Epipaleolithic by Reuven Yeshurun

Archaeological Research in Asia, 2025
The earliest appearance of permanent architecture in the Levant coincided with intensified diets,... more The earliest appearance of permanent architecture in the Levant coincided with intensified diets, starting at ca. 15,000 years ago, with the Natufian Culture. High-resolution studies of intra-Natufian change are needed for testing the intertwined effects of the novel built environment, subsistence patterns, and population dynamics. The deep Early Natufian sequence of el-Wad Terrace (Mount Carmel, Israel), provides a high-resolution record (ca. 14.8-13.1 ka) that includes an initial phase with little architecture, followed by the intensive architectural phase with ten stratified building levels, in turn capped by more ephemeral habitation levels. Using the rich zooarchaeological samples from each stage, as well as the Late Natufian layer, we test how hunting patterns and bone depositional histories changed with the mode of habitation. All of the 20 stratified samples we studied likely attest to domestic activities, differing in scale but not in type. The initial habitation at the pre-architectural stage appears as very diversified, but with weaker evidence for resource depletion. The subsequent architectural stage presents the most intensive butchery patterns and sediment build-up, together with some shifts in hunting patterns, and large gazelle body-size that may signal some overhunting. The post-architectural stage displays more specialized or seasonal hunting patterns, alongside taphonomic evidence of more frequent abandonments. We suggest that these developments correspond to at least one full demographic cycle, whereby population growth had been mediated for several generations by flexible subsistence strategies, but eventually led to a Malthusian phase and settlement reorganization. Natufian hamlets were dynamic, at times not incorporating permanent architecture. The built spaces-and the habitation dynamics they reflect-are more clearly understood when compared with the non-architectural phases.

Journal of Paleolithic Archaeology, 2024
The terminal Pleistocene Natufian Culture of the Levant is one of the best-documented cases of pr... more The terminal Pleistocene Natufian Culture of the Levant is one of the best-documented cases of preagricultural sedentism in prehistory, thanks to the proliferation of durable architecture, burial grounds, and intensified socioeconomic practices. Hof Shahaf, located on the shore of Lake Kinneret in Israel, is a recently excavated Natufian site whose interpretation presents a conundrum. On the one hand, the site produced evidence of architecture, burial, and diverse subsistence practices, just like the rich and permanently occupied hamlets of this culture. On the other hand, it clearly diverged in the meager accumulation of artifacts (lithics and fauna) and an apparent absence of aquatic resource exploitation. Here, we aim to understand the nature of habitation at Hof Shahaf: whether it was a sedentary hamlet, an ephemeral residential camp, or a task-specific logistic locality. The latter two site types are not well documented in the Early Natufian of the Mediterranean climate zone. We provide a zooarchaeological and taphonomic account of the site, supplemented with lithic data, to investigate the paleoenvironment, subsistence, and site-occupation intensity, all against the backdrop of a specific setting (one of the lowest recorded lake stands). Our results indicate that the site primarily falls within a middle ground between classic sedentary hamlets and more specialized sites. It may have functioned as an ephemeral residential camp for foragers traveling to the Kinneret Basin for specific or seasonal tasks. Nevertheless, the site still held some significance, evidenced by the investment in building a large structure and burying the dead.

Journal of Archaeological Method and Theory, 2024
The open-air Epipalaeolithic (Geometric Kebaran) site of Neve David (Mount Carmel, Israel) has pl... more The open-air Epipalaeolithic (Geometric Kebaran) site of Neve David (Mount Carmel, Israel) has played an important role in reconstructing scenarios of sedentarization in the Levant since its initial excavation in the 1980s, and has been seen as heralding later Natufian socioeconomic adaptations. However, little was known about the site's formation processes and spatial organization, hindering the testing of this view. Employing new field data from Neve David, we present a combined macro-and microscopic analyses of the spatial and temporal distribution of lithics, faunal remains, phytoliths and wood ash, interpreted with the aid of ethnoarchaeological data and comparison to other Palaeolithic sites in the region. Post-depositional disturbance seems to be minimal at Neve David and we therefore suggest that the spatial distribution of the finds mostly represents human use of space. Throughout the thick sequence of occupation episodes, distinct division of space and well-preserved trampled occupation surfaces are generally lacking. We suggest that this pattern represents reduced mobility, as prolonged human activity blurs the primary depositional signal of the activity remains. The density of the finds generally increases in the upper layers of the site. Accordingly, we hypothesize that at the beginning of activity, the duration of occupation was longer and only later in the sequence of events was there an increase in group size. Our findings further highlight the position of the Geometric Kebaran as a pivotal stage in understanding the gap between the preceding highly mobile societies and the succeeding sedentary and demographically-larger Natufian societies.

