparison between different techniques and it is thought to consist chiefly of a Neoproterozoic fold belt (such as standard krigging). In all cases, the nearest neighbor (Drachev et al., 2010). algorithm was used as interpolation method, since it provides better Potential field data indicate that the basement of the WSB is a collage amplitude preservation, particularly of small-size, high-amplitude of terranes ranging in age from 1800 to 1600 Ma to the Mesozoic. Up to anomalies, which is important in the tectonically complex and geolog- eight buried Precambrian blocks are interpreted in the basement of the ically heterogeneous region. Interpolated values were verified with central and southern West Siberian basin, mostly from potential field the original seismic models; strongly distorted values were corrected studies (e.g. Aplonov, 1995). The Uvat–Khantymansiysk median massif in accordance with seismic models available within a 100 km radius. is the largest (Figs. 5, 6) and is often described as a (Meso-)Proterozoic In some low quality profiles, the internal crustal boundaries are microcontinent (Bekzhanov et al., 1974). However, isotope ages are discontinuous with lateral gaps up to 200–300 km. Such gaps in crustal sparse and the exact age and size of this lithospheric block are highly parameters are filled with information from the closest (sometimes speculative (Surkov and Smirnov, 2003). Data from at least 30 deep crossing) high quality profiles, if nearer than 100 km. In rare cases, boreholes that reach the WSB basement provide evidence for Proterozoic with large data gaps, the standard average velocity of the crustal layer (chiefly undefined) basement ages along the northern margin of the is assigned to points with incomplete velocity information. In regions WSB (Aplonov, 1988, 1995; Bochkarev et al., 2003; Peterson and with several closely spaced or intersecting crustal profiles, weighted Clarke, 1991; Surkov and Zhero, 1981). The oldest absolute age of interpolation is used, with the weight factor corresponding to the ca. 750 Ma is reported at the south-western part of the Ob Guba model quality (Table 1). bay (ca. 64–68N/64–72E) and basement ages of ca. 650–500 Ma are Given the relatively dense data coverage over the entire Siberia, reported for the north-eastern part of the WSB (at 70N/84E and at there is no need to incorporate geologic/tectonic information into the 65–67N/86–90E) (see summary by Aplonov, 1995). interpolation; consequently the maps presented below can be directly Presently, Paleozoic crust makes 2/3 of the WSB and includes compared to geological and tectonic structure of the region. Some two major orogenic provinces: the Caledonian block in the south major tectonic structures (the Viluy rift, the Anabar and Aldan–Stanovoy (part of the Proterozoic-Paleozoic Kazakhstan orogenic belt) and the shields) are crossed by few seismic profiles only; for this reason their Hercynian block in the central-western parts of the WSB. By Caledonian areal extent as reflected in the crustal maps is not fully constrained. and Hercynian we refer to deformation events that occurred at Crustal parameters are publically available at both grids. Small ca. 500–400 Ma and 350–300 Ma, respectively. interpolation radius produces minimum artifacts, but leaves “white spots” in regions without seismic coverage. Interpolation on a uni- 4.2. Major tectonic events form 2° × 2° grid is a compromise between filling the gaps without crustal information and preserving the amplitudes and, where appli- To simplify further discussion of the crustal structure by tectonic cable, the shapes of the anomalies. All maps shown in this paper are settings and its link to regional geodynamic processes, we summarize produced with 2° × 2° interpolation of the corresponding crustal briefly the tectonic history of the regions (Figs. 4, 5). A simplified tec- parameters. The uncertainty associated with such type of interpolation tonic map of the basement based on a set of geophysical, geological is analyzed in detail in the companion paper (Artemieva and Thybo, and geochronological studies is presented in Fig. 6. In the present 2013–this volume). study we follow the widely used Russian Proterozoic stratigraphic scheme, largely constrained by the Siberian stratigraphic sequences 4. Overview of regional tectonic evolution (Table 4). 4.1. Major tectonic elements 4.2.1. Main Archean–Paleoproterozoic events (3.6–1.7 Ga) The basement ages of the SC are chiefly Archean (3.25–2.5 Ga), 4.1.1. The Siberian craton (SC) except for the Olenek province in the north-eastern part of the craton The Siberian craton (SC) occupies an area of ca. 4 × 106 km2, (2.4–1.85 Ga) (Rosen et al., 1994). The Paleoproterozoic Akitkan and although the western and northern boundaries are not well established the Angara orogenic belts are formed by a strongly deformed Archean 164 Y. Cherepanova et al. / Tectonophysics 609 (2013) 154–183 Fig. 4. Summary of the Precambrian tectonic evolution of Siberia. Data sources: Aplonov, 1995; Bekzhanov et al., 1974; Bradley, 2008; Gladkochub et al., 2006; Jahn et al., 1998; Milanovskiy, 1996; Nikishin et al., 2010); Nutman et al., 1992; Pisarevsky and Natapov, 2003; Rosen, 2003; Rosen et al., 1994; Sklyarov et al., 2001; Surkov and Smirnov, 2003; Fig. 5. Summary of the Phanerozoic-Cenozoic tectonic evolution of the Siberian Craton Vernikovsky et al., 2003; Zhao et al., 2002; Zonenshain et al., 1990. and the West Siberian basin. Data sources: Al'mukhamedov et al., 1998; Aplonov, 1995; Arkhipov, 1971; Artyushkov crust and some juvenile Paleoproterozoic crust (Gladkochub et al., and Baer, 1986; Baldin, 2001; Bazanov et al., 1976; Courtillot et al., 2010; Davis et al., 2006). The SC was assembled at ca. 2.6–1.8 Ga by collisions of several 1980; Drachev et al., 1998; Fedorenko et al., 1996; Fokin et al., 2001; Ilupin et al., 1990; Khain, 2001; Klets et al., 2006; Kontorovich et al., 1975; Kushnir, 2006; Logatchev and Archean and Paleoproterozoic terranes, with related major tectonic and Zorin, 1987; McKerrow et al., 2000; Metelkin et al., 2007; Milanovskiy, 1996; Nikishin metamorphic events at ca. 2.1–1.8 Ga (Gladkochub et al., 2006; Rosen, et al., 1996, 2010; Parfenov and Kuzmin, 2001; Pavlov, 1995; Prokopiev et al., 2008; 2003). Final stabilization of the SC took place at ca. 1.9–1.8 Ga when Reichow et al., 2002; Rudkevich, 1974; Sengör et al., 1993; Surkov and Zhero, 1981; large volumes of collisional granites intruded over a significant part Vernikovsky, 1996; Vyssotski et al., 2006; Wooden et al., 1993; Zhuravlev, 1986; of the craton, including the Tunguska province, the Angara fold belt, Zonenshain et al., 1990; Zorin et al., 2003. and the collisional zones between major terranes (Jahn et al., 1998; Nutman et al., 1992; Rosen et al., 1994; Zhao et al., 2002; Zonenshain et al., 1990). formed along the western margin of the SC by collision and accretion of terranes, including the Yenisey Ridge island arc and ophiolite belt 4.2.2. Main Meso- and Neoproterozoic events (1.7–0.65 Ga) complex (Vernikovsky et al., 2003). In the north, the collision of the Intracratonic rifting of the Paleoproterozoic protocontinent along the SC with the Taymyr island-arc terrane formed the Taymyr Baikalides. southern margins of Siberia (~1.73–1.68 Ga) (Gladkochub et al., 2006) The formation of the deep Yenisey–Khatanga trough began at the was followed by rifting both to the east and west of the Anabar Shield same time (Nikishin et al., 2010). (Milanovskiy, 1996). Post-rifting general subsidence of the craton took Extensive magmatic activity with widespread mafic dyke swarms place at around 1.6 Ga, with an overall thickening of the Riphean succes- (780–740 Ma) affected the southeastern and southern parts of the sions towards the western side of the craton (Pisarevsky and Natapov, craton (Gladkochub et al., 2006). Neoproterozoic intracratonic rifting 2003). was possibly related to the break-up of Rodinia (Zonenshain et al., The Baikalian orogeny (860–630 Ma) marks the beginning of a 1990). These processes led to rapid Late Riphean subsidence of the common evolution of the SC and the WSB. The Baikalian foldbelt was craton with the formation of ca. 1–4 km deep basins within the craton Y. Cherepanova et al. / Tectonophysics 609 (2013) 154–183 165 Fig. 6. Tectonic map of Siberia. Bold dotted lines—boundaries of the SC, WSB, and the Urals orogen. Thin black lines—terrane boundaries within the SC. The terranes are: I—Tunguska; II–IV —Anabar superterrane (II—Magan, III—Daldyn, IV—Markha); V–VI—Olenek superterrane (V—Hapchan; VI—Birekte); VII—Aldan–Stanovoy terrane. Basement rocks outcrop mostly in the Anabar and Aldan shields and in the Olenek uplift (the Birekte terrane). Data sources: Aplonov, 1995; Rosen, 2003; Sengör et al., 1993; Surkov and Smirnov, 2003. and 10–14 km deep basins along the cratonic margins (Sklyarov et al., of up to 2 km of salt in the inner parts of the craton (e.g. in the Irkutsk 2001). The only major areas that have not experienced the Riphean sub- amphitheater) (Khain, 2001; Milanovskiy, 1996). sidence are the Aldan–Stanovoy block, the Anabar shield, and the Nepa– In the WSB, long-lasting Vendian rifting affected the south-western Botuoba block. By ca. 650 Ma, the inner parts of the craton were again part of the basin and the area along the Urals. The active rifting ended by uplifted above sea level. the opening of the Khanty–Mansi Ocean between Siberia and Baltica. The Ordovician collision of Siberia and Baltica closed the Khanty– Mansi Ocean and initiated the Ural Ocean (Sengör et al., 1993). Wide 4.2.3. Major Vendian–Silurian events (650–400 Ma) spread subduction–accretion orogenic events took place in the south- Large-scale subsidence of the entire SC and, in particular, the central part of the WSB. Tunguska basin, was caused either by the Baikalian orogeny or by a thermal (post-rift) subsidence (Nikishin et al., 2010), although there is no evidence of a rift structure. Formation of passive margins along the 4.2.4. Major Devonian-Permian events (400–250 Ma) northern, western, and eastern margins of the SC resulted in deposition A large-scale Devonian thermal event formed (or reactivated) the 600 km long and wide Viluy rift system in the eastern part of the SC. The rifting was accompanied by substantial mafic and kimberlite Table 4 Correspondence between the widely used Russian Proterozoic stratigraphic scheme largely magmatism (Courtillot et al., 2010; Parfenov and Kuzmin, 2001), constrained by stratigraphic sequences of the Siberian craton (Semikhatov, 1991) and the with formation of the West Yakutian diamondiferous kimberlite prov- International Time Scale (Gradstein et al., 2012). ince at 367–345 Ma at the western end of the Viluy rift (Davis et al., Siberian stratigraphic scheme International Time Scale 1980; Ilupin et al., 1990; Rosen et al., 2005). Early-Carboniferous rifting has also affected the Olenek block. Extensive kimberlite magmatism Lower Riphean Calymmian Mesoproterozoic within the SC at 380–240 Ma formed major kimberlite fields, probably (1.65–1.35 Ga) (1.6–1.4 Ga) (1.60–1.00 Ga) Middle Riphean Ectasian along pre-existing lithospheric sutures (Davis et al., 1980; Ilupin et al., (1.35–1.05 Ga) (1.4–1.2 Ga) 1990). Stenian The southern parts of the Siberian craton were subject to large- (1.2–1.0 Ga) scale intraplate deformation, probably in response to the collision of Upper Riphean Tonian Neoproterozoic (1.05–0.65 Ga) (1.00–0.85 Ga) (1.00 Ga–542 Ma) the North China block with Siberia (Nikishin et al., 2010), and caused Baikalian (850–630 Ma) Cryogenian uplift of the Nepa–Botuoba swell. Significant subsidence of the (850–635 Ma) Tunguska basin in the Early-Middle Carboniferous. Vendian (650–542 Ma) Ediacaran Collisional tectonics at the northern, western and southern mar- (635–542 Ma) gins of the WSB, and at the southern margin of the SC was governed 166 Y. Cherepanova et al. / Tectonophysics 609 (2013) 154–183 by large-scale collision between the European, Kazakhstan and Sibe- 4.2.5. Major Triassic events (250–200 Ma) rian paleocontinents (Khain, 2001). In the north, the Kara terrane Large-scale rifting affected the axial part of the WSB at the initial collided with the northern margin of the Siberian paleocontinent stage of the Pangaea break-up (Kontorovich et al., 1975; Surkov and (Vernikovsky, 1996). In the west, the collisional events formed the Zhero, 1981); it formed a network of sublongitudinal rifts (Pavlov, Urals (e.g. Fokin et al., 2001; Nikishin et al., 1996). In the south, colli- 1995) and reactivated the Yenisey–Khatanga trough at the northern sion of the WSB with the Precambrian Kazakhstan blocks led to a margin of the SC (Aplonov, 1995). Major basin-scale rapid post-rift widespread emplacement of granitic batholiths (280–260 Ma) and compositional and/or thermal subsidence took place in the Jurassic to high-grade metamorphism in the south-central part of the WSB (Artyushkov and Baer, 1986). Flood basalt magmatism (Siberian (Surkov and Zhero, 1981). trap or Siberian LIP) took place in the WSB and the SC at 250 Ma. Fig. 7. Maps showing the depth to Moho (a), thickness of the crystalline (consolidated) basement (b), and thickness of sediments (c). The traps and the underlying high-velocity metasediments (Vp > 6.1 km/s) are considered to be a part of the crystalline crust. Map (c) is based only on the profiles listed in Table 3 and does not incorporate existing abundant industrial (but largely inaccessible) borehole data. For this reason map (c) may be less accurate and with a lower resolution than regional maps based on borehole data (in particular for the WSB and the Viluy basin). The map for the thickness of the crystalline basement (b) can be interpreted as showing the difference between the depth to the Moho (a) and thickness of the sediments (c). However, due to the aforementioned limitations of our database for the thickness of sediments, the map (b) was in practice constrained directly from seismic data and independently from the maps (a) and (c). All maps are produced by a nearest neighbor interpolation (chosen to preserve the true amplitudes) with a 2° × 2° interpolation radius (chosen to cover the “white spots”, see details in Section 3.4). Information for the Urals is not shown (see maps in Artemieva and Thybo, present volume). Dotted lines—tectonic bound- aries (see Figs. 1 and 6). Y. Cherepanova et al. / Tectonophysics 609 (2013) 154–183 167 Fig. 7 (continued). The estimates of volcanism duration range from 1 Ma to 50 Ma Nielsen and Thybo, 2009a,b; Rudkevich, 1974; Thybo and Nielsen, (Al'mukhamedov et al., 1998). The Siberian traps cover approximately 2009; Zorin et al., 2003). There is no evidence for a recent uplift of 40% of the Siberian craton with an average lava thickness of ∼3500 m the Siberian craton, except perhaps for the Anabar Shield (Bazanov (locally >6 km) (e.g. Fedorenko et al., 1996; Wooden et al., 1993) and et al., 1976). thinning to a few tens of meters towards the southeast (Vyssotski et al., 2006). A substantial part of the Siberian LIP is buried beneath 5. Results and discussion the West Siberian basin (where basalts are not limited to the major grabens) and the Yenisei–Khatanga trough. The areal extent of basalts Our compilation of crustal seismic models for Siberia forms the beneath the WSB is not well constrained (Reichow et al., 2002; basis for the new regional crustal model, SibCrust, illustrated in Zhuravlev, 1986). Basalts are also found in the Taimyr Peninsula and Figs. 7–13. Based on these maps, crustal cross-sections, and histograms may extend beneath the Kara Sea (Vyssotski et al., 2006). we next describe major features of the crustal structure of Siberia in A new pulse of kimberlite magmatism (245–240 Ma) affected the relation to tectonic setting, from the Archean blocks to Phanerozoic north of the SC along the eastern margin of the Anabar shield. The provinces. Rifted crust of the SC and the WSB is discussed separately presence of a belt of alkali-ultramafic intrusions with carbonatites in Sections 5.3 and 5.5. (younger than the Siberian traps) to the west of the Anabar Shield suggests some extensional tectonics, although there is no geological 5.1. Archean crust or geophysical evidence for Triassic rifting of the Siberian craton. 