Papers by Renata Ferrari Legorreta

Marine Ecology Progress Series, 2012
Clionaids, an abundant group of bioeroding sponges, are important competitors of corals, but thei... more Clionaids, an abundant group of bioeroding sponges, are important competitors of corals, but their interactions with other major taxa are poorly understood. This study examined the relative effect of predation and macroalgal competition on the growth of Cliona tenuis at Glover's Reef Atoll, Belize. A field experiment was designed to isolate the importance of each factor and its interactions, by means of exclusion cages to assess the effects of fish predators, and algal transplantation to assess the effects of macroalgal competition (Lobophora variegata), over 286 d. To obtain complementary data on the net outcome of predation and competition in situ, predation intensity and the competitive effects on C. tenuis of 5 different competitors were monitored in the field. Competition with macroalgae significantly reduced the size of the sponge by 38 ± 11% (SE). Despite a high predation rate (1 bite 100 cm −2 h −1), no effect of the interaction of predation with macroalgal competition was detected. The in situ observations found that L. variegata was the strongest competitor limiting the growth of C. tenuis. Overgrowth of corals by clionaids and macroalgae continues to be a matter of concern, but our results suggest that the antagonistic competition between sponges and algae might weaken their potential combined effect on corals.

Coral Reefs, 2012
This thesis is composed of my original work, and contains no material previously published or wri... more This thesis is composed of my original work, and contains no material previously published or written by another person except where due reference has been made in the text. I have clearly stated the contribution by others, to jointly-authored works, statistical assistance, survey design, data analysis, significant technical procedures, professional editorial advice, and any other original research work used or reported in my thesis. Peter J. Mumby provided supervision, support and funding for the project. Christine Schönberg supervised and supported discussions over the progress in Chapters 2,3 and 5. Renata Ferrari provided funding and support over fieldwork and contributed to the discussions of Chapters 2, 3 and 5. Alexander V. Ereskovsky and Jane Fromont contributing with methodological guidance, interpretation and discussion of histological images (Chapter 2). Laith Yacob, contributed, as a jointed author in Chapter 4, with analytical model development and discussions.

Asymmetric competition prevents the outbreak of an opportunistic species after coral reef degradation
Oecologia, 2016
Disturbance releases space and allows the growth of opportunistic species, excluded by the old st... more Disturbance releases space and allows the growth of opportunistic species, excluded by the old stands, with a potential to alter community dynamics. In coral reefs, abundances of fast-growing, and disturbance-tolerant sponges are expected to increase and dominate as space becomes available following acute coral mortality events. Yet, an increase in abundance of these opportunistic species has been reported in only a few studies, suggesting certain mechanisms may be acting to regulate sponge populations. To gain insights into mechanisms of population control, we simulated the dynamics of the common reef-excavating sponge Cliona tenuis in the Caribbean using an individual-based model. An orthogonal hypothesis testing approach was used, where four candidate mechanisms-algal competition, stock-recruitment limitation, whole and partial mortality-were incorporated sequentially into the model and the results were tested against independent field observations taken over a decade in Belize, Central America. We found that releasing space after coral mortality can promote C. tenuis outbreaks, but such outbreaks can be curtailed by macroalgal competition. The asymmetrical competitive superiority of macroalgae, given by their capacity to pre-empt space and outcompete with the sponge in a size-dependant fashion, supports their capacity to steal the opportunity from other opportunists. While multiple system stages can be expected in coral reefs following intense perturbation macroalgae may prevent the growth of other space-occupiers, such as bioeroding sponges, under low grazing pressure.
Building resilience of Caribbean coral reefs to macroalgal phase shifts: identifying key habitat features

Scientific reports, 2017
Growth and contraction of ecosystem engineers, such as trees, influence ecosystem structure and f... more Growth and contraction of ecosystem engineers, such as trees, influence ecosystem structure and function. On coral reefs, methods to measure small changes in the structure of microhabitats, driven by growth of coral colonies and contraction of skeletons, are extremely limited. We used 3D reconstructions to quantify changes in the external structure of coral colonies of tabular Acropora spp., the dominant habitat-forming corals in shallow exposed reefs across the Pacific. The volume and surface area of live colonies increased by 21% and 22%, respectively, in 12 months, corresponding to a mean annual linear extension of 5.62 cm yr(±1.81 SE). The volume and surface area of dead skeletons decreased by 52% and 47%, respectively, corresponding to a mean decline in linear extension of -29.56 cm yr(±7.08 SE), which accounted for both erosion and fragmentation of dead colonies. This is the first study to use 3D photogrammetry to assess fine-scale structural changes of entire individual colon...