Scientific Reports, 2020
Squamate (lizard and snake) remains are abundant in the terminal Pleistocene Natufian archaeologi... more Squamate (lizard and snake) remains are abundant in the terminal Pleistocene Natufian archaeological sites of the Levant, raising the question of whether they constitute part of the broad-spectrum diet characteristic of this period. However, the role of squamates in Natufian diets remains unclear, as they are taphonomically under-studied. We conducted a series of experiments and actualistic observations that tested the impact of pre- and post-depositional processes on squamate vertebrae. We emphasized the multiple destruction processes that leave overlapping or altered marks on the bones, such as digestion marks that were modified by trampling. The resulting bone modification typology provides a tool for studying archaeological squamate remains. The experimental data were compared to the archaeological bone samples of the Natufian sequence of el-Wad Terrace (Mount Carmel, Israel, 15,000–12,000 cal BP). The Natufian squamate samples deviate from all actualistic ones in their lesser e...

Quaternary International, 2017
The Epipaleolithic sequence of the southern Levant (ca. 24,000e11,500 cal. BP) reflects the shift... more The Epipaleolithic sequence of the southern Levant (ca. 24,000e11,500 cal. BP) reflects the shift from mobile to sedentary foraging societies, eventually paving the way to nascent villages, domestication and farming. Early and middle Epipaleolithic cultures (locally, the Kebaran and the Geometric Kebaran) generally produce an archaeological signature of mobile foragers, while the late Epipaleolithic Natufian Culture is renowned for the regular and intensified appearance of durable architecture, cemeteries, groundstones and art, joined with a broad-spectrum economy, and therefore indicates a more complex and sedentary society. Epipaleolithic archaeofaunas have been thoroughly investigated to detect shifts in site-occupation intensity, including changes in prey abundances, ungulate culling patterns and carcass processing habits, but carcass transport decisions received less attention. The transition to sedentary living in the Natufian would entail the exploitation of a defined and contracted territory around the site. In this case, central-place foraging theory predicts that ungulates will be hunted in the site's proximity and hence will be carried away in a more complete form, undergoing minimal or no field butchery. Therefore, we predict that skeletal-element profiles in sedentary Natufian hamlets will be more complete than in pre-Natufian camps, used by mobile foragers. We test this prediction by constructing detailed skeletal-element profiles and examining skeletal-element evenness. The results indicate that ungulate carcasses were transported significantly more completely in the Natufian assemblages, supporting our prediction. We further zoom in to explore the differential distribution of skeletal element abundances within a Natufian hamlet, showing the discard and attrition patterns that eventually produced our skeletal-element record. The results of our analysis of skeletal-element evenness correspond to other archaeological proxies for increased site-occupation intensity and territorial contraction in the Natufian.
Antiquity, 2017
The Natufian culture (c. 15-11.5 ka cal BP) marks a pivotal step in the transition from hunting a... more The Natufian culture (c. 15-11.5 ka cal BP) marks a pivotal step in the transition from hunting and gathering to sedentism and farming in the Near East. Although conventionally divided into Early and Late phases, this internal chronology lacks support from reliable absolute dates. This is now addressed by new AMS dating from two neighbouring Natufian sites at Mount Carmel in Israel: Raqefet Cave, conventionally assigned to the Late phase of the Natufian; and el-Wad Terrace, spanning the entire Natufian sequence. Results indicate that these two sites were in fact contemporaneous at some point, but with distinct lunate assemblages. Distinguishing between Natufian phases is, therefore, more complex than previously thought; the social implications of diverse but co-existing cultural manifestations must be considered in any future reconstruction of the Natufian.