5.1.1. Crustal structure of the Siberian craton 4.2.6. Major Jurassic-Cretaceous events (200–65 Ma) The oldest terranes of the Siberian craton show significant variations Rapid post-rift subsidence of the WSB took place in the Middle in crustal thickness, from 32 to 54 km (Figs. 7a, 9a). The thinnest crust is Jurassic with the formation of a few km deep basin. Large scale subsi- associated with paleorifts, such as the Viluy rift (see Section 5.3). The dence of the Yenisey–Khatanga series of basin depressions (Baldin, thickest crust (>45 km) is observed in three parts of the craton. Two 2001) led to deposition of Jurassic-Palaeogene sediments with a blocks with thick crust correspond to the sublongitudinal suture be- total thickness ranging from 3 to 5 km in the basins to more than tween the Tunguska and Magan terranes of the SC, and to the Aldan 12 km on the shelf (Kushnir, 2006). Shield–Stanovoy terrane in the south-eastern part of the craton. The In the SC, rapid post-rift subsidence took place in the Viluy basin. third block includes the area south of the Anabar shield (ca. 65–67° N) Kimberlite volcanism at 170–140 Ma occurred along a possible Devonian with more than 50 km thick crust that extends further westwards into rift at the eastern part of the Olenek terrane (Milanovskiy, 1996). Colli- the Tunguska basin. There are no seismic profiles across the central sional tectonics shaped the eastern (the Verkhoyansk–Chukchi Orogeny) parts of the Anabar shield (Fig. 3), and one cannot exclude that the and southern (the Altai–Sayans orogeny) margins of the SC (Klets et al., crust may also be thick there. 2006; Metelkin et al., 2007; Milanovskiy, 1996; Parfenov and Kuzmin, A sublatitudinal block of thick Archean crust in the north-central 2001; Prokopiev et al., 2008; Zonenshain et al., 1990). part of the SC (ca. 65–67° N) has a Moho depth of > 45 km and locally reaches 54 km (due to the small size of these blocks, they are not well 4.2.7. Major Cenozoic events (b65 Ma) resolved in Fig. 7a). Around the Anabar shield, where the thickness of The collision of Eurasia with India caused a wide-spread uplift of sediments does not exceed 1–3 km (Fig. 7c), the consolidated base- the WSB as a response to far-field tectonic forces. The Eurasian colli- ment is generally thicker than 40–45 km (Fig. 7b). Many other parts sion is also responsible, at least in part, for the formation of the Baikal of the SC where the Moho depth is close to the global average, rift at about 30–35 Ma at the suture between the Siberian craton 40–44 km, have experienced crustal extension and/or thermal subsi- and the Amurian plate (Arkhipov, 1971; Logatchev and Zorin, 1987; dence in Proterozoic-Paleozoic time. 168 Y. Cherepanova et al. / Tectonophysics 609 (2013) 154–183 Fig. 8. Maps showing the average Vp seismic velocity in the entire crust (a) and in the crystalline basement only (b). Small-scale “bull's-eye” features are true anomalies observed in the seismic models. Average velocities are calculated by averaging travel times (not Vp) in the individual crustal layers, as Vp(aver) = ∑(hi) / ∑(hi / Vi), where hi is thickness of individual crustal layers and Vi is Vp velocity in these layers. For interpolation details see caption of Fig. 7. A block with exceptionally high basement Vp velocities (6.8–7.0 km/s) at around 80E/70N can be related to the source zone of the Siberian traps. The thickness of sediments in the SC varies from near-zero values The Tunguska basin is covered by a thick basalt sequence of the in areas of exposed basement (the Anabar shield and the Aldan Triassic traps which overlies older sediments and, in some places, is shield) through 3–4 km in most of the inner parts of the craton, to ex- covered by younger sediments. Note that in the SibCrust model, treme values of more than 15 km in the axial part of the Viluy rift. which is based on seismic velocity information, the traps and the un- Note that the map of thickness of sediments (Fig. 7c) is constrained derlying high-velocity metasediments (Vp > 6.1 km/s) are consid- only by published seismic models along the crustal-scale profiles, ered to be a part of the crystalline crust, given that the boundary whereas shallow industrial seismic models are unavailable to the P-wave velocity between the sediments and the basement rocks is authors. For this reason, the map cannot be used as a high resolution adopted as 5.8 km/s. For this reason, thickness of sediments in the constraint; we estimate the general accuracy to be ca. 1–2 km, but Tunguska basin incorporated into the SibCrust model is different with larger local uncertainty. from the values based on geological sections (e.g. Nikishin et al. Y. Cherepanova et al. / Tectonophysics 609 (2013) 154–183 169 Fig. 9. Histograms for variations in the depth to Moho (a), thicknesses of the crystalline basement (b), average Vp seismic velocity in the entire crust (c) and in the crystalline base- ment only (d). Regions north of 72N are excluded. Thick lines—best fitting Gaussian distributions. Vertical axes—number of the corresponding entries in the database, based on the point data digitized along the seismic profiles. For details on the digitizing strategy see Section 3.1. Note that statistics may be biased by locations of seismic profiles. (2010) report a ca. 8 km thickness of the Vendian-early Carbonifer- ca. 40–45 km in the south. The thickness of the sedimentary cover, ous deposits in the Tunguska basin). Besides, it also results in a in contrast, increases from north to south. As a result, in the north large thickness of the upper crust (ca. 15 km) in the Tunguska basin the thickness of the crystalline basement exceeds 40 km and the (Fig. 10a). crust has average velocity of >6.3 km/s, whereas in the southern do- Although, on the whole, the entire crustal structure of the SC is main the basement is thinner (ca. 35–40 km) and the average crustal highly heterogeneous, the Archean-Paleoproterozoic crust has a velocity is low (6.0–6.3 km/s) (compare Figs. 7c and 8a). The middle three-layer structure typical of stable continents (Meissner, 1986) crust is the thickest in the north-central parts of the Tunguska basin, with an approximately equal thicknesses of the three layers. Typical locally reaching ca. 20 km in thickness, whereas in the southern parts thicknesses of the upper (UC), middle (MC), and lower crust (LC) it generally thins to 5–10 km (Fig. 10a). The central-axial part of the are ca. 15 km, 15–20 km, and 10–20 km, respectively (Figs. 10–12). basin (in the area filled by Triassic trap basalts) is underlain by a The conclusion that the Archean crust is thinner than the Proterozoic high-velocity LMC (Fig. 10d) and a high-velocity upper mantle with crust because it has a reduced thickness of (or even lacks) a a Pn velocity of 8.3–8.5 km/s (Fig. 13). It is unclear if this anomaly high-velocity lower crustal layer (Durrheim and Mooney, 1991) is can be related to a speculative Riphean rift that extends from the not supported by seismic models for the Siberian craton, since the northernmost part of the Nepa–Botuoba swell towards the Viluy rift crust is thick and the lower crust beneath the Archean terranes of (Sokolov, 1989) and spatially correlates with the region with high the Siberian craton is present everywhere as a 10–20 km thick Pn velocities. layer. Furthermore, substantial parts of the Archean crust in Siberia Within the SC, a high-velocity LMC is also observed at the Protero- include a high-velocity lowermost crust LMC (Vp > 7.2 km/s) (see zoic suture zones of the Anabar province (including the areas of the profile BB′ in Fig. 12). Devonian kimberlite fields) (Fig. 10d). Given the spatial correlation As an example, we discuss the structure of the crust in the Tungu- of the LMC layer with areas affected by Proterozoic-to-Paleozoic ska basin. By crustal structure, the Tunguska basin can be divided magmatism, we speculate that the high-velocity layer at the base of into two domains with Moho depths of 45–50 km in the north and the crust could have been formed by magmatic underplating and its 170 Y. Cherepanova et al. / Tectonophysics 609 (2013) 154–183 age may be at least a few hundred millions years old (e.g. Clowes et al., Duchkov et al., 1987) which impede the metamorphic reaction from 2002; Korsman et al., 1999; Thybo and Artemieva, 2013–this volume). basalt to eclogite phase. Although the true rate of this reaction at Except for the rifted crust of the Viluy basin and the Yenisey–Khatanga low crustal temperatures typical for cratons and, in particular, at dry trough, regions where the LMC layer is present have a thick crust conditions, is unknown (Artyushkov, 1993), it is likely that a cold and (Fig. 7a). Physical conditions favorable for the preservation of a thick dry basaltic layer may remain metastable for geologically long time crust without being delaminated are probably provided by very (Artemieva and Meissner, 2012). low crustal temperatures as reflected in extremely low heat flow in Crustal blocks of the SC with thick crust have, as a rule, high aver- much of this region, 18–25 mW/m2 (Artemieva and Mooney, 2001; age crustal velocity (Fig. 8a). In particular, it exceeds 6.5 km/s in the Fig. 10. Thickness of crustal layers as defined by Vp velocities: (a) the upper crust (5.8 b Vp b 6.4 km/s), (b) the middle crust (6.4 b Vp b 6.8 km/s), (c) the lower crust (6.8 b Vp b 7.8 km/s), (d) the lowermost crust (7.2 b Vp b 7.8 km/s) (regions where the lowermost crust is absent are shaded gray; regions not covered by seismic data are left white). The traps and the underlying high-velocity metasediments (Vp > 6.1 km/s) are considered to be a part of the upper crust. In cases where seismic reflectors are observed from refraction-wide-angle reflection surveys, we adopted the crustal layers as identified in the original studies regardless of Vp velocity values in the layers. For interpolation details see caption to Fig. 7. Y. Cherepanova et al. / Tectonophysics 609 (2013) 154–183 171 Fig. 10 (continued). Anabar shield and around it, and in the Aldan–Stanovoy terrane. 8.8 km/s (Fig. 13). Both the extremely low and high velocities are Because of the presence of a thick lower crust in the Anabar province, unusual for the Archaean cratons. The worldwide average Pn velocity this crustal block has some of the highest average basement Vp veloc- for the shields and stable platforms is 8.13 km/s ± 0.19, whereas ities in the SC, 6.7–6.8 km/s (Fig. 8b). Note that only two seismic pro- values as low as 7.9–8.0 are typical of extended continental crust files cross the marginal parts of the Anabar shield and thus seismic and rifts (Christensen and Mooney, 1995). Relatively low Pn values information on its crustal structure remains incomplete. (b 8.05 km/s) are observed at the eastern part of the Yenisey–Khatanga trough as well as around the major Paleozoic kimberlite fields, next 5.1.2. Upper mantle Pn velocity in the Siberian craton to extremely high values of 8.7–8.8 km/s observed in the same area The velocity structure of the upper mantle in the Archean terranes (Suvorov et al., 2006). Since the global crustal models CRUST 5.1 and of Siberia is very heterogeneous with Pn values ranging from 7.9 to CRUST 2.0 assign a constant Pn velocity value of 8.2 km/s to the upper 172 Y. Cherepanova et al. / Tectonophysics 609 (2013) 154–183 models have not been reported from laboratory measurements on peridotites and therefore, they were for long considered either erroneous or caused by strong (extreme) anisotropy in the subcrustal mantle. How- ever, regional seismic data do not provide conclusive evidence for a significant azimuthal anisotropy in the Siberian craton, despite that the anomalous high Pn has been observed at different azimuths (Nielsen et al., 2002; Pavlenkova, 1996; Suvorov et al., 1999). Note that this indica- tion does not fully exclude anisotropy as the cause (Suvorov et al., 2006) and recent laboratory studies of Siberian peridotites indicate that a significant upper mantle anisotropy is possible in the Siberian upper mantle (Bascou et al., 2011; Kobussen et al., 2006). Laboratory measurements of seismic velocity have, so far, been carried out only on three peridotite and two eclogitic mantle rocks from the kimberlite province (Kobussen et al., 2006). The maximum measured Pn velocity is 8.6 km/s which is less than the highest veloc- ities reported in seismic models (8.8–8.9 km/s). These authors also calculate the theoretical velocities based on the measured mineral composition, grain size and crystal orientation in the samples, by which they find that velocities as high as 9.1 km/s are possible in dunites at the required temperature and pressure conditions. A recent laboratory study by Bascou et al. (2011) of the composition and grain size distribution in mantle xenoliths from the Udachnaya kimberlite pipe (the Daldyn terrane) leads to a similar conclusion. These authors suggest that coarse peridotites have much higher anisotropy than eclogites, in agreement with seismic data from other settings (Wang et al., 2005), and may yield high (Vp ≥ 8.8 km/s) P-wave velocities in the fast direction. Thus, both experimental studies on rock samples from the Siberian kimberlite province provide indication that the extremely high sub-Moho velocities (Vp > 8.7 km/s) reported from several seismic profiles in the Siberian craton may be better explained by strong anisotropy of coarse peridotites in a horizontally foliated mantle than by the presence of abundant eclogites. In particular, dunites and spinel harzburgites are proposed as the best candidates to explain the extremely large P-wave velocities in the sub-Moho mantle in the kimberlite fields of the Siberian craton (Bascou et al., 2011; Kobussen et al., 2006). However, it still remains to directly measure such extreme velocities in the laboratory. 5.1.3. Comparison with other cratons and global crustal models The new regional crustal model indicates that the Archean crust in Si- beria is strongly heterogeneous and, in general, much thicker than the global average for the cratonic crust (40–42 km, Mooney et al., 1998). Similar observations are not unique for Siberia and have been reported for the Archean crust of the Canadian Shield, India, and Southern Africa. Recent seismic studies in the Kalahari craton based on the high- resolution SASE data demonstrate that the structure of the crust is strongly heterogeneous with the Moho depth changing over short dis- Fig. 11. Histograms for variations in the thicknesses of the upper (a), middle (b), and tances from 31–34 km to 53–57 km (de Wit and Stankiewicz, lower (c) (Vp > 6.8 km/s) crust based on the point data digitized along the seismic 2013–this volume; Kwadiba et al., 2003; Nair et al., 2006; Nguuri et al., profiles. For details see caption of Fig. 9. Note that statistics may be biased by locations 2001; Nui and James, 2002; Youssof et al., 2012, 2013–this volume). In of seismic profiles. contrast, the pre-2000 seismic models indicated a relatively thin (ca. 37 km) and uniform crust in the Kaapvaal craton (e.g. de Wit et al., mantle of entire Siberia (both the WSB and the SC), the difference be- 1992; Durrheim and Mooney, 1991). Thin crust (30–35 km) is, howev- tween the true seismic Pn velocity and the value adopted in the global er, typical for the oldest portions of the West Australian craton, the crustal models ranges from −0.3 to +0.6 km/s (Fig. 14b). Pilbara craton and the northern Yilgarn craton (Kennett et al., 2011; The Siberian craton is unique in having the highest reported Pn Salmon et al., 2013–this volume). velocities of up to 8.8–8.9 km/s around kimberlite fields (Nielsen et It is worth mentioning that the seismic database that forms the al., 1999; Suvorov, 1993; Suvorov et al., 2006; Uarov, 1981) and basis for global statistics on the crustal structure for the Archean- 8.5 km/s in the axial zone of the Tunguska basin and within the Paleoproterozoic regions (Mooney et al., 1998), and therefore for Viluy basin (Pavlenkova et al., 2002). Until recently, based on the the global models CRUST 5.1 and CRUST 2.0, has been significantly early seismic studies, it was thought that these extremely high veloc- biased by an overweight of available crustal models for Southern ity values are characteristic of the whole area around the Siberian Africa and Western Australia reported in the pre-2000 studies, while kimberlite fields. Recent high-resolution seismic studies demonstrate these models may be non-representative globally or even regionally that they appear only in 100 km to >300 km wide segments intersected as in the case of the Kaapvaal. This results in significant differences in by regions with normal Pn velocity of 8.1–8.2 km/s (Suvorov et al., the depth to Moho and other crustal parameters between the true 2006). The extremely high P-velocity values interpreted in seismic crustal structure in Siberia and the global crustal models due to the Y. Cherepanova et al. / Tectonophysics 609 (2013) 154–183 173 Fig. 12. Crustal cross-sections based on the new crustal model SibCrust. The locations are chosen to cross the major tectonic structures which are well covered by high-quality seismic data. Vertical and horizontal dimensions are not to scale. 