Proceedings of the 12th International Coral Reef Symposium, Jun 2012
Topographic structural complexity of a reef is highly correlated to coral growth rates, coral cov... more Topographic structural complexity of a reef is highly correlated to coral growth rates, coral cover and overall levels of biodiversity, and is therefore integral in determining ecological processes. Modeling these processes commonly includes measures of rugosity obtained from a wide range of different survey techniques that often fail to capture rugosity at different spatial scales. Here we show that accurate estimates of rugosity can be obtained from video footage captured using underwater video cameras (i.e., monocular video). To demonstrate the accuracy of our method, we compared the results to in situ measurements of a 2m x 20m area of forereef from Glovers Reef atoll in Belize. Sequential pairs of images were used to compute fine scale bathymetric reconstructions of the reef substrate from which precise measurements of rugosity and reef topographic structural complexity can be derived across multiple spatial scales. To achieve accurate bathymetric reconstructions from uncalibrated monocular video, the position of the camera for each image in the video sequence and the intrinsic parameters (e.g., focal length) must be computed simultaneously. We show that these parameters can be often determined when the data exhibits parallax-type motion, and that rugosity and reef complexity can be accurately computed from existing video sequences taken from any type of underwater camera from any reef habitat or location. This technique provides an infinite array of possibilities for future coral reef research by providing a cost-effective and automated method of determining structural complexity and rugosity in both new and historical video surveys of coral reefs.

La sociedad, la economía y la biodiversidad del sector cafetalero mexicano enfrentan un periodo p... more La sociedad, la economía y la biodiversidad del sector cafetalero mexicano enfrentan un periodo problemático, debido a la crisis global de sobreproducción y precios bajos por la que atraviesa el café en México. En consecuencia, los cafeticultores se ven orillados a optar por cultivos intensivos, lo cual afecta una proporción importante de la diversidad correspondiente al bosque mesófilo de montaña (BMM), la diversidad que pueden albergar los cafetales. El BMM, así como los servicios ambientales que proporciona, se encuentra amenazado por su poca extensión y la alta presión humana a la que está sometido. El proyecto BIOCAFE-II, dirigido por el Instituto de Ecología de Xalapa (INECOL), evalúa su diversidad y los servicios ambientales, tales como secuestro de carbono, fertilidad del suelo, control biológico de plagas y polinización del café. Esta tesis determina el efecto de diferentes sistemas de cultivo de café sobre la diversidad y abundancia de los insectos polinizadores del café. ...

Measuring Structural Complexity Accurately in Coral Reefs: Meeting an Ecological Milestone to Save Coral Reefs
Habitat structural complexity influences key ecological processess, which influence ecosystem bio... more Habitat structural complexity influences key ecological processess, which influence ecosystem biodiversity and resilience. Previous attempts to quantify complexity of underwater habitats have proven labor intensive and not very accurate; thus not practical nor useful for widespread research, management or conservation across large spatial scales. We propose a novel methodology to accurately compute structural complexity with reduced effort and without invasive techniques, using coral reefs as an example. Coral reefs are valuable ecosystems to human kind, yet they are disappearing at an alarming rate. U3D, our method, involves a set of innovative, multi-view image processing algorithms, which provide rapid and accurate three-dimensional reconstruction from footage taken with a monocular video or still camera. U3D quantifies habitat structural complexity at multiple spatial scales, e.g. from newley settled corals to entire coral reefs. Here, we demonstrate the 3D reconstruction of a coral colony (Acropora spp.) to < 1 mm accuracy over 90% of its surface area, and accurately compute structural complexity of a fore reef area of > 400 m2. The computed structural complexity is compared with empirical in situ measurements and shows that current methodologies significantly underestimate or overestimate measurements, such as surface area and volume of coral colonies. Additionally, we can utilise any existing video sequences taken from any type of underwater camera from any reef habitat or location. This provides an infinite array of possibilities for future research by producing a cost-effective and automated method of quantifying structural complexity, growth and bioerosion, from both new and historical video surveys of underwater habitats, such as coral reefs.
Environmental Conservation, 2014