Quaternary International, 2017
Engraved artifacts from pre-Natufian Levantine Epipaleolithic contexts are notable for their scar... more Engraved artifacts from pre-Natufian Levantine Epipaleolithic contexts are notable for their scarcity. This is so even though a number of implements have recently been added to the inventory. We present here an analysis of two engraved flint nodules recovered from the Geometric Kebaran site of Neve David (Mt. Carmel, Israel) incorporating use-wear studies and experiments on similar nodules from adjacent raw materials sources and provide online 3D models derived from photogrammetry. The engraved nodules were procured from two distinct flint outcrops in the site's immediate vicinity and were easy to engrave using the abundant flint flakes available at the site. We interpret one nodule as having two sets of decoration grooves, while in the other we see little evidenceeif at allefor decoration or symbolic aspects. We then discuss the finds within the context of engraved objects from preceding Kebaran, contemporaneous Geometric Kebaran and subsequent Natufian sites. The current Epipalaeolithic repertoire in the southern Levant demonstrates that Kebaran and Geometric Kebaran engraved stone objects are rare and usually comprise small stones, plaquettes and nodules. In contrast, engraved stone artifacts were recovered in virtually every Natufian site and include large engraved slabs, small items and even the shaft wall of a bedrock mortar, with a wider variety of patterns and symbols.

PLOS ONE, 2020
The miniaturization of stone tools, as reflected through the systematic production of bladelets a... more The miniaturization of stone tools, as reflected through the systematic production of bladelets and bladelet tools (microliths), characterized many industries of the Late Pleistocene, with the Levantine Epipalaeolithic serving as a well-studied example. It is commonly held that microliths were used as modular inserts in composite projectiles, while their incorporation in other tools for different tasks is generally overlooked, the latter aspect being the main focus of this paper. We present here a more inclusive approach through a case study of the Geometric Kebaran (Middle Epipalaeolithic, ca. 18,500-15,000 cal BP) site of Neve David, Mount Carmel, Israel. Recent excavations at the site exposed a variety of features, and one well-preserved shallow pit provided a large lithic assemblage with ca. 90 microliths. We studied this assemblage using both the low-and high-magnification use-wear protocols, accompanied by a range of experiments. Our results show that a) the fragmentation rate is very high in this assemblage (ca. 90%), b) most of the microliths have identifiable use-wear, c) the microliths were commonly used as inserts in composite projectiles, d) many microliths were used for functions not related to weaponry and hunting, such as wood-working, weed harvesting and meat processing. These findings strongly support the suggestion that the small insets, regardless of their specific type (trapeze, rectangle, backed/retouched bladelet), were used in a wide variety of composite tools. We argue that such a versatile approach and flexibility in the use of microliths reflect a technological advantage where a minimal set of microlithic types, produced in large numbers, could provide the required elements for weapons, as well as for a variety of cutting, processing and harvesting tools needed for mundane tasks at a large Middle Epipalaeolithic camp.

Charred wood remains in the natufian sequence of el-Wad terrace (Israel): New insights into the climatic, environmental and cultural changes at the end of the Pleistocene
Quaternary Science Reviews, 2016
Abstract The major social and economic changes associated with the rise of a sedentary lifestyle ... more Abstract The major social and economic changes associated with the rise of a sedentary lifestyle and the gradual transition to food production in the southern Levant are often considered to have been triggered by climate changes at the end of the Pleistocene (∼20,000–11,000 years BP). This explanation, however, is biased by the scarcity of high-resolution climate records directly associated with human activity and the lack of refined palaeoecological studies from multi-stratified sites in the area. Here, we present the results of an anthracological analysis, carried out on charcoals collected along a continuous column of archaeological sediments in the Natufian site of el-Wad Terrace (Mount Carmel, Israel). We also present the carbon isotopes analysis of 14C-dated archaeological remains of Amygdalus sp. The analyses of charcoal shows the predominance of an oak forest including Quercus calliprinos and ithaburensis around the site during the Early Natufian building phase (∼14,600–13,700 cal BP), and the values of Δ13C point to a high rainfall rate. This period is followed by a marked decrease in the local rainfall between ∼13,700 and 12,000 cal BP). The reduction, culturally associated with the latest Early Natufian and the Late Natufian, is independently recorded by the speleothems of the region: Soreq Cave and Jerusalem Cave. This period incorporates an increase in drought tolerant species such as Amygdalus sp. Thermo-Mediterranean species, such as Olea europaea and Ceratonia siliqua, as well as Pistacia palaestina, which dominate the modern landscape, become established in the Holocene. We conclude that the Natufian settlement at el-Wad Terrace flourished in the context of oak forests, and subsequently occupation intensity decreased in concurrence to the drying trend. This shift does not correspond to the cultural typology (i.e. Early Natufian vs. Late Natufian). Human response to climate change at the terminal Pleistocene Levant was multifaceted and localized. Its understanding requires the analysis of records that are well-tied to human ecology and behavior.