174 Y. Cherepanova et al. / Tectonophysics 609 (2013) 154–183 Fig. 13. Maps showing the upper mantle Pn velocities. Small-scale “bull's-eye” features represent true anomalies observed in the seismic models. For interpolation details see cap- tion to Fig. 7. assignment of parameters by tectonic analogy (Fig. 14a). Specifically, of island arc origin is well-documented for the Akitkan magmatic the true average Vp velocity in the crystalline basement is 0.2–0.3 km/ fold belt. Paleoproterozoic crust also marks the western margin of s higher than in the CRUST 5.1 and CRUST 2.0 models almost every- the SC, where it outcrops in the Yenisey Ridge. where in Siberia (both in the WSB and the SC), with an extreme differ- The Olenek terrane, especially its southern part, is poorly covered ence of ca. 0.4–0.6 km/s in the Tunguska basin and the northern part of by seismic profiles (Fig. 3). The available seismic models indicate the the WSB. Moho depth of ca. 43 km decreasing northwards into the extensional The Siberian craton is not the only Archean terrane with deep crust of the Lena–Anabar trough with a thick sedimentary cover Moho and thick lower crust. Thick crust has also been reported for the (Fig. 7). The thickness of the upper crust increases from b 5 km in Archean West Dharwar craton in southern India, where the crustal the north to 10–15 km in the south; the latter may be its original, Pro- thickness varies between 42 km and 60 km; the latter value is observed terozoic, thickness. The extended crust in the northeast has a thick beneath an exhumed granulite terrane, while a thickness of 50 km is (15 km) middle crust, 3–5 km thinner than the MC in the adjacent reported for the mid-Archean greenstone belt in the craton nucleus Archean Anabar block. Beneath the Berikte granite-greenstone massif, that has not been subject to any severe compressive deformation that forms the central block of the Olenek terrane, the thickness of (Mall et al., 2012). Similar to the Siberian craton, the region with thick the lower crust is 10–15 km and increases to 15–20 km beneath the Archean crust in India is characterized by low surface heat flow Khapchan belt in the west and beneath the northeastern part of (31 ± 4 mW/m2) (Gupta et al., 2003; Roy and Mareschal, 2011; Roy the Olenek High. Locally, at the suture zones between the Archean and Rao, 2003) and high lower crustal (7.4 km/s) and upper mantle and Archean-Proterozoic blocks, the lower crustal thickness increases Pn velocities (8.35 km/s) (Mall et al., 2012). Likewise, the presence to 20–25 km (Fig. 10). No high velocity LMC is observed in the of a thick crust (around 60 km thick) has been reported for the Paleoproterozoic crust of the Olenek province (profile CC′ in Fig. 12), Archean-Proterozoic suture of the Baltic shield at the boundary be- and the Pn velocity is normal, 8.1–8.2 km/s, slightly lower (8.1 km/s) tween the Kola–Karelian and the Svecofennian provinces (Korja et al., northwards in the extended crust (Fig. 13). 1993) in a region with low heat flow (Kukkonen, 1998). In the Canadian The Moho depth around the craton-scale Proterozoic sutures is not Shield, the 800 km long Lithoprobe's SAREX profile from east-central uniform and varies from 40 km in the northern parts of the craton near Alberta to central Montana revealed the presence of a 10–25 km thick the Yenisey–Khatanga trough to 54 km at two major suture zones, lower crustal layer with high velocities (7.5–7.9 km/s) beneath the where the deepest Moho in the Paleoproterozoic parts of the studied re- Archean Medicine Hat and Wyoming blocks (e.g. Clowes et al., 2002). gion is reported. The latter include the central part of the Billyah collision Crustal blocks with the thickest lower crust, interpreted as magmatic suture between the Anabar and the Olenek provinces (with an anoma- underplating caused by Paleoproterozoic tectonic events (for discussion lously thick LC, 31 km) and the suture between the Archean Daldyn see Thybo and Artemieva, present volume), correspond to the thickest granulite terrane and the Archean Markha granite–greenstone terrane. crust where the depth to Moho is up to 60 km. The crustal structure of the Paleoproterozoic Akitkan magmatic collisional belt (Fig. 6) has been significantly modified by Devonian 5.2. Paleoproterozoic crust extensional tectonics and the associated magmatism in the Vilyu rift, and possibly earlier by proposed Neoproterozoic rifting events. Paleoproterozoic crust forms the Olenek terrane at the northeast- The Moho depth is ca. 40 to 44 km and is significantly more shallow ern corner of the Siberian craton (Fig. 6). The principal suture zones than beneath the adjacent terranes (Fig. 7a). The Akitkan belt is clear- between the Archean domains of the SC also have Proterozoic age; ly marked by a sharp change in the thickness of the upper crust, they include Proterozoic granites without evidence for the presence which thins in a step-wise manner from 15 km in the adjacent of juvenile crust. On the other hand, juvenile Paleoproterozoic crust terranes to 10 km in the Akitkan belt (Fig. 10a). Similar to other Y. Cherepanova et al. / Tectonophysics 609 (2013) 154–183 175 Fig. 14. Map illustrating the differences between the new crustal model SibCrust and the CRUST 2.0 model (Bassin et al., 2000) for (a) the Moho depth and (b) the Pn velocity. Both crustal models are constrained by a 2° × 2° nearest neighbor interpolation with the same interpolation parameters. Regions not covered by the SibCrust model are not compared and are shown by gray color. Paleoproterozoic blocks, no LMC is observed in the belt, except for a On the whole, the Paleoproterozoic crust of the SC has a highly local anomaly probably associated with the Viluy rift. variable crustal thickness ranging between ca. 40 km and > 50 km The crustal structure of the Yenisey Ridge is similar to the Akitkan (Fig. 7). In comparison to the Archean crust of the SC, the sedimentary belt. The crustal thickness is 40–45 km, with a significantly thinned cover is much thicker, both UC and MC are thinner, the LC is usually upper and, particularly, middle crustal layers (5–10 km) which is in thicker, but no LMC is present (Figs. 10, 12), and the Pn values a strong contrast to the adjacent crustal blocks of the Siberian craton are similar to many other stable continental regions worldwide and the Baikalian foldbelt. In contrast, the lower crust in the entire (8.0–8.2 km/s) (Fig. 13). Yenisey Ridge and the adjacent areas is 20–25 km thick, but lacks a The presence of several buried Precambrian blocks under the sed- high-velocity LMC. The average basement velocity is ca. 6.8 km/s imentary cover of the WSB has been proposed based on potential field which is in contrast to the crust of the adjacent Tunguska basin studies (e.g. Aplonov, 1995; Bekzhanov et al., 1974). The largest pro- (b6.6 km/s). These crustal features are associated with the presence posed block, the (Meso-) Proterozoic Uvat–Khantymansiysk median of island arc and ophiolite complexes in the Yenisey Ridge. massif, is crossed by several high-quality seismic profiles (Fig. 3). 176 Y. Cherepanova et al. / Tectonophysics 609 (2013) 154–183 For this block, seismic models indicate a crustal thickness of velocity shows a mosaic pattern related to the complex geodynamic 35–40 km, 3–8 km of sediments, thick (10–15 km) upper crust, thin evolution of the region. (>10 km) lower crust, absence of the fast LMC layer, and as a conse- Most of the Hercynides of the WSB have been significantly modi- quence a pronounced minima in the average Vp velocity (6.4–6.5 km/s) fied by Triassic rifting and have a ca. 30–35 km thick crystalline and the thickness (ca. 32 km) of the crystalline crust (Fig. 7b). crust below a 2–5 km thick sedimentary cover with local deep grabens. The crustal structure of the rifted blocks is discussed in detail 5.3. Rifted crust of the Viluy basin in the next section. Structure of the (non-rifted) Hercynian crust along the Urals is very similar to the crust of the (Proterozoic) The central part of the Devonian Viluy rift system (located along Uvat–Khantymansiysk median massif: the crust is 35–40 km thick and the Proterozoic Akitkan magmatic belt) is formed by two major thickens to 45 km towards the Urals orogen, the sedimentary cover is branches (the Kempendyai and the Markha grabens) filled with 5 to 1–3 km thick, the upper and middle crust is thick (10–15 km), the 14 km alkaline basalts and sedimentary rocks; radially-arranged lower crust is thin (>10 km), and no high-velocity (Vp ~ 7.2–7.6 km/s) mafic to ultramafic dyke swarms are widely present at its periphery lowermost crustal layer is observed. As a consequence, the average (Parfenov and Kuzmin, 2001). The thickness of the crystalline crust basement Vp velocity is low (6.4–6.6 km/s). The Pn velocity is very beneath the axial part of the Viluy rift is 16–32 km, with the Moho heterogeneous and ranges from 7.9 km/s to, locally, 8.5 km/s. at 35 km depth in the axial part of the rift system, increasing to 45 km depth in the peripheral parts. The UC is the thinnest 5.5. Rifted crust of the WSB (0–5 km) and the Moho is the shallowest in the eastern part of the rift. Thin upper crust follows two major branches of the rift, which Triassic rifting has significantly affected the crustal structure of the are separated by a block with 10–15 km thick UC. Local thickening WSB, but to a different extent in different parts of the basin. The crust of the UC to 20 km (coincident with thinning of the middle crust to of the WSB is highly variable but, on the whole, significantly thicker almost zero) is observed between the two major rift branches near (40 km) than expected from comparison with other large Phanerozoic their junction. There is no further correlation between the inner sedimentary basins around the world (Roberts and Bally, 2012). Moho structure of the crust and the rift branches. The MC is ~ 10 km thick deepening (to 43–48 km) is observed mainly along the southern and LMS is thick (up to 10 km) beneath most of the rift, which may and central Urals and locally at the southern terminus of the Ob rift be related to underplating. The average Vp velocity in the crystalline (Fig. 7a). Two prominent Moho uplifts (33 km depth) are observed in basement of the Viluy basin is locally ca. 6.7–6.8 km/s and is higher the southern part of the basin and in the northern part of the Ob rift than in most of the SC (except for the Anabar block region) system. The belt of ca. 42 km thick crust between thin crust in the (Fig. 8b). Pn velocities beneath the Viluy basin are high (up to north and in the south of the WSB approximately corresponds to a 8.3–8.4 km/s) and are similar to those beneath the Tunguska basin. small (but the only) topographic anomaly of the WSB, the Sibirskie Uvaly high at ca. 62–63 N (Fig. 1). This high correlates with the belt of 5.4. Baikalian, Caledonian, and Hercynian fold belts of the WSB a relatively thick crystalline crust (35–37 km, Fig. 7b). In general, the thickness of the crystalline crust ranges from ca. 40 km in the southern Neoproterozoic crust (mostly formed during the Baikalian orogeny, blocks of the Baikalian and Caledonian orogeny (with local highs of ca. 850–650 Ma) forms the narrow belt between the WSB and the SC. 44 km) to ca. 25 km in local lows in the north (Fig. 7b). The crustal structure is better known in the northern part which is The Permian-Triassic Ob rift system in the center of the WSB is crossed by several seismic profiles (Fig. 3). Crustal thickness in the formed by several rifts, including the Koltogory–Urengoi, Khudosei, Siberian Neoproterozoic crust varies between 33 and 45 km, with Khudottei, Agan, Ust'Tym, Chuzik, and the Irtysh rifts and grabens thin crust (33–40 km) in the extended Pur–Taz basin in the north (Pavlov, 1995). Except for the Irtysh rift, all major rifts of the West and thick crust in the south (Fig. 7a). Crustal thickness decreases Siberian basin have a N–S or NE–SW orientation and each of them from ca. 35 km in the onshore Arctic part of the Baikalian belt to forms a separate graben—up to a few tens of kilometers wide and up 28–30 km towards the offshore area. Thickness of the sedimentary to a few hundreds of kilometers long, symmetrical in cross-section, cover is 0–3 km in the south and 6–16 km thick in the north. The and bounded by steep faults (e.g. Aplonov, 1995). Importantly, most upper crust of the Baikalian fold belt is usually thin (5–10 km, and of the rifts have been mapped mainly by potential field (gravity and almost absent in the Pur–Taz basin), whereas the lower crust is magnetic) methods (Allen et al., 2006). As a result, there are significant thick (> 20 km in some crustal blocks), and the presence of high- differences in the reported geometries and ages of the West Siberian velocity lowermost crust is common (Fig. 10). For example, in the graben system. Regional seismic profiles (mostly shallow exploration) Pur–Taz basin the lowermost crust has velocity of 7.4–7.6 km/s and show little evidence for any substantial rift system, except for the is 8–16 km thick. As a result, the Baikalian belt is marked by high Pur–Taz area and the Kara sea where large grabens are observed in average basement velocities (6.7–6.8 km/s), which are similar and shallow seismic models (Peterson and Clarke, 1991; Shipilov and only slightly lower than in the Yenisey Ridge (Fig. 8b). The upper Tarasov, 1998; Vyssotski et al., 2006). mantle Pn velocity beneath most of the Baikalian belt is between The present analysis indicates a complicated crustal structure of 7.9 and 8.1 km/s with a local high of 8.6 km/s in the central part of the Triassic rift system of the WSB. The top of the WSB basement is the belt constrained by one seismic profile only (Fig. 13). tilted towards the Arctic ocean; the thickness of the sedimentary The Paleozoic collisional crust includes two provinces in the cover increases from ca. 2–4 km in the south to more than 10 km at central-western and southern parts of the WSB, which were formed the Arctic coast and to 10–20 km in the Kara Sea basin. A deep during successive subduction and collision events, involving accretion basement depression (>12 km) is associated with the Khudosei rift. of island-arcs and micro-continents, regional magmatism and meta- There is a significant difference in the crustal structure between the morphism. Regions affected by the Caledonian orogeny (the southern northern and southern parts of the rift system with crustal thick- parts of the WSB) have a relatively thin crust (ca. 35–40 km) with a nesses of 35–40 km and 40–43 km, respectively. While the north- highly heterogeneous crustal structure which, in general, is similar axial part of the Ob rift system can be clearly traced in the crustal to those parts of the Baikalides which did not experience strong ex- structure by the presence of the high-velocity LMC and low Pn tension. Similar to the southern Baikalides, the upper crust is thinned velocity, the southern part of the Ob rift system and the smaller rift to less than 5 km, whereas the lower crust often exceeds 20–25 km in branches cannot be distinguished in the seismic models. The most thickness (Fig. 10). Consequentially, the average Vp-velocities in the extended crust is observed in the Pur–Gydan depression in the crystalline basement are also high, ca. 6.8 km/s (Fig. 8b). The Pn north of the WSB where the upper crust is absent and the high- Y. Cherepanova et al. / Tectonophysics 609 (2013) 154–183 177 velocity LMC is anomalously thick (12–17 km) in the central part 5.7. Statistical correlation of crustal parameters of the depression. The presence of seismically fast and dense underplating material may provide an efficient mechanism for basin We provide a statistical analysis of the crustal structure in order subsidence (Artyushkov and Baer, 1986), similar to other basins to examine potential correlations between the various parameters (Sandrin and Thybo, 2008). Extremely high average basement Vp and with crustal ages as well as to distinguish possible trends in velocity at the northern border between the SC and the WSB around crustal evolution. As expected, the average crustal velocity increases 80E/70N, at the triple junction of the rift system of the WSB and its with the thickness of the lower and lowermost crustal layers and extension into the Yenisey–Khatanga trough, indicate the presence decreases significantly with an increase in thickness of sediments of magmatic intrusions in the crust and basaltic underplating. We and the upper crustal layer (Fig. 15a). The thickness of sediments speculate that this anomaly can indicate the source zone of the is anticorrelated with the thickness of the crystalline crust and is Siberian LIP. on average ca. 6 km in regions with thin (ca. 35 km) crust and The presence of three relict paleo-oceanic basins within the WSB ca. 2–3 km in