PLoS ONE, 2014
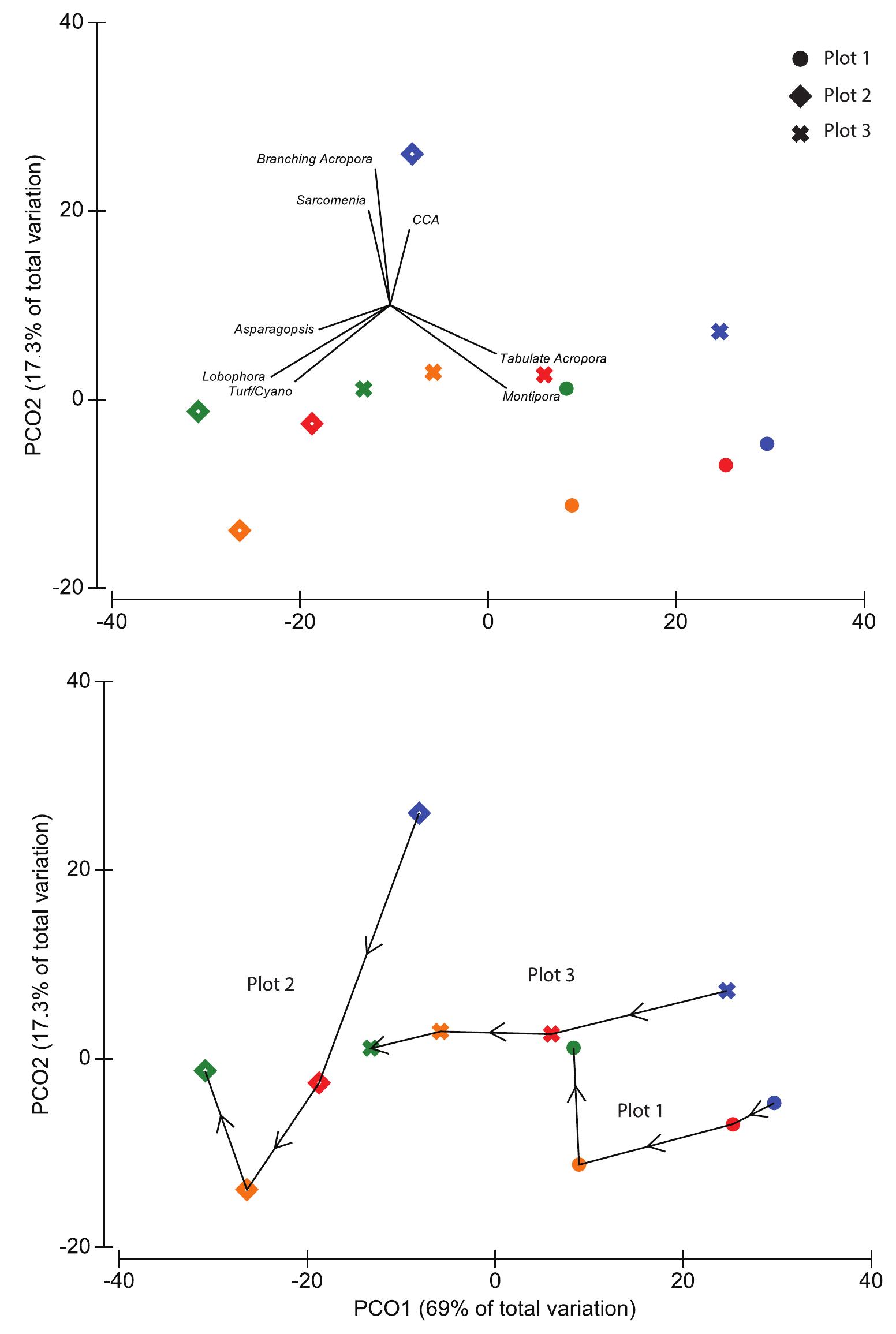
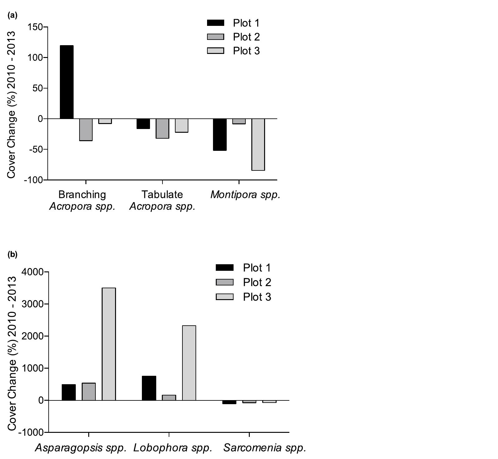
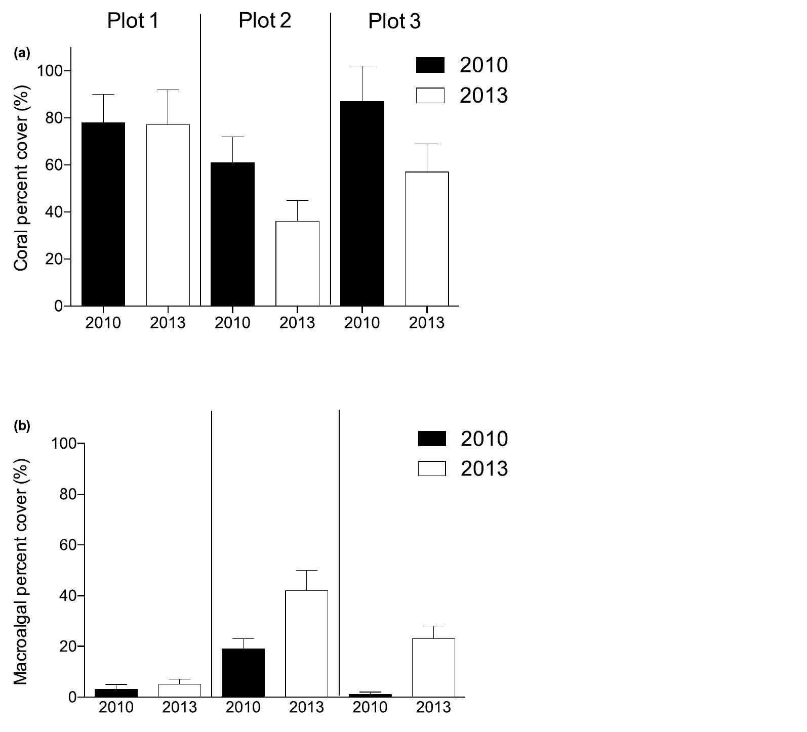
High-latitude reefs support unique ecological communities occurring at the biogeographic boundari... more High-latitude reefs support unique ecological communities occurring at the biogeographic boundaries between tropical and temperate marine ecosystems. Due to their lower ambient temperatures, they are regarded as potential refugia for tropical species shifting poleward due to rising sea temperatures. However, acute warming events can cause rapid shifts in the composition of high-latitude reef communities, including range contractions of temperate macroalgae and bleachinginduced mortality in corals. While bleaching has been reported on numerous highlatitude reefs, post-bleaching trajectories of benthic communities are poorly described. Consequently, the longer-term effects of thermal anomalies on highlatitude reefs are difficult to predict. Here, we use an autonomous underwater vehicle to conduct repeated surveys of three 625 m 2 plots on a coral-dominated high-latitude reef in the Houtman Abrolhos Islands, Western Australia, over a fouryear period spanning a large-magnitude thermal anomaly. Quantification of benthic communities revealed high coral cover (.70%, comprising three main morphospecies) prior to the bleaching event. Plating Montipora was most susceptible to bleaching, but in the plot where it was most abundant, coral cover did not change significantly because of post-bleaching increases in branching OPEN ACCESS Citation: Bridge TCL, Ferrari R, Bryson M, Hovey R, Figueira WF, et al. (2014) Variable Responses of