Geoarchaeology, 2016
The Natufian sequence at the site of el-Wad Terrace (EWT) shows a complex depositional record der... more The Natufian sequence at the site of el-Wad Terrace (EWT) shows a complex depositional record derived from intertwined soil-geomorphic and human processes. In order to identify site formation processes at EWT, we analyzed gravel composition, its distribution within the stratigraphic sequence, and micromorphology of both fine-grained material and gravel rims. The fine deposits within the EWT sequence are magnetically enhanced anthropogenic sediments mixed with a colluvial component. They contain miniscule burnt bones, charcoal, and calcareous aggregates reminiscent of reworked ash. The constructed stone floors in the earlier Early Natufian (ca. 15.0-13.7/13.0 ka) are largely covered by crusts on their undersides. In thin sections, the crusts exhibit a sequence of thin phosphate coatings directly overlying limestone calcite followed by clayey and secondary pedogenic calcite on the outer side. The expected post-depositional erosion of floors was likely hampered by their cementation resulting from pedogenic calcite redeposition. The major break in coarse deposition appears to have occurred in the later Early Natufian occupation phase marked by low rate of scree formation.

Scientific Reports, 2021
We present the results of a detailed geochemical provenance study of 54 Natufian (ca. 15,000–11,7... more We present the results of a detailed geochemical provenance study of 54 Natufian (ca. 15,000–11,700 cal. BP) basalt pestles from the site of el-Wad Terrace (EWT), Israel. It is the first time precise locations from where basalt raw materials were derived are provided. The results indicate that the Natufian hunter-gatherers used multiple sources of basaltic rocks, distributed over a large area surrounding the Sea of Galilee. This area is located at a considerable distance from EWT, ca. 60–120 km away, in a region where contemporaneous Natufian basecamps are few. We consider two possible models that suggest vehicles for the transportation of these artifacts to EWT, namely the exchange obtaining model (EOM) and the direct procurement model (DPM). We argue that these mechanisms are not mutually exclusive and may have operated together. We also suggest that at a time of increasing Natufian territoriality, a large area around the Sea of Galilee remained unclaimed. The paper concludes with...

A Late Pleistocene high-resolution paleoclimate reconstruction: insights from the archaeobotanical assemblage and the carbon isotope analysis of wild almond (Amygdalus sp.) from Raqefet Cave, Mount Carmel, Israel
Quaternary Science Reviews, 2021
Abstract Raqefet Cave is located in southeast Mount Carmel, Israel. It contains a long archaeolog... more Abstract Raqefet Cave is located in southeast Mount Carmel, Israel. It contains a long archaeological sequence with two major occupations: in the early Upper Paleolithic (Levantine Aurignacian culture, ca. 36,000–35,000 cal. BP) and the Late Epipaleolithic (Natufian culture, ca. 14,000–12,000 cal. BP). Abundant charred remains were found in the cave's deposits consisting of various species. Drawing on Δ13C values of dated Amygdalus sp. (almond) charcoal specimens, we sought to reconstruct Late Pleistocene precipitation patterns from a high-resolution archaeological record. The results produced the longest, single-site, plant-based paleoclimatic sequence in the southern Levant, and they generally correspond to other paleoclimatic proxies generated for the region. They indicate that the plant taxa and reconstructed precipitation levels were all in the range of modern eastMediterranean climate but with some notable fluctuations. Specifically, we highlight the rainfall differences between the dryer Levantine Aurignacian and the wetter Natufian cultures.