regions with ca. 50 km thick crust (Fig. 15b, top line). preserved since the closure of the Paleozoic Khanty–Mansi ocean, We find indication that all regions with a thick (>45 km) crust the Nadym (64–66N/78–80E), Surgut (60–62N/77–80E), and Nyurol have a thick (> 10 km) lower and lowermost crust (Fig. 15b). Such (56–59N, 86–89E) has been proposed by a number of authors. Basalts crust is more common in the SC rather than in the WSB (Fig. 9). An with composition similar to back-arc basins, sampled in few deep increase in the thickness of the lower(most) crust (crustal layers boreholes in these basins, were interpreted as ophiolites (Ignatova, with Vp > 6.8 km/s) usually correlates with an increase in the thick- 1966). The borehole data, together with a vertical change in sediment ness of the high-velocity (Vp > 7.2 km/s) LMC (Fig. 15c). The total composition, a thin crust with 8–12 km of sediments, and positive thickness of the upper and middle crust appears to be anticorrelated gravity anomalies were used to argue for an oceanic origin of these with the total thickness of the lower(most) crust. As a result, crustal basins (Aplonov, 1995; Demenitskaya, 1975; Ignatova, 1966; Peyve, blocks with very thick lower crust should not necessarily have a 1969). deep Moho. Thick LMC, such as observed in the Yenisey–Khatanga The present compilation allows for addressing the nature of the and the Ob rifts, is likely to be produced by magmatic underplating, crust (continental versus oceanic) in these areas. The Nadym basin as demonstrated at several active and extinct rift zones (Lyngsie et is crossed by profile BB′ (at the western end of the profile, Fig. 12), al., 2007; Thybo and Nielsen, 2009; Thybo et al., 2000; White et al., whereas the Surgut and Nyurol basins are crossed by profile FF′ (the 2008). Intrusion of basaltic magma into the entire crustal column south-central parts). The crustal structure of the Nadym basin is may also be responsible for the apparent UC thinning observed in clearly anomalous as compared to a normal three-layer continental these and other extensional structures (the Viluy rift) as well as in crust, given that the upper granitic crust is thinned to the near-zero the Paleozoic orogens: additions of high-velocity material (e.g. sills values. The origin of the crust in the other two proposed relict basins and dikes, not necessarily distinguishable seismically but often mag- is more speculative; the upper crust beneath both of them is thinned netically (Lyngsie and Thybo, 2007)) will increase seismic velocities but still clearly present (Fig. 10a). The zone of increased average base- and, as a consequence, the upper crustal layers may acquire seismic ment P-velocities (Fig. 8b) does not fully correlate with the chain of velocities typical of the middle crust. This mechanism provides the proposed relic paleo-oceanic basins. Although seismic models an alternative explanation for the (true or apparent) absence of the apparently favor interpretation of the crustal structure of, at least upper crust in the Nadym, Surgut, and Nyurol basins, interpreted by the Nadym basin, as oceanic, we consider it a premature conclusion some authors as relict oceanic blocks. since more data (including deep drill data reaching the basement) Moho depth is generally smaller in the WSB than the SC (Fig. 9a), are needed to prove the hypothesis. as expected for extended basins, and there is a significant difference The upper mantle Pn velocity in most of the WSB is surprisingly in thickness of crystalline crust between the two regions, with peak high, around 8.2 km/s, with local highs (8.3–8.4 km/s) along the at ca. 32–34 km in the WSB and at ca. 38–40 km in the SC (Fig. 9b). southern and northern parts of the Urals. An isolated high-Pn velocity The average seismic velocity in the entire crust approximately follows anomaly (8.4 km/s) in the center of the WSB seems to be unrelated to the same distribution for the Siberian craton and the West Siberian the major rift systems but rather with the Surgut basin. A belt of basin and has a strong bimodal pattern in the WSB with peaks at ca. low-Pn velocity (≤8.05 km/s) is observed in the northern and east- 5.4 km/s in deep sedimentary basins and at ca. 6.2 km/s in southern ern parts of the WSB (Fig. 13); it spatially correlates with a belt of parts of the basin (Fig. 9c). The same peaks are also observed in the high (> 6.7 km/s) average basement Vp velocities (Fig. 8b). Low Pn SC, where additionally the peak at ca. 6.45 km/s is typical for the velocities under the axial part of the Ob rift system may be indicative shield regions. Considering the thick sedimentary cover with low ve- of presently high upper mantle temperature. locity in the basin, it may be surprising that average crustal velocities are somewhat similar in the WSB and the SC. However, there is a ten- dency that the average velocity of the crystalline crust is higher in the 5.6. Crustal reflectivity basin than in the cratonic parts (Fig. 9d) and compensates for the low velocities of the sedimentary sequences. This difference in average Increased lower crustal reflectivity has been observed at ten seis- basement velocity is probably caused by a relatively higher degree mic profiles included into the SibCrust model (note that some profiles of intrusion of mafic melts into the rifted crust and underplating in do not provide information on crustal reflectivity). Regions with strongly extended areas of the WSB, although similar patterns may observed lower crustal reflectivity include the Yenisey–Khatanga be expected for the extended crust within the craton. trough, the Lena–Anabar trough, the Tunguska basin, the Mirnensk– The middle crust of the WSB and SC is essentially equally thick, Aihal High (Fig. 1), the southern flank of the Viluy basin, the northern whereas in the WSB the upper crust is thinner but the lower crust part of the WSB, and the Norilsk region in the north-western corner is thicker than in the SC (Fig. 11). Thickening of the lower crust in of the SC. All regions with observed lower crustal reflectivity have the WSB may indicate magmatic intrusions into the crust and crustal undergone major extension or have been significantly affected by underplating, which causes increased average basement velocity trap magmatism, suggesting compositional layering as origin of (Fig. 9d). crustal reflectivity. In contrast, the lower crust of the Precambrian We do not observe any direct correlation between the upper man- shields (Aldan and Anabar), when crossed by the same profiles, is tle Pn velocity and the overall crustal structure. However, the SibCrust nonreflective. Moho reflectivity is confidently present at all of the model suggests some negative correlation between Pn velocity and seismic profiles. the average velocity of consolidated crust (Fig. 15d). This would 178 Y. Cherepanova et al. / Tectonophysics 609 (2013) 154–183 Fig. 15. Relationships between various crustal parameters based on the SibCrust seismic model: thicknesses of the crustal layers plotted against the average Vp velocity of the consolidated crust (a), against the Moho depth (b), against the average velocity of the crust including the sedimentary sequences (c), and against the upper mantle Pn velocity (d). Vertical and horizontal bars show standard deviation of the parameters based on the point data along the seismic profiles. favor olivine anisotropy as the origin of the very high Pn velocity, database is based solely on seismic results, it is suitable for applica- whereas tectono-magmatic activity with high upper mantle tempera- tion to the entire multitude of geophysical methods. tures (and, in some cases, with partial melting) is probably responsi- ble for low Pn velocity and magmatic underplating, which eventually 1. Our analysis reveals highly heterogeneous regional crustal struc- leads to the formation of a LMC. ture at all scales. A very straightforward correlation is observed We do not observe significant correlation between the crustal between tectonic setting and crustal (Vp) velocity structure. structure and the geological age of the crust (Fig. 16). There may be a (a) Stable platform regions (most of the SC) have a ca. 45 km thick tendency towards a thicker Archean than younger crust, and a possible basement with a 0–3 km thick sedimentary cover. The crystal- decrease of depth to Moho with the age of the crust (Fig. 16a). However, line basement is formed by three characteristic crustal layers this pattern is not systematically observed, and there are numerous with approximately the same (ca. 15 km) thickness. The ab- small scale exceptions. Furthermore, all data points for the Paleoarchean sence of a high-velocity (Vp ~ 7.2–7.6 km/s) lowermost crustal are from the Aldan Foldbelt, which is subject to significant compression layer is characteristic of stable platform regions in Siberia. We during the Phanerozoic. For this reason, the crustal structure of the do not find unequivocal seismic evidence for the presence of oldest crustal terrane in Siberia may be non-representative of the proposed relic paleo-oceanic crustal blocks within the WSB. Early Archean crust. The only robust trends are a general decrease of (b) Regions of extended crust in the SC and the WSB (mostly with the basement thickness from the Precambrian to the Phanerozoic Paleozoic-Mesozoic tectono-thermal ages) have an 18–40 km crust (Fig. 16b), and a pronounced thickening of the lower crust in thick basement with an up to 10–20 km thick sedimentary the Paleoproterozoic-Neoarchean orogens (Yenisey Ridge) and the cover. Decrease in the basement thickness is largely achieved Baikalides (Fig. 16e). through thinning (sometimes to near-zero) of the upper crustal layer. A high-velocity (Vp ~ 7.2–7.6 km/s) lowermost crustal layer (LMC), indicative of crustal underplating, is observed in 6. Conclusions the Yenisey–Khatanga and the Ob rifts (basins), but is absent in the Viluy basin of the SC. We present a new compilation, SibCrust, of the seismic structure (c) Regions affected by the Baikalian and the Caledonian orogenies of the crust of Siberia (the Siberian craton and the West Siberian (the eastern and southern parts of the WSB) have a b5 km Basin) based on all available regional and local controlled-source seis- thick UC and 15–25 km thick LC, and consequentially, high av- mic models and some receiver functions. The quality and reliability of erage Vp-velocities in the crystalline crust (ca. 6.8 km/s). A low- the compiled seismic models are assessed in the database. Since the ermost crustal layer (LMC) with very high velocity is common. Y. Cherepanova et al. / Tectonophysics 609 (2013) 154–183 179 Fig. 16. Age dependence of various crustal parameters in Siberia based on the SibCrust seismic model: depth to Moho (a), thicknesses of the crystalline basement (b), upper crust (c), middle crust (d), and lower crust (Vp > 6.8 km/s) (e). The tectono-thermal age of the crust is based on data from Artemieva (2006). Vertical bars show standard deviation. The average values are calculated on a 1° × 1° grid, which corresponds to the resolution of the TC1 model. Note that all data points for the age 3.4 Ga are from the Aldan Foldbelt, while all data points for the age 2.55 Ga are from the Angara Foldbelt. (d) Regions affected by the Hercynian orogeny (the WSB), but out- basins, the Angara–Lena structural terrace (north of the Baikal side of the major rift system, have a ca. 30–35 km thick crystal- Rift), and the area around the Pai–Khoi ridge at the NW of the line crust. The upper and lower crust are normal (10–15 km), WSB. (iv) Abnormally high (8.6–8.9 km/s) Pn-velocities, of a and no high-velocity (Vp ~ 7.2–7.6 km/s) lowermost crustal possible compositional–anisotropic origin, are reported for the layer is observed. Average Vp-velocities in the crystalline diamondiferous kimberlite province of the SC. crust are normal (ca. 6.4–6.6 km/s). Similar crustal structure 3. The average Moho depth is similar in the SC and the WSB is typical for the suspected Proterozoic Uvat–Khantymansiysk (43.5 ± 3.7 km and 40.6 ± 3.7 km, respectively). The average median massif. thickness of the crystalline crust is, however, notably thicker 2. The Pn-velocity structure of the uppermost mantle is as variable in the SC than in the WSB, with the peaks at ca. 40 km and as the velocity structure of the crust. (i) Reduced (7.8–8.0 km/s) 32–34 km, respectively. The average velocity for the whole Pn-velocities are typical for the Baikalian and Caledonian blocks, crust of Siberia is ca. 5.95–6.0 km/s, but with the high proportion and are also observed in regions of Paleozoic-Mesozoic crustal of regions with velocities > 6 km/s. The average crustal velocity extension (Ob and Yenisey–Khatanga rifts) and around major has a bimodal distribution in the WSB and has an additional Siberian kimberlite provinces next to areas with extremely high high-velocity (ca. 6.4 km/s) peak in the shields of the SC. For Pn velocity. (ii) “Normal” (8.0–8.2 km/s) Pn-velocities are typical the crystalline crust, the average velocity is 6.65 km/s with of most of the SC and the WSB. (iii) High (8.3–8.4 km/s, locally up extreme high velocities (6.9 km/s) below the most rifted north- to 8.5 km/s) Pn-velocities are reported for the Vilyu and Tunguska ern part of the WSB, which may be caused by the presence of 180 Y. Cherepanova et al. / Tectonophysics 609 (2013) 154–183 magmatic intrusions and underplated material, possible associated Bradley, D.C., 2008. Passive margins through earth history. Earth-Science Reviews 91, 1–26. with the source zone of the Siberian LIP. Braitenberg, C., Ebbing, J., 2009. New insights into the basement structure of the West Siberian Basin from forward and inverse modeling of GRACE satellite gravity data. Our new compilation of the crustal structure of the West Siberian Journal of Geophysical Research 114 (B06402), 15. Brown, D., Juhlin, C., Alvarez-Marro, .N.J., Pe Rez-Estaun, A., Oslianski, A., 1998. The Basin and the Siberian craton, SibCrust, can be downloaded from crustal-scale structure and geodynamic evolution of an arc–continent collision [www.lithosphere.info]. zone in the Southern Urals, Russia. Tectonics 2, 158–170. Brown, D., Juhlin, C., Tryggvason, A., et al., 2002. The crustal architecture of the Southern and Middle Urals from the URSEIS, ESRU, and Alapaev reflection seismic Acknowledgments profiles. In: Brown, D., Juhlin, C., Puchkov, V. (Eds.), Mountain Building in the Uralides: Pangea to Present: Geophysical Monographs, American Geophysical Several scientific libraries of the Russian Academy of Sciences, as well Union, 132, pp. 33–48. Brown, D., Juhlin, C., Ayala, C., Tryggvason, A., Bea, F., Alvarez-Marron, J., Carbonell, R., as the USGS (Menlo Park, CA) library have provided invaluable support Seward, D., Glasmacher, U., Puchkov, V., Perez-Estaun, A., 2008. Mountain building in collecting original seismic publications. The authors acknowledge processes during continent–continent collision in the Uralides. Earth-Science Re- W.D. Mooney (USGS, Menlo Park) for provoking this study; E.D. Milstein views 89 (3–4), 177–195. Bulin, N.K., 1988. Deep structure of the east part of the Siberian platform from seismic and Y.M. Erinchek (both VSEGEI, Russia) are gratefully acknowledged data. Sovetskaya Geologiya 5, 58–66. for informative discussions on the regional seismic data coverage in Bulin, N.K., 2003. Lateral velocity heterogeneity of the low part of the earth's crust for Siberia. Constructive editorial and review comments helped to sharpen the Siberian territory. Regional Geology and Metallogeny 17, 66–73. Bulin, N.K., Egorkin, A.V., 1994. Multiwaves deep seismic sounding in fine-scale in fine- the presentation. YC and ZC funding through the grants of FNU-10- scale investigation studies. Otechestvennaya Geologiya 4, 43–50. 083081 (Denmark) and the Faculty of Science, University of Copenhagen Carbonell, R., et al., 1996. Crustal root beneath the Urals: wide-angle seismic evidence. to IMA is gratefully acknowledged. Handling Editor was Fabrizio Storti. Science 274 (5285), 222–224. Carbonell, R., Gallart, J., Perez-Estaun, A., Diaz, J., Kashubin, S., Mechie, J., Wenzel, F., Knapp, J., 2000. Seismic wide-angle constraints on the crust of the southern Urals. References Journal of Geophysical Research 105 (B6). http://dx.doi.org/10.1029/2000JB900048 (issn: 0148-0227). Al'mukhamedov, A.I., Medvedev, A.Ya., Kirda, N.P., Baturina, T.P., 1998. The Triassic Christensen, N.I., Mooney, W.D., 1995. Seismic velocity structure and composition volcanogenic complex of the Western Siberia. Doklady Earth Sciences 362 (7), of the continental crust: a global view. Journal of Geophysical Research 100 (B6), 931–935. 