Environmental Biology of Fishes, 2012
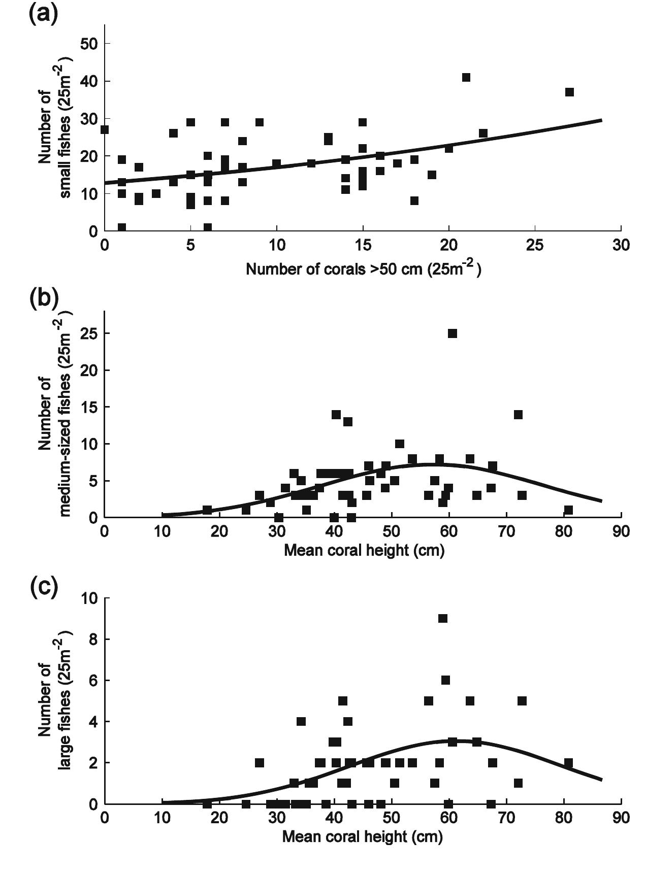
Habitat structure is frequently an important variable affecting species' abundances and diversity... more Habitat structure is frequently an important variable affecting species' abundances and diversity, and identifying the key aspects and spatial scales of habitat complexity is critical for understanding the ecology and conservation of a range of communities. Many coral-reef fishes are intimately linked with benthic habitat structure, and previous research has demonstrated rugosity as an important predictive variable of assemblage parameters. However, these studies typically consider rugosity at small scales, amalgamate multiple habitat features, or are semi-quantitative. This study considers meso-scale rugosity (within 51 plots of 25 m 2 on a Belizean forereef) generated by varying coral densities, heights, and complexities. Seven rugosity metrics were calculated for each plot, and were regressed against each of 11 fish assemblage parameters. Intra-habitat variability of each fish parameter was significantly positively or curvilinearly correlated to at least one metric of mesoscale rugosity, but the metric generating the strongest correlation varied. The abundance of small fishes, and consequently most of the assemblage statistics (e.g., total fish abundance and diversity) were best predicted by the number of tall (>50 cm) corals. The abundance of damselfishes, parrotfish biomass, the abundances of medium-sized and large fishes, and total fish biomass were curvilinearly related to mean coral height. The abundances of wrasses and surgeonfishes were most strongly correlated with the number of corals within a plot. Because coral-generated mesoscale rugosity is an important factor influencing intrahabitat variation in fishes, it should be explicitly considered when investigating fish-habitat relationships and predicting the impacts of coral mortality on ecosystem processes and services.