9761–9788. Allen, M.B., Anderson, L., Searle, R.C., Buslov, M., 2006. Oblique rift geometry of the Closs, H., Behnke, C., 1963. Progress in the use of seismic methods in the exploration of West Siberian basin: tectonic setting for the Siberian flood basalts. Journal of the the Earth's crust. International Geology Review 5 (8), 945–956. Geological Society of London 163, 901–904. Clowes, R.M., Burianyk, M.J.A., Gorman, A.R., et al., 2002. Crustal velocity structure Amante, C., Eakins, B.W., 2009. ETOPO1 1 Arc-Minute Global Relief Model: Procedures. Data from SAREX, the Southern Alberta Refraction Experiment. Canadian Journal of Sources and Analysis. NOAA Technical Memorandum NESDIS NGDC-24 (19 pp., March). Earth Sciences 39, 351–373. http://dx.doi.org/10.1139/E01-070. Aplonov, S.V., 1988. An aborted Triassic ocean in West Siberia. Tectonics 7, 1103–1122. Courtillot, V., Kravchinsky, V.A., Quidelleur, X., Renne, P.R., Gladkochub, D.P., 2010. Aplonov, S.V., 1995. The tectonic evolution of West Siberia: an attempt at a geophysical Preliminary dating of the Viluy traps (Eastern Siberia): eruption at the time of analysis. Tectonophysics 245, 61–84. Late Devonian extinction events? Earth and Planetary Science Letters 300, Arkhipov, S.A., 1971. Quaternary Period in the West Siberia. Nauka, Novosibirsk 239–245. (in Russian). Davis, G.L., Sobolev, N.V., Kharkiv, A.D., 1980. New data on ages of Yakutian kimberlites Artemieva, I.M., 2006. Global 1 deg × 1 deg thermal model TC1 for the continental litho- after uranium–lead zircon method. Doklady Akademii Nauk SSSR 254 (1), 175–179 sphere: implications for lithosphere secular evolution. Tectonophysics 416, 245–277. (in Russian). Artemieva, I.M., Meissner, R., 2012. Crustal thickness controlled by plate tectonics: a De Wit, M., Stankiewicz, J., 2013. 3.5 billion years of reshaped Moho, southern Africa. review of crust–mantle interaction processes illustrated by European examples. Tectonophysics 609, 675–689 (this volume). Tectonophysics 530–531, 18–49. De Wit, M.J., de Ronde, C.E.J., Tredoux, M., Roering, C., Hart, R.J., Armstrong, R.A., Green, Artemieva, I.M., Mooney, W.D., 2001. Thermal structure and evolution of Precambrian R.W.E., Peberdy, E., Hart, R.A., 1992. Formation of an Archaean continent. Nature lithosphere: a global study. Journal of Geophysical Research 106, 16387–16414. 357, 553–562. Artemieva, I.M., Thybo, H., 2013. EUNAseis: A seismic model for Moho and crustal Demenitskaya, R.M., 1975. The Earth's Crust and Mantle. Nedra, Moscow (in Russian). structure in Europe, Greenland, and the North Atlantic region. Tectonophysics Downes, H., 1993. The nature of the lower continental crust of Europe: petrological and 609, 97–153 (this volume). geochemical evidence from xenoliths. Physics of the Earth and Planetary Interiors Artemieva, I.M., Thybo, H., Kaban, M.K., 2006. Deep Europe today: geophysical synthesis of 79, 195–218. the upper mantle structure and lithospheric processes. In: Gee, D., Stephenson, R. Drachev, S.S., Savostin, L.A., Groshev, V.G., Bruni, I.E., 1998. Structure and geology of the (Eds.), European Lithosphere DynamicsGeological Society London Memoirs 32, 11–41. continental shelf of the Laptev Sea, Eastern Russian Arctic. Tectonophysics 298, Artyushkov, E.V., 1993. Physical Geotectonics. Nauka, Moscow (in Russian). 357–393. Artyushkov, E.V., Baer, M.A., 1986. Mechanism of formation of hydrocarbon basins—the Drachev, S.S., Malyshev, N.A., Nikishin, A.M., 2010. Tectonic history and petroleum West Siberia, Volga–Urals, Timan–Pechora basins and the Permian basin of Texas. geology of the Russian Arctic Shelves: an overview. Geological Society, London, Tectonophysics 122 (3–4), 247–281. Petroleum Geology Conference series, 7, pp. 591–619. Avetisov, G.P., Golubkov, V.S., 1984. Deep structure of the central part of the Norilsk ore Druzhinin, V.S., Egorkin, A.V., Kashubin, S.N., 1990. New data on the deep structure of region from the MOVZ-DSS data. Sovetskaya Geologiya 10, 86–94. the Urals and adjacent regions from DSS studies. Doklady Akademii Nauk SSSR Avetisov, G.P., Golubkov, V.S., 1996. Deep structure of the Norilsk area by the results 315 (5), 1086–1090 (in Russian). of DSS. Geological and geophysical characteristics of the lithosphere of the Arctic Druzhinin, V.S., Kashubin, S.N., Kashubina, T.V., Kolmogorova, V.A., Parygin, G.V., region, St.- Petersburg, pp. 183–197. Rybalka, A.V., Tiunova, A.M., 1997. The main features of the interface between Baldin, V.A., 2001. Geological structure and petroleum prospects of Upper Jurassic– the crust and the upper mantle in the Middle Urals (in the vicinity of the deep Neocomian sediments in the western portion of the Yenisei–Khatanga trough. drillhole SG-4). Tectonophysics 269, 259–267. Cand. Sci. (Geol._Mineral.).VNIGNI, Moscow (Dissertation). Duchkov, A.D., Lysak, S.V., Balobaev, V.T., 1987. Thermal Field of Siberia Interiors. Bascou, J., Doucet, L.S., Saumet, S., Ionov, D.A., Ashepkov, I.V., Golovin, A.V., 2011. Nauka, Novosibirsk (In Russian). Seismic velocities, anisotropy and deformation in Siberian cratonic mantle: EBSD Durrheim, R.J., Mooney, W.D., 1991. Archean and proterozoic crustal evolution—evidence data on xenoliths from the Udachnaya kimberlite. Earth and Planetary Science from crustal seismology. Geology 19 (6), 606–609. Letters 304 (1–2), 71–84. Echtler, H.P., Stiller, M., Steinhoff, F., et al., 1996. Preserved collisional crustal structure Bassin, C., Laske, G., Masters, G., 2000. The current limits of resolution for surface wave of the Southern Urals revealed by vibroseis profiling. Science 274, 224–226. tomography in North America. Eos, Transactions of the American Geophysical Egorkin, A.V., 1991. Crustal structure according to seismic transects. Deep Structure of Union 81, F897. the Territory of the USSR. Moscow, pp. 118–134 (in Russian). Bazanov, E.A., Pritula, Yu.A., Zabalueva, V.V., 1976. Development of main structures of Egorkin, A.V., 1999. Study on the mantle at the super long geotraverses. Physics of the the Siberian platform: history and dynamics. Tectonophysics 36 (1–3), 289–300. Earth and Planetary Interiors 7 (8), 114–130. Bekzhanov, G.R., Lyubetskiy, V.N., Polevaya, L.D., 1974. Characteristics of tectonic Egorkin, A.V., Zuganov, S.K., Pavlenkova, N.A., Chernyshev, N.M., 1987. Results of lithospheric development of Kazakhstan (from geophysical data). International Geology Review studies from long-range profiles in Siberia. Tectonophysics 140 (1), 29–47. 16 (8), 953–962. Egorkin (Yegorkin), Pavlenkova, N.I., Kvyatkovskaya, G.N., 1992. Crustal structure along Beloussov, V.V., Pavlenkova, N.I., Kvyatovskaya, G.N., 1991. Deep Structure of the USSR seismic geotraverses. International Geology Review 34 (4), 345–444. Territory. Nauka, Moscow. Egorov, A.S., Gur'ev, G.A., Zotova, I.F., Kirikov, D.A., Movchan, I.B., Chistyakov, D.N., Belyaevsky, N.A., 1973. The Structure of the Crust and Upper Mantle of the Seas and 2000. Geology–geophysics and geodynamic model of the lithosphere along the Oceans. NAUKA, Moscow. line of geotraverse Rubcovsk–Nevelskii. Regional Geology and Metallogeny 10, Bochkarev, V.S., Brekhuntsov, A.M., Deshchenya, N.P., 2003. The Paleozoic and Triassic 143–151. evolution of West Siberia (data of comprehensive studies). Russian Geology and Erinchek, Yu.M., 2009. Crustal Structure of the Territory of Russia. VSEGEI Compilation, Geophysics 44 (1–2), 120–143. St. Petersburg (Personal communication). Y. Cherepanova et al. / Tectonophysics 609 (2013) 154–183 181 Fedorenko, V.A., Lightfoot, P.C., Naldrett, A.J., Czamanske, G.K., Hawkesworth, C.J., Kunin, N.Ya., Ioganson, L.I., 1984. Geophysical Characteristics and Structure of the Crust Wooden, J.L., Ebel, D.S., 1996. Petrogenesis of the Siberian flood-basalt sequence of Western Siberia. Nauka, Moscow. at Noril'sk, north central Siberia. International Geology Review 38, 99–135. Kushnir, D.G., 2006. Paleozoic swells in the north of central and western Siberia. Fokin, P.A., Nikishin, A.M., Ziegler, P.A., 2001. Peri-Uralian and Peri-Palaeo-Tethyan rift Geotectonics 40 (5), 399–404. systems of the East European Craton. Memoires du Museum National d'Histoire Kwadiba, M.T.O.G., Wright, C., Kgaswane, E.M., Simon, R.E., Nguuri, T.K., 2003. Pn Naturelle 186, 347–368. arrivals and lateral variations of Moho geometry beneath the Kaapvaal craton. In: Friberg, M., Juhlin, C., Roth, J., Horstmeyer, H., Rybalka, A., Bliznetsov, M., 2001. Jones, A.G., Carlson, R.W., Grutter, H. (Eds.), Lithos Special Issue: The Slave– Europrobe seismic reflection profiling across the eastern Middle Urals and West Kaapvaal Workshop: A Tale of Two Cratons, 71, pp. 393–411. Siberian Basin. Terra Nova 14, 7–13. Logatchev, N.A., Zorin, Y.A., 1987. Evidence and cause of the two-stage development of Gao, S., Davis, P.M., Liu, H., Slack, P.D., Zorin, Y.A., Logatchev, N.A., Kogan, M., Burkholder, the Baikal rift. Tectonophysics 143, 225–234. P.D., Meyer, R.P., 1994. Asymmetric upward of the asthenosphere beneath the Baikal Lyngsie, S.B., Thybo, H., 2007. A new tectonic model for the Laurentia–Avalonia–Baltica rift zone, Siberia. Journal of Geophysical Research 99, 15319–15330. sutures in the North Sea: a case study along MONA LISA profile 3. Tectonophysics Gladkochub, D., Pisarevsky, S.A., Donskaya, T., Natapov, L.M., Mazukabzov, A., Stanevich, 429, 201–227. A., Slkyarov, E., 2006. Siberian craton and its evolution in terms of Rodinia hypothesis. Lyngsie, S.B., Thybo, H., Lang, R., 2007. Rifting and lower crustal reflectivity: a case Episodes 29 (3), 169–174. study of the intracratonic Dniepr–Donets rift zone, Ukraine. Journal of Geophysical Grachev, A., Kaban, M.K., 2006. Factors responsible for the high position of the Siberian Research 112, B12402. platform. Izvestiya—Physics of the Solid Earth 42 (12), 987–998. Macelwane, J.B., 1951. Evidence on the interior of the earth derived from seismic Gradstein, F.M., Ogg, J.G., Schmitz, M.D., Ogg, G.M., 2012. The Geologic Time Scale 2012. studies, In: Gutenberg, B. (Ed.), Internal Constitution of the Earth, 2nd ed. Dover Elsevier (1176 pp.). Publ., Inc., pp. 227–304 (Chapter X). Griffin, W.L., Ryan, C.G., Kaminsky, F.V., O'Reilly, S.Y., Natapov, L.M., Win, T.T., Kinny, Mall, D.M., Chandrakala, K., Kumar, A.S., Sarkar, D., 2012. Sub-crustal LVZ below P.D., Ilupin, I.P., 1999. The Siberian lithosphere traverse: mantle terranes and the Dharwar craton, India: an evidence for mantle metasomatism and tectonothermal assembly of the Siberian craton. Tectonophysics 310, 1–35. activity in the Archean crust. Precambrian Research 208, 161–173. Gupta, S., Rai, S.S., Prakasam, K.S., Srinagesh, D., Bansal, B.K., Chadha, R.K., Priestley, K., McKerrow, W.S., Mac Niocaill, C., Dewey, J.F., 2000. The Caledonian Orogeny redefined. Gaur, V.K., 2003. The nature of the crust in southern India: implications for Journal of the Geological Society 157, 1149–1154. Precambrian crustal evolution. Geophysical Research Letters 30 (8), 1419. Mechie, J., Egorkin, A.V., Fuchs, K., Ryberg, T., Solodilov, L.N., Wenzel, F., 1993. P-wave Ignatova, V.F., 1966. On a possible oceanic crust in the central parts of the intracontinental mantle velocity structure beneath northern Eurasia from long-range recordings depressions, such as West Siberia. In: Kosygin, Yu.A. (Ed.), Geological Problems of the along the profile Quartz. Physics of the Earth and Planetary Interiors 79, 269–286. Pacific Belt. Vladivostok, pp. 45–50 (in Russian). Meissner, R., 1986. The Continental Crust. Academic Press, Orlando. Ilupin, I.P., Vaganov, V.I., Prokpuck, B.I., 1990. Kimberlites. Nedra, Moscow (in Russian). Metelkin, D.V., Gordienko, I.V., Klimuk, V.S., 2007. Paleomagnetism of Upper Jurassic Ivanova, N.M., Sakoulina, T.S., Roslov, Y.V., 2006. Deep seismic investigation across the basalts in Transbaikalia: new data on the time of closing the Mongol–Okhotsk Barents–Kara region and Novozemelskiy Fold Belt (Arctic Shelf). Tectonophysics Ocean and beginning of Mesozoic intraplate tectonics in central Asia. Russian 420, 123–140. Geology and Geophysics 48 (10), 1061–1073. Ivanova, N.M., Sakulina, T.S., Belyaev, I.V., et al., 2011. Depth model of the Barents and Kara Milanovskiy, E.E., 1996. Geologiya Rossii i blizhnego zarubezh'ya (Severnaya Evraziya). seas according to geophysical surveys results. In: Spencer, A.M., Embry, A.F., Gautier, Geology of Russia and Near Abroad, North Eurasia. Izd. Mosc. Univ., Moscow. D.L., Stoupakova, A.V., Sørensen, K. (Eds.), Arctic Petroleum GeologyGeological Society Mooney, W.D., Detweiler, S., 2005. Global Seismic Profiles Catalogue (GSC). USGS, London Memoirs 35, 209–221. http://dx.doi.org/10.1144/M35.12 (Chapter 12). Menlo Park, CA (Personal communication). Jahn, B.-M., Gruan, G., Capdevila, R., Cornichet, J., Nemchin, A., Pidgeon, R., Rudnik, V.A., Mooney, W.D., Laske, G., Masters, T.G., 1998. CRUST 5.1: a global crustal model at 5 × 5. 1998. Archean crustal evolution of the Aldan Shield, Siberia: geochemical and Journal of Geophysical Research 103 (B1), 727–747. isotopic constraints. Precambrian Research 91 (3–4), 333–363. Morozov, I.B., Morozova, E.A., Smithson, S.B., Solodilov, L.N., 1998. 2-D image of seismic Jarchow, C.M., Thompson, G.A., 1989. The nature of the Mohorovicic-discontinuity. attenuation beneath the deep seismic sounding profile “Quartz”. Pure and Applied Annual Review of Earth and Planetary Sciences 17, 475–506. Geophysics 153, 311–343. Juhlin, C., Knapp, J.H., Kashubin, S., Bliznetsov, M., 1996. Crustal evolution of the Middle Urals Morozov, I.B., Smithson, S.B., Solodilov, L.N., 2002. Imaging crustal structure along based on seismic reflection and refraction data. Tectonophysics 264 (1–4), 21–34. refraction profiles using multicomponent recordings of first-arrival coda. Bulletin Juhlin, C., Friberg, M., Echtler, H., et al., 1998. Crustal structure of the Middle Urals: re- of Seismological Society of America 92 (8), 3080–3086. sults from the (ESRU) Europrobe seismic reflection profiling in the Urals experi- Morozova, E.A., Morozov, I.B., Smithson, S.B., Solodilov, L., 2000. Lithospheric bound- ments. Tectonics 17 (5), 710–725. aries and upper mantle heterogeneity beneath Russian Eurasia: evidence from Kashubin, S., Juhlin, C., Friberg, M., et al., 2006. Crustal structure of the Middle Urals the DSS profile QUARTZ. Tectonophysics 329, 333–344. based on seismic reflection data. In: Gee, D.G., Stephenson, R.A. (Eds.), European Nair, S.K., Gao, S.S., Liu, K.H., Silver, P.G., 2006. Southern African crustal evolution and Lithosphere DynamicsGeological Society London Memoirs 32, 427–442. composition: constrains from receiver function studies. Journal of Geophysical Kennett, B.L.N., Salmon, M., Saygin, E., 2011. AusMoho: the variation of Moho depth in Research 111, BO2304. Australia. Geophysical Journal International 187 (2), 946–958. Nguuri, T.K., Gore, J., James, D.E., Webb, S.J., Wright, C., Zengeni, T.G., Gwavava, O., Khain, V.E., 2001. Tectonics of Continents and Oceans (year 2000). Nauchnyi Mir, Moscow. Snoke, J.A., 2001. Crustal structure beneath southern Africa and its implications Klets, A.G., Budnikov, I.V., Kutygin, R.V., Biakov, A.S., Grinenko, V.S., 2006. The Permian for the formation and evolution of the Kaapvaal and Zimbabwe cratons. Geophysical of the Verkhoyansk–Okhotsk region, NE Russia. Journal of Asian Earth Sciences 26 Research Letters 28 (13), 2501–2504. (3–4), 258–268. Nielsen, C., Thybo, H., 2009. Lower crustal intrusions beneath the southern Baikal Knapp, J.H., et al., 1998. Seismic reflection fabrics of continental collision and post-orogenic Rift Zone: evidence from full-waveform modelling of wide-angle seismic data. extension in the Middle Urals, central Russia. Tectonophysics 288 (1–4), 115–126. Tectonophysics 470, 298–318. Kobussen, A.F., Christensen, N.I., Thybo, H., 2006. Constraints on seismic velocity anomalies Nielsen, C., Thybo, H., 2009. No Moho uplift below the Baikal Rift Zone: evidence from beneath the Siberian craton from xenoliths and petrophysics. Tectonophysics 425 a seismic refraction profile across southern Lake Baikal. Journal of Geophysical (1–4), 123–135. Research 114. http://dx.doi.org/10.1029/2008JB005828. Kontorovich, A.E., Nesterov, I.I., Salmanov, F.K., Surkov, V.S., Trofimuk, A.A., Ervie, Yu.G., Nielsen, L., Thybo, H., Solodilov, L.N., 1999. Seismic tomographic inversion of 1975. Geology of Oil and Gas of the West Siberia. Nedra, Moscow. Russian PNE data along profile Craton. Geophysical Research Letters 26 (22), Korja, A., Korja, T., Luosto, U., Heikkinen, P., 1993. Seismic and geoelectric evidence for 3413–3416. collisional and extensional events in the Fennoscandian shield—implications for Nielsen, L., Thybo, H., Egorkin, A.V., 2002. Implications of seismic scattering below the 8 Precambrian crustal evolution. Tectonophysics 219, 129–152. degrees discontinuity along PNE profile Kraton. Tectonophysics 358, 135–150. Korsman, K., Korja, T., Pajunen, M., et