Coral Reefs, 2012
Many Caribbean coral reefs are undergoing a phase shift from coral to macroalgal dominance. Under... more Many Caribbean coral reefs are undergoing a phase shift from coral to macroalgal dominance. Understanding the processes driving changes in algal abundance and community structure requires clarification of the relative effects of top-down (e.g., herbivory) and bottom-up processes (e.g., light, temperature, and nutrients). To date, a number of studies have examined the relative effects of grazing versus nutrification but interactions between herbivory and natural, seasonal fluctuations in temperature and light have not been investigated. This study considered the dynamics of three Caribbean macroalgal species [Lobophora variegata (Lamouroux), Dictyota pulchella (Hörnig and Schnetter), and Halimeda opuntia (Linnaeus)] and algal turf. A field experiment was established to measure species-specific algal dynamics (changes in abundance) over 13 months in the presence and absence of herbivory. Both herbivory and seasonal changes were important processes controlling macroalgal and turf abundance. Water temperature and light had a key role on D. pulchella; this species' abundance significantly increased in the summer, when water temperature and light were the highest, and decreased during winter. Surprisingly, herbivory did not seem to control D. pulchella directly. However, herbivory was the most important process controlling the abundance of L. variegata, H. opuntia, and turf. The abundance of both algal species was correlated with seasonal changes in the environment, but was depleted outside cages throughout the year. The abundance of H. opuntia was positively correlated with temperature and light, but there was no statistical interaction between drivers. The statistical interaction between temperature and light was significant for the abundance of L. variegata and turf, but algal abundance declined as both factors increased. Overall, macroalgal and turf cover were mainly controlled by herbivory, while community structure (which species contributed to the overall cover) was largely influenced by seasonal changes in temperature and light.