al., 1999. The GGT/SVEKA transect: structure and Nikishin, A.M., Ziegler, P.A., Stephenson, R.A., Cloetingh, S.A.P.L., Furne, A.V., Fokin, P.A., evolution of the continental crust in the Paleoproterozoic Svecofennian orogen in Ershov, A.V., Bolotov, S.N., Korotaev, M.V., Alekseev, A.S., Gorbachev, V.I., Shipilov, Finland. International Geology Review 41, 287–333. E.V., Lankreijer, A., Bembinova, E.Yu., Shalimov, I.V., 1996. Late Precambrian to Kostuychenko, S.L., Egorkin, A.V., 1994. Intracrustal structure of the northern East Triassic history of the East European Craton: dynamics of sedimentary basin evolution. Europe platform. Exploration and Protection of Mineral Resources 10, 12–15. Tectonophysics 268 (1–4), 23–63. Kostuychenko, S.L., Egorkin, A.V., Solodilov, L.N., 1998. The features of the structure Nikishin, A.M., Sobornov, K.O., Prokopiev, A.V., Frolov, S.V., 2010. Tectonic evolution of of the Urals's lithosphere by the results of multiwave deep seismic sounding. the Siberian Platform during the Vendian and Phanerozoic. Moscow University Geotectonics 4, 3–18. Geology Bulletin 65 (1), 1–16. Kostyuchenko, S.L., 2000. Structure of the crust and deep mechanisms of formation of Nui, F., James, D.E., 2002. Constraints on the formation and composition of crust Arctic sedimentary basins of Siberia. Regional Geology and Metallogeny 10, 125–135. beneath the Kaapvaal craton from Moho reverberations. Earth and Planetary Science Kovylin, V.M., 1985. Block structure of the West Siberian basin and oil-gas-bearing. Letters 200, 121–130. Soviet Geology 2, 77–86. Nutman, A.P., Chernyshev, I.V., Baadsgaard, H., Smelov, A.P., 1992. The Aldan Shield of Krylov, S.V., Mishenkin, B.P., Rudnitskii, L.A., Suvorov, V.D., 1974a. Characteristic of the Siberia, USSR: the age of its Archaean components and evidence for widespread West-Siberian region and the deep seismic sounding data. The Structure of the reworking in the mid-Proterozoic. Precambrian Research 54 (2–4), 195–210. Earth's Crust in Western Siberia (Results of Deep Seismic Sounding), Novosibirsk, O'Reilly, S.Y., Griffin, W.L., 1985. A xenolith derived geotherm for southeastern Australia pp. 6–15. and its geophysical implications. Tectonophysics 111, 41–63. Krylov, S.V., Suvorov, V.D., Rudnickii, A.L., 1974b. Block structure of the earth's crust of Parfenov, L.M., Kuzmin, M.I., 2001. Tektonika, geodinamika i metallogeniya territorii the West Siberia. Structure of the West Siberia (By Results of the Deep Seismic Respubliki Sakha (Yakutiya)/Tectonics, Geodynamics, and Metallogeny of the Sounding), Novosibirsk. Sakha (Yakutia) Republic. MAIK Nauka/Interperiodika, Moscow. Kukkonen, I.T., 1998. Temperature and heat flow density in a thick cratonic lithosphere: Pavlenkova, N.I., 1996. Crust and upper mantle structure in northern Eurasia from seismic the Sveka transect, central Fennoscandian Shield. Journal of Geodynamics 26, 111–136. data. Advances in Geophysics 37, 1–121. 182 Y. Cherepanova et al. / Tectonophysics 609 (2013) 154–183 Pavlenkova, G.A., 1998. Seismic model of the lithosphere along the Rift profile. Razvedka i Sengör, A.M.C., Natal'in, B.A., Butman, V.S., 1993. Evolution of the Altaid tectonic collage Ohrana Nedr 6–11. and Paleozoic crustal growth in Eurasia. Nature 364, 299–307. Pavlenkova, G.A., 2000. New data about the structure of the earth's crust and upper Shatsky, V.S., Buzlukova, L.V., Jagoutz, E., Koz'menko, O.A., Mityukhin, S.I., 2005. mantle for the QUARTC profile. Exploration and Protection of Mineral Resources Structure and evolution of the lower crust of the Daldyn–Alakit district in the Yakutian 2, 11–15. diamond province (from data on xenoliths). Russian Geology and Geophysics 46, Pavlenkova, G.A., Pavlenkova, N.I., 2006. Upper mantle structure of the Northern 1273–1289. Eurasia from peaceful nuclear explosion data. Tectonophysics 416, 33–52. Shipilov, E.d.V., Tarasov, G.A., 1998. Regional Geology of Oil and Gas Bearing Sedimentary Pavlenkova, N.I., Pavlenkova, G.A., Solodilov, L.N., 1996. High velocity in the uppermost Basins of the Russian West-Arctic shelf. Apatity, Russia (in Russian). mantle of the Siberian craton. Tectonophysics 262 (1), 51–65. Sklyarov, E.V., Gladkochub, D.P., Mazukabzov, A.M., Stanevich, M.A., Donskaya, T.V., Pavlenkova, N.I., Priestley, K., Cipar, J., 2002. D model of the crust and uppermost Konstantinov, K.M., Sinzov, A.V., 2001. Indicator Complexes of Supercontinent mantle along rift profile, Siberian craton. Tectonophysics 355, 171–186. Rodinia Break up: Geological Excursion Guide of Workshop ‘Supercontinents and Pavlov, Y.A., 1995. On recognition of rift structures in the basement of the West Siberian geological evolution of Precambrian’. Institute of the Earth Crust SB RAS, Irkutsk plate. Geotectonics 29 (3), 213–223. 75 (in Russian). Peterson, J.A., Clarke, J.W., 1991. Geology and Hydrocarbon Habitat of the West Siberian Sokolov, B.A. (Ed.), 1989. Geological-geochemical conditions of formation of oil and gas Basin. American Association of Petroleum Geologists. fields in ancient rocks of East Siberia. Mos­cow University Press, Moscow (192 pp.). Petrov, O.V., Kostyuchenko, S.L., 2002. Deep sedimentary troughs of Siberia as a result Sokolov, V.B., 1993. Crustal structure of the Urals. Geotectonics 5 (26), 357–366. of influence minor mantle plumes on the earth's lithosphere. Regional Geology and Solodilov, L.N., 1997. The GEON centre: 25 years of implementation of PNE in stud- Metallogeny 15, 58–74. ies of earth's deep structure. In: Fuchs, K. (Ed.), Upper Mantle Heterogeneities Peyve, A.V., 1969. Oceanic crust of the geological past. Geotectonics 6, 3–21 (in Russian). From Active and Passive Seismology. Kluwer Academic Publisher, Netherlands, Pisarevsky, S.A., Natapov, L.M., 2003. Siberia and Rodinia. Tectonophysics 375, 221–245. pp. 1–10. Priestley, K., Debayle, E., 2003. Seismic evidence for a moderately thick lithosphere Steer, D.N., Knapp, J.H., Brown, L.D., Rybalka, A.V., Sokolov, V.B., 1995. Crustal structure beneath the Siberian platform. Geophysical Research Letters 30 (3), 1118. of the Middle Urals based on reprocessing of Russian seismic reflection data. Prokopiev, A.V., Toro, J., Miller, E.L., et al., 2008. The Paleo Lena River—200 M.Y. of Geophysical Journal International 123, 673–682. transcontinental zircon transport in Siberia. Geology 36 (9), 699–702. Steer, D.N., Knapp, J.H., Brown, L.D., Echtler, H.P., Péréz-Estaun, A., Berzin, R., 1998. Puchkov, V.N., 1997. Structure and geodynamics of the Uralide orogen. In: Burg, J.P., Ford, Deep structure of the continental lithosphere in an unextended orogen: an explo- M. (Eds.), Orogeny Through TimeGeological Society, London, Special Publications sive source seismic reflection profile in the Urals (Urals Seismic Experiment and 121, 201–236. Integrated Studies (URSEIS 1995)). Tectonics 17, 143–157. Puzyrev, N.N., Krylov, S.V., 1977. Main results of regional seismic studies in Siberia. Suleimanov, A.K., 2006. CDP studies for the URSEIS profile. Structure and Dynamics Geophysical Methods in the Study of the Siberian Crust 249, 17–28. of the East European Lithosphere, v.2. Geokart, GEOS, Moscow, pp. 363–373 Reichow, M.C., Saunders, A.D., White, R.V., Pringle, M.S., Al'Mukhamedov, A.I., Medvedev, (in Russian). A.I., Kirda, N.P., 2002. 40Ar/39Ar dates from the West Siberian basin: Siberian flood Sultanov, D.D., Murphy, J.R., Rubinstein, Kh.D., 1999. A seismic source summary for basalt province doubled. Science 296, 1846–1849. Soviet peaceful nuclear explosions. Bulletin of Seismological Society of America Roberts, D.G., Bally, A.W. (Eds.), 2012. Regional Geology and Tectonics: Principles of 89 (3), 640–647. Geologic Analysis. Elsevier (906 pp., ISBN 13: 978-0-444-53042-4.). Surkov, V.S., Smirnov, L.V., 2003. Basement structure of the oil- and gas-hosting Romanyuk, T.V., 1995. The seismic-density modeling of the tectonosphere for the West-Siberian Basin. Otechestvennaya Geologiya 1, 10–16 (in Russian). Craton profile. Exploration and Protection of Mineral Resources 5, 24–31. Surkov, V.S., Zhero, O.G., 1981. Basement and Development of the Platform Cover of the Rosen, O.M., 2002. Siberian craton—a fragment of a Paleoproterozoic supercontinent. West Siberian Platform. Nedra, Moscow. Russian Journal of Earth Sciences 4 (2), 103–119. Surkov, V.S., Kuznecov, V.L., Starocelcev, B.S., Salnikov, A.S., 2000. Seismic tomography Rosen, O.M., 2003. The Siberian Craton: tectonic zonation and stages of evolution. for study of the crust of Siberia. Regional Geology and Metallogeny 10, 117–124. Geotectonics 37 (3), 175–192. Suvorov, V.D., 1993. Deep Seismic Surveys in the Yakutia Kimberlite Province. NAUKA, Rosen, O.M., Condie, K.C., Natapov, L.M., Nozhkin, A.D., 1994. Paleoproterozoic evolution Novosibirsk. of the Siberian craton: a preliminary assessment. In: Condie, K.C. (Ed.), Archean Suvorov, V.D., Parasotka, B.S., Chernyi, S.D., 1999. Deep seismic sounding studies in Crustal Evolution. Elsevier, Amsterdam, pp. 411–459. Yakutia (Translated from Fizika Zemli, 7–8, 94–113). Izvestiya Physics of the Rosen, O.M., Manakov, A.V., Serenko, V.P., 2005. Paleoproterozoic collisional system Solid Earth 35 (8), 612–629. and diamondiferous lithospheric keel of the Yakutian Kimberlite Province. Russian Suvorov, V.D., Melnik, E.A., Manakov, A.V., 2005. Deep structure of the Daldin–Alakit Geology and Geophysics 46 (12), 1237–1251. kimberlite area from the results of new interpretation of the data DSS and gravity Roslov, Yu.V., Sakoulina, T.S., Pavlenkova, N.I., 2009. Deep seismic investigations in the modeling for the seismic profile Morkoka river–Muna river (Eats Yakutia), 35–47. Barents and Kara Seas. Tectonophysics 472, 301–308. Izvestiya, Physics of the Solid Earth 5, 35–47. Roy, S., Mareschal, J.-C., 2011. Constraints on the deep thermal structure of the Suvorov, V.D., Melnik, E.A., Thybo, H., Perchuc, E., Parasotka, B.S., 2006. Seismic velocity Dharwar craton, India, from heat flow, shear wave velocities, and mantle xenoliths. model of the crust and uppermost mantle around the Mirnyi kimberlite field in Journal of Geophysical Research 116, B02409. Siberia. Tectonophysics 420, 167–185. Roy, S., Rao, R.U.M., 2003. Towards a crustal thermal model for the Archaean Dharwar Thouvenot, F., Kashubin, S.N., Poupinet, G., Makovsky, V.V., Kashubina, T.V., Matte, P., craton, southern India. Physics and Chemistry of the Earth 28, 361–373. Jenatton, L., 1995. The root of the Urals: evidence from wide-angle reflection Rudkevich, M.Ya., 1974. Paleotectonic Criteria for Hydrocarbon Occurrences. Nedra, seismics. Tectonophysics 250, 1–13. Moscow (184 pp. (in Russian)). Thybo, H., Artemieva, I.M., 2013. Moho and magmatic underplating in continental Rudnick, R.L., Fountain, D.M., 1995. Nature and composition of the continental crust: a lithosphere. Tectonophysics 609, 605–619 (this volume). lower crustal perspective. Reviews of Geophysics 33, 267–309. Thybo, H., Nielsen, C.A., 2009. Magma-compensated crustal thinning in continental rift Ryaboy, V., 1989. Upper mantle structure studies by explosion seismology in the USSR. zones. Nature 457, 873–876. Monograph series on Soviet Union, 138. Delphic Associates. Thybo, H., Maguire, P.K.H., Birt, C., Perchuc, E., 2000. Seismic reflectivity and magmatic Rybalka, V., Kashubin, S. (Eds.), 1992. GRANIT Transect. Methods and Results of underplating beneath the Kenya Rift. Geophysical Research Letters 27, 2745–2748. Investigations. URGK I UTP VNTGeo, Ekaterinburg (113 pp. (in Russian)). Thybo, H., Nielsen, L., Perchuc, E., 2003. Seismic scattering at the top of the mantle Ryberg, T., Wenzel, F., Mechie, J., Egorkin, A., Fuchs, K., Solodilov, L., 1996. Two- Transition Zone. Earth and Planetary Science Letters 216, 259–269. dimensional velocity structure beneath northern Eurasia derived from the Thybo, H., Ross, A.R., Egorkin, A.V., 2003. Explosion seismic reflections from the Earth's super long-range seismic profile Quartz. Bulletin of Seismological Society of core. Earth and Planetary Science Letters 216, 693–702. America 86 (3), 857–867. Uarov, V.F., 1981. Seismic peculiarities of the upper mantle of Western Yakutia. Journal Ryzhiy, B.P., Druzhinin, V.S., Yunsov, F.F., Ananyin, I.V., 1992. Deep structure of the of Geology and Geophysics 9, 120–124. Urals region and its seismicity. Physics of the Earth and Planetary Interiors 75, Vernikovsky, V.A., 1996. Geodynamic Evolution of Taimyr Fold Area. SPC UIGGM 185–191. Siberian Branch RAS, Novosibirsk (In Russian). Salmon, M., Kennett, B.L.N., Stern, T., Aitken, A.R.A., 2013. The Moho in Australia and Vernikovsky, V.A., Vernikovskaya, A.E., Sal'nikova, E.B., Kotov, A.B., Kovach, V.P., 2003. New Zealand. Tectonophysics 609, 288–298 (this volume). Neoproterozoic accretion-collisional events on the western margin of the Siberian Salnikov, A.S., 2008. Seismic structure of the earth's crust for platform's and folded Craton: new geological and geochronological evidence from the Yenisey Ridge. areas of the Siberia from the data of the regional seismic studies by the refracted Tectonophysics 375 (4), 147–168. waves (Doctor. Sci Dissertation, Novosibirsk). Vol'vovsky, I.S., Vol'vovsky, B.S., 1975. Cross-sections of the earth's crust on the territory Salnikov, A.S., Efimov, A.S., Solovyev, V.M., 2012. Deep structure of the crust of Eastern of the USSR by deep seismic sounding data (1950–1970). Soviet Radio, Moscow. Eurasia based on deep seismic sounding data. Proc. 33rd Gen. Ass. European Vyssotski, A.V., Vyssotski, V.N., Nezhdanov, A.A., 2006. Evolution of the West Siberian Seismological Commission, Moscow. Basin. Marine and Petroleum Geology 23, 93–126. Sandrin, A., Thybo, H., 2008. Seismic constraints on a large mafic intrusion with implications Wang, Q., Ji, S., Salisbury, M.H., Xia, B., Pan, M., Xu, Z., 2005. Pressure dependence and for the subsidence history of the Danish Basin. Journal of Geophysical Research-Solid anisotropy of P-wave velocities in ultrahigh-pressure metamorphic rocks from Earth 113. http://dx.doi.org/10.1029/2007JB005067. the Dabie–Sulu orogenic belt (China): implications for seismic properties of Savinsky, K.A., 1972. Deep Structure of the Siberian Platform Based on Geophysical subducted slabs and origin of mantle reflections. Tectonophysics 398, 67–99. Data. Nedra, Moscow (242 pp., in Russian). White, R.S., Smith, L.K., Roberts, A.W., Christie, P.A.F., Kusznir, N.J., 2008. Lower-crustal Schueller, W., Morozov, I.B., Smithson, S.B., 1997. Crustal and uppermost mantle velocity intrusion on the North Atlantic continental margin. Nature 452, 460–465. structure of northern Eurasia along the profile quartz. Bulletin of Seismological Wooden, J.L., Czamanske, G.K., Fedorenko, V.A., Arndt, N.T., Chauvel, C., Bouse, R.M., King, Society of America 87 (2), 414–426. Bi-Shia W., Knight, R.J., Siems, D.F., 1993. Isotopic and trace-element constraints on Semikhatov, M.A., 1991. General problems of Proterozoic stratigraphy in the USSR. mantle and crustal contributions to Siberian continental flood basalts, Noril'sk area, Soviet Scientific Review, Section B. Geology Reviews.Harwood Acad. Publ. Siberia. Geochimica et Cosmochimica Acta 57 (15), 3677–3704. Y. Cherepanova et al. / Tectonophysics 609 (2013) 154–183 183 Youssof, M., Thybo, H., Levander, A., Artemieva, I., 2012. Why is the Kaapvaal different Zorin, Yu.A., Belichenko, V.G., Turutanov, E.Kh., Mazukabzov, A.M., Slkyarov, E.V., Mordvinova, from other cratons? Geophysical Research Abstracts 14 (EGU 2012-8761-3). V.V., 1995. The East Siberian transect. International Geology Review 37, 154–175. Youssof, M., Thybo, H., Artemieva, I.M., Levander, A., 2013. Moho depth and crustal Zorin, Y.A., Mordvinova, V.V., Turutanov, E.K., Belichenko, B.G., Artemyev, A.A., Kosarev, composition in the Southern Africa. Tectonophysics 609, 267–287 (this volume). G.L., Gao, S.S., 2002. Low seismic velocity layers in the Earth's crust beneath Eastern Zhao, G., Cawood, P.A., Wilde, S.A., Sun, M., 2002. Review of global 2.1–1.8: Ga Siberia (Russia) and Central Mongolia: receiver function data and their possible orogens: implications for a pre-Rodinia supercontinent. Earth-Science Reviews geological implication. Tectonophysics 359, 307–327. 59, 125–162. Zorin, Y.A., Turutanov, E.Kh., Mordvinova, V.V., Kozhevnikov, V.M., Yanovskaya, T.B., Zhuravlev, E.G., 1986. The trap formation of the West Siberian plate. Izvestya Akademii Tressov, A.V., 2003. The Baikal Riftzone: the effect of mantle plumes on older structure. Nauk SSSR. Seriya Geograficheskaya 7, 26–32. Tectonophysics 371, 153–173. Zonenshain, L., Kuzmin, M.I., Natapov, L.M., 1990. Geology of the U.S.S.R.: A Plate Zverev, S.M., Kosminskaya, I.P., 1980. Seismic models of the lithosphere for the major Tectonic Synthesis. American Geophysical Union. geostructures on the territory of the USSR. NAUKA, Moscow.

References (197)

  1. Al'mukhamedov, A.I., Medvedev, A.Ya., Kirda, N.P., Baturina, T.P., 1998. The Triassic volcanogenic complex of the Western Siberia. Doklady Earth Sciences 362 (7), 931-935.
  2. Allen, M.B., Anderson, L., Searle, R.C., Buslov, M., 2006. Oblique rift geometry of the West Siberian basin: tectonic setting for the Siberian flood basalts. Journal of the Geological Society of London 163, 901-904.
  3. Amante, C., Eakins, B.W., 2009. ETOPO1 1 Arc-Minute Global Relief Model: Procedures. Data Sources and Analysis. NOAA Technical Memorandum NESDIS NGDC-24 (19 pp., March).
  4. Aplonov, S.V., 1988. An aborted Triassic ocean in West Siberia. Tectonics 7, 1103-1122.
  5. Aplonov, S.V., 1995. The tectonic evolution of West Siberia: an attempt at a geophysical analysis. Tectonophysics 245, 61-84.
  6. Arkhipov, S.A., 1971. Quaternary Period in the West Siberia. Nauka, Novosibirsk (in Russian).
  7. Artemieva, I.M., 2006. Global 1 deg × 1 deg thermal model TC1 for the continental litho- sphere: implications for lithosphere secular evolution. Tectonophysics 416, 245-277.
  8. Artemieva, I.M., Meissner, R., 2012. Crustal thickness controlled by plate tectonics: a review of crust-mantle interaction processes illustrated by European examples. Tectonophysics 530-531, 18-49.
  9. Artemieva, I.M., Mooney, W.D., 2001. Thermal structure and evolution of Precambrian lithosphere: a global study. Journal of Geophysical Research 106, 16387-16414.
  10. Artemieva, I.M., Thybo, H., 2013. EUNAseis: A seismic model for Moho and crustal structure in Europe, Greenland, and the North Atlantic region. Tectonophysics 609, 97-153 (this volume).
  11. Artemieva, I.M., Thybo, H., Kaban, M.K., 2006. Deep Europe today: geophysical synthesis of the upper mantle structure and lithospheric processes. In: Gee, D., Stephenson, R. (Eds.), European Lithosphere DynamicsGeological Society London Memoirs 32, 11-41.
  12. Artyushkov, E.V., 1993. Physical Geotectonics. Nauka, Moscow (in Russian).
  13. Artyushkov, E.V., Baer, M.A., 1986. Mechanism of formation of hydrocarbon basins-the West Siberia, Volga-Urals, Timan-Pechora basins and the Permian basin of Texas. Tectonophysics 122 (3-4), 247-281.
  14. Avetisov, G.P., Golubkov, V.S., 1984. Deep structure of the central part of the Norilsk ore region from the MOVZ-DSS data. Sovetskaya Geologiya 10, 86-94.
  15. Avetisov, G.P., Golubkov, V.S., 1996. Deep structure of the Norilsk area by the results of DSS. Geological and geophysical characteristics of the lithosphere of the Arctic region, St.-Petersburg, pp. 183-197.
  16. Baldin, V.A., 2001. Geological structure and petroleum prospects of Upper Jurassic- Neocomian sediments in the western portion of the Yenisei-Khatanga trough. Cand. Sci. (Geol._Mineral.).VNIGNI, Moscow (Dissertation).
  17. Bascou, J., Doucet, L.S., Saumet, S., Ionov, D.A., Ashepkov, I.V., Golovin, A.V., 2011. Seismic velocities, anisotropy and deformation in Siberian cratonic mantle: EBSD data on xenoliths from the Udachnaya kimberlite. Earth and Planetary Science Letters 304 (1-2), 71-84.
  18. Bassin, C., Laske, G., Masters, G., 2000. The current limits of resolution for surface wave tomography in North America. Eos, Transactions of the American Geophysical Union 81, F897.
  19. Bazanov, E.A., Pritula, Yu.A., Zabalueva, V.V., 1976. Development of main structures of the Siberian platform: history and dynamics. Tectonophysics 36 (1-3), 289-300.
  20. Bekzhanov, G.R., Lyubetskiy, V.N., Polevaya, L.D., 1974. Characteristics of tectonic development of Kazakhstan (from geophysical data). International Geology Review 16 (8), 953-962.
  21. Beloussov, V.V., Pavlenkova, N.I., Kvyatovskaya, G.N., 1991. Deep Structure of the USSR Territory. Nauka, Moscow.
  22. Belyaevsky, N.A., 1973. The Structure of the Crust and Upper Mantle of the Seas and Oceans. NAUKA, Moscow.
  23. Bochkarev, V.S., Brekhuntsov, A.M., Deshchenya, N.P., 2003. The Paleozoic and Triassic evolution of West Siberia (data of comprehensive studies). Russian Geology and Geophysics 44 (1-2), 120-143.
  24. Bradley, D.C., 2008. Passive margins through earth history. Earth-Science Reviews 91, 1-26.
  25. Braitenberg, C., Ebbing, J., 2009. New insights into the basement structure of the West Siberian Basin from forward and inverse modeling of GRACE satellite gravity data. Journal of Geophysical Research 114 (B06402), 15.
  26. Brown, D., Juhlin, C., Alvarez-Marro, .N.J., Pe Rez-Estaun, A., Oslianski, A., 1998. The crustal-scale structure and geodynamic evolution of an arc-continent collision zone in the Southern Urals, Russia. Tectonics 2, 158-170.
  27. Brown, D., Juhlin, C., Tryggvason, A., et al., 2002. The crustal architecture of the Southern and Middle Urals from the URSEIS, ESRU, and Alapaev reflection seismic profiles. In: Brown, D., Juhlin, C., Puchkov, V. (Eds.), Mountain Building in the Uralides: Pangea to Present: Geophysical Monographs, American Geophysical Union, 132, pp. 33-48.
  28. Brown, D., Juhlin, C., Ayala, C., Tryggvason, A., Bea, F., Alvarez-Marron, J., Carbonell, R., Seward, D., Glasmacher, U., Puchkov, V., Perez-Estaun, A., 2008. Mountain building processes during continent-continent collision in the Uralides. Earth-Science Re- views 89 (3-4), 177-195.
  29. Bulin, N.K., 1988. Deep structure of the east part of the Siberian platform from seismic data. Sovetskaya Geologiya 5, 58-66.
  30. Bulin, N.K., 2003. Lateral velocity heterogeneity of the low part of the earth's crust for the Siberian territory. Regional Geology and Metallogeny 17, 66-73.
  31. Bulin, N.K., Egorkin, A.V., 1994. Multiwaves deep seismic sounding in fine-scale in fine- scale investigation studies. Otechestvennaya Geologiya 4, 43-50.
  32. Carbonell, R., et al., 1996. Crustal root beneath the Urals: wide-angle seismic evidence. Science 274 (5285), 222-224.
  33. Carbonell, R., Gallart, J., Perez-Estaun, A., Diaz, J., Kashubin, S., Mechie, J., Wenzel, F., Knapp, J., 2000. Seismic wide-angle constraints on the crust of the southern Urals. Journal of Geophysical Research 105 (B6). http://dx.doi.org/10.1029/2000JB900048 (issn: 0148-0227).
  34. Christensen, N.I., Mooney, W.D., 1995. Seismic velocity structure and composition of the continental crust: a global view. Journal of Geophysical Research 100 (B6), 9761-9788.
  35. Closs, H., Behnke, C., 1963. Progress in the use of seismic methods in the exploration of the Earth's crust. International Geology Review 5 (8), 945-956.
  36. Clowes, R.M., Burianyk, M.J.A., Gorman, A.R., et al., 2002. Crustal velocity structure from SAREX, the Southern Alberta Refraction Experiment. Canadian Journal of Earth Sciences 39, 351-373. http://dx.doi.org/10.1139/E01-070.
  37. Courtillot, V., Kravchinsky, V.A., Quidelleur, X., Renne, P.R., Gladkochub, D.P., 2010. Preliminary dating of the Viluy traps (Eastern Siberia): eruption at the time of Late Devonian extinction events? Earth and Planetary Science Letters 300, 239-245.
  38. Davis, G.L., Sobolev, N.V., Kharkiv, A.D., 1980. New data on ages of Yakutian kimberlites after uranium-lead zircon method. Doklady Akademii Nauk SSSR 254 (1), 175-179 (in Russian).
  39. De Wit, M., Stankiewicz, J., 2013. 3.5 billion years of reshaped Moho, southern Africa. Tectonophysics 609, 675-689 (this volume).
  40. De Wit, M.J., de Ronde, C.E.J., Tredoux, M., Roering, C., Hart, R.J., Armstrong, R.A., Green, R.W.E., Peberdy, E., Hart, R.A., 1992. Formation of an Archaean continent. Nature 357, 553-562.
  41. Demenitskaya, R.M., 1975. The Earth's Crust and Mantle. Nedra, Moscow (in Russian).
  42. Downes, H., 1993. The nature of the lower continental crust of Europe: petrological and geochemical evidence from xenoliths. Physics of the Earth and Planetary Interiors 79, 195-218.
  43. Drachev, S.S., Savostin, L.A., Groshev, V.G., Bruni, I.E., 1998. Structure and geology of the continental shelf of the Laptev Sea, Eastern Russian Arctic. Tectonophysics 298, 357-393.
  44. Drachev, S.S., Malyshev, N.A., Nikishin, A.M., 2010. Tectonic history and petroleum geology of the Russian Arctic Shelves: an overview. Geological Society, London, Petroleum Geology Conference series, 7, pp. 591-619.
  45. Druzhinin, V.S., Egorkin, A.V., Kashubin, S.N., 1990. New data on the deep structure of the Urals and adjacent regions from DSS studies. Doklady Akademii Nauk SSSR 315 (5), 1086-1090 (in Russian).
  46. Druzhinin, V.S., Kashubin, S.N., Kashubina, T.V., Kolmogorova, V.A., Parygin, G.V., Rybalka, A.V., Tiunova, A.M., 1997. The main features of the interface between the crust and the upper mantle in the Middle Urals (in the vicinity of the deep drillhole SG-4). Tectonophysics 269, 259-267.
  47. Duchkov, A.D., Lysak, S.V., Balobaev, V.T., 1987. Thermal Field of Siberia Interiors. Nauka, Novosibirsk (In Russian).
  48. Durrheim, R.J., Mooney, W.D., 1991. Archean and proterozoic crustal evolution-evidence from crustal seismology. Geology 19 (6), 606-609.
  49. Echtler, H.P., Stiller, M., Steinhoff, F., et al., 1996. Preserved collisional crustal structure of the Southern Urals revealed by vibroseis profiling. Science 274, 224-226.
  50. Egorkin, A.V., 1991. Crustal structure according to seismic transects. Deep Structure of the Territory of the USSR. Moscow, pp. 118-134 (in Russian).
  51. Egorkin, A.V., 1999. Study on the mantle at the super long geotraverses. Physics of the Earth and Planetary Interiors 7 (8), 114-130.
  52. Egorkin, A.V., Zuganov, S.K., Pavlenkova, N.A., Chernyshev, N.M., 1987. Results of lithospheric studies from long-range profiles in Siberia. Tectonophysics 140 (1), 29-47.
  53. Egorkin (Yegorkin), Pavlenkova, N.I., Kvyatkovskaya, G.N., 1992. Crustal structure along seismic geotraverses. International Geology Review 34 (4), 345-444.
  54. Egorov, A.S., Gur'ev, G.A., Zotova, I.F., Kirikov, D.A., Movchan, I.B., Chistyakov, D.N., 2000. Geology-geophysics and geodynamic model of the lithosphere along the line of geotraverse Rubcovsk-Nevelskii. Regional Geology and Metallogeny 10, 143-151.
  55. Erinchek, Yu.M., 2009. Crustal Structure of the Territory of Russia. VSEGEI Compilation, St. Petersburg (Personal communication).
  56. Fedorenko, V.A., Lightfoot, P.C., Naldrett, A.J., Czamanske, G.K., Hawkesworth, C.J., Wooden, J.L., Ebel, D.S., 1996. Petrogenesis of the Siberian flood-basalt sequence at Noril'sk, north central Siberia. International Geology Review 38, 99-135.
  57. Fokin, P.A., Nikishin, A.M., Ziegler, P.A., 2001. Peri-Uralian and Peri-Palaeo-Tethyan rift systems of the East European Craton. Memoires du Museum National d'Histoire Naturelle 186, 347-368.
  58. Friberg, M., Juhlin, C., Roth, J., Horstmeyer, H., Rybalka, A., Bliznetsov, M., 2001. Europrobe seismic reflection profiling across the eastern Middle Urals and West Siberian Basin. Terra Nova 14, 7-13.
  59. Gao, S., Davis, P.M., Liu, H., Slack, P.D., Zorin, Y.A., Logatchev, N.A., Kogan, M., Burkholder, P.D., Meyer, R.P., 1994. Asymmetric upward of the asthenosphere beneath the Baikal rift zone, Siberia. Journal of Geophysical Research 99, 15319-15330.
  60. Gladkochub, D., Pisarevsky, S.A., Donskaya, T., Natapov, L.M., Mazukabzov, A., Stanevich, A., Slkyarov, E., 2006. Siberian craton and its evolution in terms of Rodinia hypothesis. Episodes 29 (3), 169-174.
  61. Grachev, A., Kaban, M.K., 2006. Factors responsible for the high position of the Siberian platform. Izvestiya-Physics of the Solid Earth 42 (12), 987-998.
  62. Gradstein, F.M., Ogg, J.G., Schmitz, M.D., Ogg, G.M., 2012. The Geologic Time Scale 2012. Elsevier (1176 pp.).
  63. Griffin, W.L., Ryan, C.G., Kaminsky, F.V., O'Reilly, S.Y., Natapov, L.M., Win, T.T., Kinny, P.D., Ilupin, I.P., 1999. The Siberian lithosphere traverse: mantle terranes and the assembly of the Siberian craton. Tectonophysics 310, 1-35.
  64. Gupta, S., Rai, S.S., Prakasam, K.S., Srinagesh, D., Bansal, B.K., Chadha, R.K., Priestley, K., Gaur, V.K., 2003. The nature of the crust in southern India: implications for Precambrian crustal evolution. Geophysical Research Letters 30 (8), 1419.
  65. Ignatova, V.F., 1966. On a possible oceanic crust in the central parts of the intracontinental depressions, such as West Siberia. In: Kosygin, Yu.A. (Ed.), Geological Problems of the Pacific Belt. Vladivostok, pp. 45-50 (in Russian).
  66. Ilupin, I.P., Vaganov, V.I., Prokpuck, B.I., 1990. Kimberlites. Nedra, Moscow (in Russian).
  67. Ivanova, N.M., Sakoulina, T.S., Roslov, Y.V., 2006. Deep seismic investigation across the Barents-Kara region and Novozemelskiy Fold Belt (Arctic Shelf). Tectonophysics 420, 123-140.
  68. Ivanova, N.M., Sakulina, T.S., Belyaev, I.V., et al., 2011. Depth model of the Barents and Kara seas according to geophysical surveys results. In: Spencer, A.M., Embry, A.F., Gautier, D.L., Stoupakova, A.V., Sørensen, K. (Eds.), Arctic Petroleum GeologyGeological Society London Memoirs 35, 209-221. http://dx.doi.org/10.1144/M35.12 (Chapter 12).
  69. Jahn, B.-M., Gruan, G., Capdevila, R., Cornichet, J., Nemchin, A., Pidgeon, R., Rudnik, V.A., 1998. Archean crustal evolution of the Aldan Shield, Siberia: geochemical and isotopic constraints. Precambrian Research 91 (3-4), 333-363.
  70. Jarchow, C.M., Thompson, G.A., 1989. The nature of the Mohorovicic-discontinuity. Annual Review of Earth and Planetary Sciences 17, 475-506.
  71. Juhlin, C., Knapp, J.H., Kashubin, S., Bliznetsov, M., 1996. Crustal evolution of the Middle Urals based on seismic reflection and refraction data. Tectonophysics 264 (1-4), 21-34.
  72. Juhlin, C., Friberg, M., Echtler, H., et al., 1998. Crustal structure of the Middle Urals: re- sults from the (ESRU) Europrobe seismic reflection profiling in the Urals experi- ments. Tectonics 17 (5), 710-725.
  73. Kashubin, S., Juhlin, C., Friberg, M., et al., 2006. Crustal structure of the Middle Urals based on seismic reflection data. In: Gee, D.G., Stephenson, R.A. (Eds.), European Lithosphere DynamicsGeological Society London Memoirs 32, 427-442.
  74. Kennett, B.L.N., Salmon, M., Saygin, E., 2011. AusMoho: the variation of Moho depth in Australia. Geophysical Journal International 187 (2), 946-958.
  75. Khain, V.E., 2001. Tectonics of Continents and Oceans (year 2000). Nauchnyi Mir, Moscow.
  76. Klets, A.G., Budnikov, I.V., Kutygin, R.V., Biakov, A.S., Grinenko, V.S., 2006. The Permian of the Verkhoyansk-Okhotsk region, NE Russia. Journal of Asian Earth Sciences 26 (3-4), 258-268.
  77. Knapp, J.H., et al., 1998. Seismic reflection fabrics of continental collision and post-orogenic extension in the Middle Urals, central Russia. Tectonophysics 288 (1-4), 115-126.
  78. Kobussen, A.F., Christensen, N.I., Thybo, H., 2006. Constraints on seismic velocity anomalies beneath the Siberian craton from xenoliths and petrophysics. Tectonophysics 425 (1-4), 123-135.
  79. Kontorovich, A.E., Nesterov, I.I., Salmanov, F.K., Surkov, V.S., Trofimuk, A.A., Ervie, Yu.G., 1975. Geology of Oil and Gas of the West Siberia. Nedra, Moscow.
  80. Korja, A., Korja, T., Luosto, U., Heikkinen, P., 1993. Seismic and geoelectric evidence for collisional and extensional events in the Fennoscandian shield-implications for Precambrian crustal evolution. Tectonophysics 219, 129-152.
  81. Korsman, K., Korja, T., Pajunen, M., et al., 1999. The GGT/SVEKA transect: structure and evolution of the continental crust in the Paleoproterozoic Svecofennian orogen in Finland. International Geology Review 41, 287-333.
  82. Kostuychenko, S.L., Egorkin, A.V., 1994. Intracrustal structure of the northern East Europe platform. Exploration and Protection of Mineral Resources 10, 12-15.
  83. Kostuychenko, S.L., Egorkin, A.V., Solodilov, L.N., 1998. The features of the structure of the Urals's lithosphere by the results of multiwave deep seismic sounding. Geotectonics 4, 3-18.
  84. Kostyuchenko, S.L., 2000. Structure of the crust and deep mechanisms of formation of Arctic sedimentary basins of Siberia. Regional Geology and Metallogeny 10, 125-135.
  85. Kovylin, V.M., 1985. Block structure of the West Siberian basin and oil-gas-bearing. Soviet Geology 2, 77-86.
  86. Krylov, S.V., Mishenkin, B.P., Rudnitskii, L.A., Suvorov, V.D., 1974a. Characteristic of the West-Siberian region and the deep seismic sounding data. The Structure of the Earth's Crust in Western Siberia (Results of Deep Seismic Sounding), Novosibirsk, pp. 6-15.
  87. Krylov, S.V., Suvorov, V.D., Rudnickii, A.L., 1974b. Block structure of the earth's crust of the West Siberia. Structure of the West Siberia (By Results of the Deep Seismic Sounding), Novosibirsk.
  88. Kukkonen, I.T., 1998. Temperature and heat flow density in a thick cratonic lithosphere: the Sveka transect, central Fennoscandian Shield. Journal of Geodynamics 26, 111-136.
  89. Kunin, N.Ya., Ioganson, L.I., 1984. Geophysical Characteristics and Structure of the Crust of Western Siberia. Nauka, Moscow.
  90. Kushnir, D.G., 2006. Paleozoic swells in the north of central and western Siberia. Geotectonics 40 (5), 399-404.
  91. Kwadiba, M.T.O.G., Wright, C., Kgaswane, E.M., Simon, R.E., Nguuri, T.K., 2003. Pn arrivals and lateral variations of Moho geometry beneath the Kaapvaal craton. In: Jones, A.G., Carlson, R.W., Grutter, H. (Eds.), Lithos Special Issue: The Slave- Kaapvaal Workshop: A Tale of Two Cratons, 71, pp. 393-411.
  92. Logatchev, N.A., Zorin, Y.A., 1987. Evidence and cause of the two-stage development of the Baikal rift. Tectonophysics 143, 225-234.
  93. Lyngsie, S.B., Thybo, H., 2007. A new tectonic model for the Laurentia-Avalonia-Baltica sutures in the North Sea: a case study along MONA LISA profile 3. Tectonophysics 429, 201-227.
  94. Lyngsie, S.B., Thybo, H., Lang, R., 2007. Rifting and lower crustal reflectivity: a case study of the intracratonic Dniepr-Donets rift zone, Ukraine. Journal of Geophysical Research 112, B12402.
  95. Macelwane, J.B., 1951. Evidence on the interior of the earth derived from seismic studies, In: Gutenberg, B. (Ed.), Internal Constitution of the Earth, 2nd ed. Dover Publ., Inc., pp. 227-304 (Chapter X).
  96. Mall, D.M., Chandrakala, K., Kumar, A.S., Sarkar, D., 2012. Sub-crustal LVZ below Dharwar craton, India: an evidence for mantle metasomatism and tectonothermal activity in the Archean crust. Precambrian Research 208, 161-173.
  97. McKerrow, W.S., Mac Niocaill, C., Dewey, J.F., 2000. The Caledonian Orogeny redefined. Journal of the Geological Society 157, 1149-1154.
  98. Mechie, J., Egorkin, A.V., Fuchs, K., Ryberg, T., Solodilov, L.N., Wenzel, F., 1993. P-wave mantle velocity structure beneath northern Eurasia from long-range recordings along the profile Quartz. Physics of the Earth and Planetary Interiors 79, 269-286.
  99. Meissner, R., 1986. The Continental Crust. Academic Press, Orlando.
  100. Metelkin, D.V., Gordienko, I.V., Klimuk, V.S., 2007. Paleomagnetism of Upper Jurassic basalts in Transbaikalia: new data on the time of closing the Mongol-Okhotsk Ocean and beginning of Mesozoic intraplate tectonics in central Asia. Russian Geology and Geophysics 48 (10), 1061-1073.
  101. Milanovskiy, E.E., 1996. Geologiya Rossii i blizhnego zarubezh'ya (Severnaya Evraziya). Geology of Russia and Near Abroad, North Eurasia. Izd. Mosc. Univ., Moscow.
  102. Mooney, W.D., Detweiler, S., 2005. Global Seismic Profiles Catalogue (GSC). USGS, Menlo Park, CA (Personal communication).