Topographic structural complexity of a reef is highly correlated to coral growth rates, coral cov... more Topographic structural complexity of a reef is highly correlated to coral growth rates, coral cover and overall levels of biodiversity, and is therefore integral in determining ecological processes. Modeling these processes commonly includes measures of rugosity obtained from a wide range of different survey techniques that often fail to capture rugosity at different spatial scales. Here we show that accurate estimates of rugosity can be obtained from video footage captured using underwater video cameras (i.e., monocular video). To demonstrate the accuracy of our method, we compared the results to in situ measurements of a 2m x 20m area of forereef from Glovers Reef atoll in Belize. Sequential pairs of images were used to compute fine scale bathymetric reconstructions of the reef substrate from which precise measurements of rugosity and reef topographic structural complexity can be derived across multiple spatial scales. To achieve accurate bathymetric reconstructions from uncalibrated monocular video, the position of the camera for each image in the video sequence and the intrinsic parameters (e.g., focal length) must be computed simultaneously. We show that these parameters can be often determined when the data exhibits parallax-type motion, and that rugosity and reef complexity can be accurately computed from existing video sequences taken from any type of underwater camera from any reef habitat or location. This technique provides an infinite array of possibilities for future coral reef research by providing a cost-effective and automated method of determining structural complexity and rugosity in both new and historical video surveys of coral reefs.

Clionaids, an abundant group of bioeroding sponges, are important competitors of corals, but thei... more Clionaids, an abundant group of bioeroding sponges, are important competitors of corals, but their interactions with other major taxa are poorly understood. This study examined the relative effect of predation and macroalgal competition on the growth of Cliona tenuis at Glover’s Reef Atoll, Belize. A year-long field experiment was designed to isolate the importance of each factor and their interactions, by means of exclusion cages for fish predators and algal transplantation for competition (Lobophora variegata), over 286 days. To obtain complementary data on the net outcome of predation and competition in situ, predation intensity and the competitive effects of Cliona against five different competitors were monitored in the field. Competition with macroalgae significantly reduced the size of the sponge by 38% ± 11% (SE). Despite a high predation rate (1 bite • 100 cm-2 • h-1), no effect of the interaction with macroalgal competition was detected. The in situ observations found that L. variegata was the strongest competitor, limiting the growth of Cliona. Overgrowth of corals by clionaids and macroalgae continues to be a matter of concern, but our results suggest that the antagonistic competition between sponges and algae might weaken their potential combined effect on corals. Thus, bioeroding sponges should be incorporated into modelling of the transient dynamics of corals.

The influence of habitat quality on a species' demographics is critical for understanding its eco... more The influence of habitat quality on a species' demographics is critical for understanding its ecology and effective conservation. However, quantifying habitat quality is problematic because it may comprise of abiotic components at different spatial scales and also be influenced by biotic processes. This study investigated the relationship between reef-associated Caribbean fishes and habitat quality at 2 spatial scales: (1) multiple characteristics of Montastraea annularis coral colonies (<1 m 2 ) and (2) coral density in a 5 × 5 m plot around each microhabitat. Furthermore, the influence on habitat quality of 2 biotic factors (predation pressure and interactions between competitively superior territorial damselfishes and other species) was considered. A total of 102 M. annularis colonies within thirty 25 m 2 plots were surveyed on a Belizean forereef. Generalised linear mixed-effect models demonstrated that both damselfishes and other reefassociated species were correlated with colony-scale habitat quality (more abundant on taller, refuge-rich colonies). Adult reef-associated species were also correlated with larger-scale habitat quality, being more abundant on colonies with high densities of other Montastraea colonies within 25 m 2 (probably higher quality home ranges). However, the presence of damselfishes was associated with reduced abundances of other reef-associated species on M. annularis colonies, reflecting the importance of both biotic and abiotic controls of habitat quality. On reefs, coral mortality will reduce the density of optimal colonies and potentially increase the proportion occupied by damselfishes. This may lead to smaller populations of inferior competitors as they are increasingly displaced onto sub-optimal microhabitats.
Fishing down a Caribbean food web relaxes trophic cascades
Molecular Ecology, Mar 1, 2012
Understanding patterns of connectivity among populations of marine organisms is essential for the... more Understanding patterns of connectivity among populations of marine organisms is essential for the development of realistic, spatially explicit models of population dynamics. Two approaches, empirical genetic patterns and oceanographic dispersal modelling, have been used to estimate levels of evolutionary connectivity among marine populations but rarely have their potentially complementary insights been combined. Here, a spatially realistic Lagrangian model of larval dispersal and a theoretical genetic model are ...
Uploads
Papers by Renata Ferrari Legorreta