  103. Mooney, W.D., Laske, G., Masters, T.G., 1998. CRUST 5.1: a global crustal model at 5 × 5. Journal of Geophysical Research 103 (B1), 727-747.
  104. Morozov, I.B., Morozova, E.A., Smithson, S.B., Solodilov, L.N., 1998. 2-D image of seismic attenuation beneath the deep seismic sounding profile "Quartz". Pure and Applied Geophysics 153, 311-343.
  105. Morozov, I.B., Smithson, S.B., Solodilov, L.N., 2002. Imaging crustal structure along refraction profiles using multicomponent recordings of first-arrival coda. Bulletin of Seismological Society of America 92 (8), 3080-3086.
  106. Morozova, E.A., Morozov, I.B., Smithson, S.B., Solodilov, L., 2000. Lithospheric bound- aries and upper mantle heterogeneity beneath Russian Eurasia: evidence from the DSS profile QUARTZ. Tectonophysics 329, 333-344.
  107. Nair, S.K., Gao, S.S., Liu, K.H., Silver, P.G., 2006. Southern African crustal evolution and composition: constrains from receiver function studies. Journal of Geophysical Research 111, BO2304.
  108. Nguuri, T.K., Gore, J., James, D.E., Webb, S.J., Wright, C., Zengeni, T.G., Gwavava, O., Snoke, J.A., 2001. Crustal structure beneath southern Africa and its implications for the formation and evolution of the Kaapvaal and Zimbabwe cratons. Geophysical Research Letters 28 (13), 2501-2504.
  109. Nielsen, C., Thybo, H., 2009. Lower crustal intrusions beneath the southern Baikal Rift Zone: evidence from full-waveform modelling of wide-angle seismic data. Tectonophysics 470, 298-318.
  110. Nielsen, C., Thybo, H., 2009. No Moho uplift below the Baikal Rift Zone: evidence from a seismic refraction profile across southern Lake Baikal. Journal of Geophysical Research 114. http://dx.doi.org/10.1029/2008JB005828.
  111. Nielsen, L., Thybo, H., Solodilov, L.N., 1999. Seismic tomographic inversion of Russian PNE data along profile Craton. Geophysical Research Letters 26 (22), 3413-3416.
  112. Nielsen, L., Thybo, H., Egorkin, A.V., 2002. Implications of seismic scattering below the 8 degrees discontinuity along PNE profile Kraton. Tectonophysics 358, 135-150.
  113. Nikishin, A.M., Ziegler, P.A., Stephenson, R.A., Cloetingh, S.A.P.L., Furne, A.V., Fokin, P.A., Ershov, A.V., Bolotov, S.N., Korotaev, M.V., Alekseev, A.S., Gorbachev, V.I., Shipilov, E.V., Lankreijer, A., Bembinova, E.Yu., Shalimov, I.V., 1996. Late Precambrian to Triassic history of the East European Craton: dynamics of sedimentary basin evolution. Tectonophysics 268 (1-4), 23-63.
  114. Nikishin, A.M., Sobornov, K.O., Prokopiev, A.V., Frolov, S.V., 2010. Tectonic evolution of the Siberian Platform during the Vendian and Phanerozoic. Moscow University Geology Bulletin 65 (1), 1-16.
  115. Nui, F., James, D.E., 2002. Constraints on the formation and composition of crust beneath the Kaapvaal craton from Moho reverberations. Earth and Planetary Science Letters 200, 121-130.
  116. Nutman, A.P., Chernyshev, I.V., Baadsgaard, H., Smelov, A.P., 1992. The Aldan Shield of Siberia, USSR: the age of its Archaean components and evidence for widespread reworking in the mid-Proterozoic. Precambrian Research 54 (2-4), 195-210.
  117. O'Reilly, S.Y., Griffin, W.L., 1985. A xenolith derived geotherm for southeastern Australia and its geophysical implications. Tectonophysics 111, 41-63.
  118. Parfenov, L.M., Kuzmin, M.I., 2001. Tektonika, geodinamika i metallogeniya territorii Respubliki Sakha (Yakutiya)/Tectonics, Geodynamics, and Metallogeny of the Sakha (Yakutia) Republic. MAIK Nauka/Interperiodika, Moscow.
  119. Pavlenkova, N.I., 1996. Crust and upper mantle structure in northern Eurasia from seismic data. Advances in Geophysics 37, 1-121.
  120. Pavlenkova, G.A., 1998. Seismic model of the lithosphere along the Rift profile. Razvedka i Ohrana Nedr 6-11.
  121. Pavlenkova, G.A., 2000. New data about the structure of the earth's crust and upper mantle for the QUARTC profile. Exploration and Protection of Mineral Resources 2, 11-15.
  122. Pavlenkova, G.A., Pavlenkova, N.I., 2006. Upper mantle structure of the Northern Eurasia from peaceful nuclear explosion data. Tectonophysics 416, 33-52.
  123. Pavlenkova, N.I., Pavlenkova, G.A., Solodilov, L.N., 1996. High velocity in the uppermost mantle of the Siberian craton. Tectonophysics 262 (1), 51-65.
  124. Pavlenkova, N.I., Priestley, K., Cipar, J., 2002. D model of the crust and uppermost mantle along rift profile, Siberian craton. Tectonophysics 355, 171-186.
  125. Pavlov, Y.A., 1995. On recognition of rift structures in the basement of the West Siberian plate. Geotectonics 29 (3), 213-223.
  126. Peterson, J.A., Clarke, J.W., 1991. Geology and Hydrocarbon Habitat of the West Siberian Basin. American Association of Petroleum Geologists.
  127. Petrov, O.V., Kostyuchenko, S.L., 2002. Deep sedimentary troughs of Siberia as a result of influence minor mantle plumes on the earth's lithosphere. Regional Geology and Metallogeny 15, 58-74.
  128. Peyve, A.V., 1969. Oceanic crust of the geological past. Geotectonics 6, 3-21 (in Russian).
  129. Pisarevsky, S.A., Natapov, L.M., 2003. Siberia and Rodinia. Tectonophysics 375, 221-245.
  130. Priestley, K., Debayle, E., 2003. Seismic evidence for a moderately thick lithosphere beneath the Siberian platform. Geophysical Research Letters 30 (3), 1118.
  131. Prokopiev, A.V., Toro, J., Miller, E.L., et al., 2008. The Paleo Lena River-200 M.Y. of transcontinental zircon transport in Siberia. Geology 36 (9), 699-702.
  132. Puchkov, V.N., 1997. Structure and geodynamics of the Uralide orogen. In: Burg, J.P., Ford, M. (Eds.), Orogeny Through TimeGeological Society, London, Special Publications 121, 201-236.
  133. Puzyrev, N.N., Krylov, S.V., 1977. Main results of regional seismic studies in Siberia. Geophysical Methods in the Study of the Siberian Crust 249, 17-28.
  134. Reichow, M.C., Saunders, A.D., White, R.V., Pringle, M.S., Al'Mukhamedov, A.I., Medvedev, A.I., Kirda, N.P., 2002. 40Ar/39Ar dates from the West Siberian basin: Siberian flood basalt province doubled. Science 296, 1846-1849.
  135. Roberts, D.G., Bally, A.W. (Eds.), 2012. Regional Geology and Tectonics: Principles of Geologic Analysis. Elsevier (906 pp., ISBN 13: 978-0-444-53042-4.).
  136. Romanyuk, T.V., 1995. The seismic-density modeling of the tectonosphere for the Craton profile. Exploration and Protection of Mineral Resources 5, 24-31.
  137. Rosen, O.M., 2002. Siberian craton-a fragment of a Paleoproterozoic supercontinent. Russian Journal of Earth Sciences 4 (2), 103-119.
  138. Rosen, O.M., 2003. The Siberian Craton: tectonic zonation and stages of evolution. Geotectonics 37 (3), 175-192.
  139. Rosen, O.M., Condie, K.C., Natapov, L.M., Nozhkin, A.D., 1994. Paleoproterozoic evolution of the Siberian craton: a preliminary assessment. In: Condie, K.C. (Ed.), Archean Crustal Evolution. Elsevier, Amsterdam, pp. 411-459.
  140. Rosen, O.M., Manakov, A.V., Serenko, V.P., 2005. Paleoproterozoic collisional system and diamondiferous lithospheric keel of the Yakutian Kimberlite Province. Russian Geology and Geophysics 46 (12), 1237-1251.
  141. Roslov, Yu.V., Sakoulina, T.S., Pavlenkova, N.I., 2009. Deep seismic investigations in the Barents and Kara Seas. Tectonophysics 472, 301-308.
  142. Roy, S., Mareschal, J.-C., 2011. Constraints on the deep thermal structure of the Dharwar craton, India, from heat flow, shear wave velocities, and mantle xenoliths. Journal of Geophysical Research 116, B02409.
  143. Roy, S., Rao, R.U.M., 2003. Towards a crustal thermal model for the Archaean Dharwar craton, southern India. Physics and Chemistry of the Earth 28, 361-373.
  144. Rudkevich, M.Ya., 1974. Paleotectonic Criteria for Hydrocarbon Occurrences. Nedra, Moscow (184 pp. (in Russian)).
  145. Rudnick, R.L., Fountain, D.M., 1995. Nature and composition of the continental crust: a lower crustal perspective. Reviews of Geophysics 33, 267-309.
  146. Ryaboy, V., 1989. Upper mantle structure studies by explosion seismology in the USSR. Monograph series on Soviet Union, 138. Delphic Associates.
  147. Rybalka, V., Kashubin, S. (Eds.), 1992. GRANIT Transect. Methods and Results of Investigations. URGK I UTP VNTGeo, Ekaterinburg (113 pp. (in Russian)).
  148. Ryberg, T., Wenzel, F., Mechie, J., Egorkin, A., Fuchs, K., Solodilov, L., 1996. Two- dimensional velocity structure beneath northern Eurasia derived from the super long-range seismic profile Quartz. Bulletin of Seismological Society of America 86 (3), 857-867.
  149. Ryzhiy, B.P., Druzhinin, V.S., Yunsov, F.F., Ananyin, I.V., 1992. Deep structure of the Urals region and its seismicity. Physics of the Earth and Planetary Interiors 75, 185-191.
  150. Salmon, M., Kennett, B.L.N., Stern, T., Aitken, A.R.A., 2013. The Moho in Australia and New Zealand. Tectonophysics 609, 288-298 (this volume).
  151. Salnikov, A.S., 2008. Seismic structure of the earth's crust for platform's and folded areas of the Siberia from the data of the regional seismic studies by the refracted waves (Doctor. Sci Dissertation, Novosibirsk).
  152. Salnikov, A.S., Efimov, A.S., Solovyev, V.M., 2012. Deep structure of the crust of Eastern Eurasia based on deep seismic sounding data. Proc. 33rd Gen. Ass. European Seismological Commission, Moscow.
  153. Sandrin, A., Thybo, H., 2008. Seismic constraints on a large mafic intrusion with implications for the subsidence history of the Danish Basin. Journal of Geophysical Research-Solid Earth 113. http://dx.doi.org/10.1029/2007JB005067.
  154. Savinsky, K.A., 1972. Deep Structure of the Siberian Platform Based on Geophysical Data. Nedra, Moscow (242 pp., in Russian).
  155. Schueller, W., Morozov, I.B., Smithson, S.B., 1997. Crustal and uppermost mantle velocity structure of northern Eurasia along the profile quartz. Bulletin of Seismological Society of America 87 (2), 414-426.
  156. Semikhatov, M.A., 1991. General problems of Proterozoic stratigraphy in the USSR. Soviet Scientific Review, Section B. Geology Reviews.Harwood Acad. Publ.
  157. Sengör, A.M.C., Natal'in, B.A., Butman, V.S., 1993. Evolution of the Altaid tectonic collage and Paleozoic crustal growth in Eurasia. Nature 364, 299-307.
  158. Shatsky, V.S., Buzlukova, L.V., Jagoutz, E., Koz'menko, O.A., Mityukhin, S.I., 2005. Structure and evolution of the lower crust of the Daldyn-Alakit district in the Yakutian diamond province (from data on xenoliths). Russian Geology and Geophysics 46, 1273-1289.
  159. Shipilov, E.d.V., Tarasov, G.A., 1998. Regional Geology of Oil and Gas Bearing Sedimentary Basins of the Russian West-Arctic shelf. Apatity, Russia (in Russian).
  160. Sklyarov, E.V., Gladkochub, D.P., Mazukabzov, A.M., Stanevich, M.A., Donskaya, T.V., Konstantinov, K.M., Sinzov, A.V., 2001. Indicator Complexes of Supercontinent Rodinia Break up: Geological Excursion Guide of Workshop 'Supercontinents and geological evolution of Precambrian'. Institute of the Earth Crust SB RAS, Irkutsk 75 (in Russian).
  161. Sokolov, B.A. (Ed.), 1989. Geological-geochemical conditions of formation of oil and gas fields in ancient rocks of East Siberia. Moscow University Press, Moscow (192 pp.).
  162. Sokolov, V.B., 1993. Crustal structure of the Urals. Geotectonics 5 (26), 357-366.
  163. Solodilov, L.N., 1997. The GEON centre: 25 years of implementation of PNE in stud- ies of earth's deep structure. In: Fuchs, K. (Ed.), Upper Mantle Heterogeneities From Active and Passive Seismology. Kluwer Academic Publisher, Netherlands, pp. 1-10.
  164. Steer, D.N., Knapp, J.H., Brown, L.D., Rybalka, A.V., Sokolov, V.B., 1995. Crustal structure of the Middle Urals based on reprocessing of Russian seismic reflection data. Geophysical Journal International 123, 673-682.
  165. Steer, D.N., Knapp, J.H., Brown, L.D., Echtler, H.P., Péréz-Estaun, A., Berzin, R., 1998. Deep structure of the continental lithosphere in an unextended orogen: an explo- sive source seismic reflection profile in the Urals (Urals Seismic Experiment and Integrated Studies (URSEIS 1995)). Tectonics 17, 143-157.
  166. Suleimanov, A.K., 2006. CDP studies for the URSEIS profile. Structure and Dynamics of the East European Lithosphere, v.2. Geokart, GEOS, Moscow, pp. 363-373 (in Russian).
  167. Sultanov, D.D., Murphy, J.R., Rubinstein, Kh.D., 1999. A seismic source summary for Soviet peaceful nuclear explosions. Bulletin of Seismological Society of America 89 (3), 640-647.
  168. Surkov, V.S., Smirnov, L.V., 2003. Basement structure of the oil-and gas-hosting West-Siberian Basin. Otechestvennaya Geologiya 1, 10-16 (in Russian).
  169. Surkov, V.S., Zhero, O.G., 1981. Basement and Development of the Platform Cover of the West Siberian Platform. Nedra, Moscow.
  170. Surkov, V.S., Kuznecov, V.L., Starocelcev, B.S., Salnikov, A.S., 2000. Seismic tomography for study of the crust of Siberia. Regional Geology and Metallogeny 10, 117-124.
  171. Suvorov, V.D., 1993. Deep Seismic Surveys in the Yakutia Kimberlite Province. NAUKA, Novosibirsk.
  172. Suvorov, V.D., Parasotka, B.S., Chernyi, S.D., 1999. Deep seismic sounding studies in Yakutia (Translated from Fizika Zemli, 7-8, 94-113). Izvestiya Physics of the Solid Earth 35 (8), 612-629.
  173. Suvorov, V.D., Melnik, E.A., Manakov, A.V., 2005. Deep structure of the Daldin-Alakit kimberlite area from the results of new interpretation of the data DSS and gravity modeling for the seismic profile Morkoka river-Muna river (Eats Yakutia), 35-47. Izvestiya, Physics of the Solid Earth 5, 35-47.
  174. Suvorov, V.D., Melnik, E.A., Thybo, H., Perchuc, E., Parasotka, B.S., 2006. Seismic velocity model of the crust and uppermost mantle around the Mirnyi kimberlite field in Siberia. Tectonophysics 420, 167-185.
  175. Thouvenot, F., Kashubin, S.N., Poupinet, G., Makovsky, V.V., Kashubina, T.V., Matte, P., Jenatton, L., 1995. The root of the Urals: evidence from wide-angle reflection seismics. Tectonophysics 250, 1-13.
  176. Thybo, H., Artemieva, I.M., 2013. Moho and magmatic underplating in continental lithosphere. Tectonophysics 609, 605-619 (this volume).
  177. Thybo, H., Nielsen, C.A., 2009. Magma-compensated crustal thinning in continental rift zones. Nature 457, 873-876.
  178. Thybo, H., Maguire, P.K.H., Birt, C., Perchuc, E., 2000. Seismic reflectivity and magmatic underplating beneath the Kenya Rift. Geophysical Research Letters 27, 2745-2748.
  179. Thybo, H., Nielsen, L., Perchuc, E., 2003. Seismic scattering at the top of the mantle Transition Zone. Earth and Planetary Science Letters 216, 259-269.
  180. Thybo, H., Ross, A.R., Egorkin, A.V., 2003. Explosion seismic reflections from the Earth's core. Earth and Planetary Science Letters 216, 693-702.
  181. Uarov, V.F., 1981. Seismic peculiarities of the upper mantle of Western Yakutia. Journal of Geology and Geophysics 9, 120-124.
  182. Vernikovsky, V.A., 1996. Geodynamic Evolution of Taimyr Fold Area. SPC UIGGM Siberian Branch RAS, Novosibirsk (In Russian).
  183. Vernikovsky, V.A., Vernikovskaya, A.E., Sal'nikova, E.B., Kotov, A.B., Kovach, V.P., 2003. Neoproterozoic accretion-collisional events on the western margin of the Siberian Craton: new geological and geochronological evidence from the Yenisey Ridge. Tectonophysics 375 (4), 147-168.
  184. Vol'vovsky, I.S., Vol'vovsky, B.S., 1975. Cross-sections of the earth's crust on the territory of the USSR by deep seismic sounding data (1950-1970). Soviet Radio, Moscow.
  185. Vyssotski, A.V., Vyssotski, V.N., Nezhdanov, A.A., 2006. Evolution of the West Siberian Basin. Marine and Petroleum Geology 23, 93-126.
  186. Wang, Q., Ji, S., Salisbury, M.H., Xia, B., Pan, M., Xu, Z., 2005. Pressure dependence and anisotropy of P-wave velocities in ultrahigh-pressure metamorphic rocks from the Dabie-Sulu orogenic belt (China): implications for seismic properties of subducted slabs and origin of mantle reflections. Tectonophysics 398, 67-99.
  187. White, R.S., Smith, L.K., Roberts, A.W., Christie, P.A.F., Kusznir, N.J., 2008. Lower-crustal intrusion on the North Atlantic continental margin. Nature 452, 460-465.
  188. Wooden, J.L., Czamanske, G.K., Fedorenko, V.A., Arndt, N.T., Chauvel, C., Bouse, R.M., King, Bi-Shia W., Knight, R.J., Siems, D.F., 1993. Isotopic and trace-element constraints on mantle and crustal contributions to Siberian continental flood basalts, Noril'sk area, Siberia. Geochimica et Cosmochimica Acta 57 (15), 3677-3704.
  189. Youssof, M., Thybo, H., Levander, A., Artemieva, I., 2012. Why is the Kaapvaal different from other cratons? Geophysical Research Abstracts 14 (EGU 2012-8761-3).
  190. Youssof, M., Thybo, H., Artemieva, I.M., Levander, A., 2013. Moho depth and crustal composition in the Southern Africa. Tectonophysics 609, 267-287 (this volume).
  191. Zhao, G., Cawood, P.A., Wilde, S.A., Sun, M., 2002. Review of global 2.1-1.8: Ga orogens: implications for a pre-Rodinia supercontinent. Earth-Science Reviews 59, 125-162.
  192. Zhuravlev, E.G., 1986. The trap formation of the West Siberian plate. Izvestya Akademii Nauk SSSR. Seriya Geograficheskaya 7, 26-32.
  193. Zonenshain, L., Kuzmin, M.I., Natapov, L.M., 1990. Geology of the U.S.S.R.: A Plate Tectonic Synthesis. American Geophysical Union.
  194. Zorin, Yu.A., Belichenko, V.G., Turutanov, E.Kh., Mazukabzov, A.M., Slkyarov, E.V., Mordvinova, V.V., 1995. The East Siberian transect. International Geology Review 37, 154-175.
  195. Zorin, Y.A., Mordvinova, V.V., Turutanov, E.K., Belichenko, B.G., Artemyev, A.A., Kosarev, G.L., Gao, S.S., 2002. Low seismic velocity layers in the Earth's crust beneath Eastern Siberia (Russia) and Central Mongolia: receiver function data and their possible geological implication. Tectonophysics 359, 307-327.
  196. Zorin, Y.A., Turutanov, E.Kh., Mordvinova, V.V., Kozhevnikov, V.M., Yanovskaya, T.B., Tressov, A.V., 2003. The Baikal Riftzone: the effect of mantle plumes on older structure. Tectonophysics 371, 153-173.
  197. Zverev, S.M., Kosminskaya, I.P., 1980. Seismic models of the lithosphere for the major geostructures on the territory of the USSR. NAUKA, Moscow.

FAQs

sparkles

AI

What explains the high crustal thickness in the Siberian craton?add

The average crustal thickness in the Siberian craton peaks at 40-54 km, indicating significant tectonic stability due to Archean origins, as seen in regions like the Aldan Shield.

How does crustal structure in Siberia vary across tectonic settings?add

Crustal structures show pronounced heterogeneity, with Vp velocities reaching 6.9 km/s in rifted regions and varying significantly across the West Siberian Basin and Siberian craton.

What is the significance of the SibCrust database for global models?add

SibCrust aggregates seismic data over 58,000 km, enhancing crustal thickness models and addressing discrepancies with CRUST 5.1 and CRUST 2.0 for Siberia, especially in Moho depth.

When did systematic seismic studies begin in Siberia?add

Systematic seismic studies began in the early 1950s, utilizing diverse methods including deep seismic sounding, significantly improving coverage and understanding of crustal structures.

Why do variations occur in Moho depth across continents?add

Moho depth varies significantly, such as 35-44 km range in the Kaapvaal craton, attributed to localized crustal heterogeneities and tectonic history influencing structural integrity.

Stanford University, Department Member
University of Copenhagen, Adjunct
Istanbul Technical University, Faculty Member