Scientific Reports, 2020
Squamate (lizard and snake) remains are abundant in the terminal Pleistocene Natufian archaeologi... more Squamate (lizard and snake) remains are abundant in the terminal Pleistocene Natufian archaeological sites of the Levant, raising the question of whether they constitute part of the broad-spectrum diet characteristic of this period. However, the role of squamates in Natufian diets remains unclear, as they are taphonomically under-studied. We conducted a series of experiments and actualistic observations that tested the impact of pre-and post-depositional processes on squamate vertebrae. We emphasized the multiple destruction processes that leave overlapping or altered marks on the bones, such as digestion marks that were modified by trampling. The resulting bone modification typology provides a tool for studying archaeological squamate remains. the experimental data were compared to the archaeological bone samples of the Natufian sequence of el-Wad Terrace (Mount Carmel, Israel, 15,000-12,000 cal BP). The Natufian squamate samples deviate from all actualistic ones in their lesser evidence of digestion and much greater indications for trampling, erosion and breakage. the taphonomic study, coupled with intra-site analysis, has unraveled the complex depositional history of el-Wad terrace, enabling us to differentiate between cultural and non-cultural contexts and to identify possible human consumption of the European glass lizard and the large whip snake in the Natufian.

PLOS ONE, 2020
The miniaturization of stone tools, as reflected through the systematic production of blade-lets ... more The miniaturization of stone tools, as reflected through the systematic production of blade-lets and bladelet tools (microliths), characterized many industries of the Late Pleistocene, with the Levantine Epipalaeolithic serving as a well-studied example. It is commonly held that microliths were used as modular inserts in composite projectiles, while their incorporation in other tools for different tasks is generally overlooked, the latter aspect being the main focus of this paper. We present here a more inclusive approach through a case study of the Geometric Kebaran (Middle Epipalaeolithic, ca. 18,500-15,000 cal BP) site of Neve David, Mount Carmel, Israel. Recent excavations at the site exposed a variety of features, and one well-preserved shallow pit provided a large lithic assemblage with ca. 90 microliths. We studied this assemblage using both the low-and high-magnification use-wear protocols, accompanied by a range of experiments. Our results show that a) the fragmentation rate is very high in this assemblage (ca. 90%), b) most of the microliths have identifiable use-wear, c) the microliths were commonly used as inserts in composite projectiles, d) many microliths were used for functions not related to weaponry and hunting, such as wood-working, weed harvesting and meat processing. These findings strongly support the suggestion that the small insets, regardless of their specific type (trapeze, rectangle, backed/retouched blade-let), were used in a wide variety of composite tools. We argue that such a versatile approach and flexibility in the use of microliths reflect a technological advantage where a minimal set of microlithic types, produced in large numbers, could provide the required elements for weapons, as well as for a variety of cutting, processing and harvesting tools needed for mundane tasks at a large Middle Epipalaeolithic camp. PLOS ONE PLOS ONE | https://doi.org/10.1371/journal.pone.

A micro-wear analysis of Natufian gazelle phalanx beads from el-Wad Terrace, Mount Carmel, Israel
Journal of Archaeological Science: Reports, 2020
The late Epipaleolithic Natufian Culture of the Levant (ca. 15,000–11,700 BP) is renowned for its... more The late Epipaleolithic Natufian Culture of the Levant (ca. 15,000–11,700 BP) is renowned for its rich bone industry. A specific type of bone bead, the gazelle phalanx bead, is abundant in several sites but nearly absent in others. In this study, phalanx bone beads from the current excavations at the Natufian site of el-Wad Terrace (Mount Carmel, Israel) were studied through use-wear analysis, integrated in an experimental program to reconstruct their production sequence, mode of suspension, and use. The experimental program included controlled experiments of abrasion, polishing, and drilling, replication experiments, and suspension experiments producing an extensive database of wear patterns. Based on the experimental program, the sequence of operations was inferred by detecting the intersection of the traces. A repetitive four-step procedure is reconstructed, including skinning the bone, scraping it and making a transversal cut with flint tools, then drilling the bone using the pump drill technique, followed by abrasion against limestone with water to create a smooth and polished bone surface. Reddish powder found on ten beads was chemically analyzed through SEM EDX indicating an additional step of coloring with ochre. Traces on the drilled holes indicate the use of organic fibers for suspension and a unique type of use-wear also showed the contact against leather material indicating that the Natufians utilized gazelle phalanx beads in their daily clothing. A well-established craft is therefore revealed, displaying the artistic capability to express the Natufian identity in a complex society where rules had to be portrayed to others so that organization and structure could maintain the (sedentary) community intact.
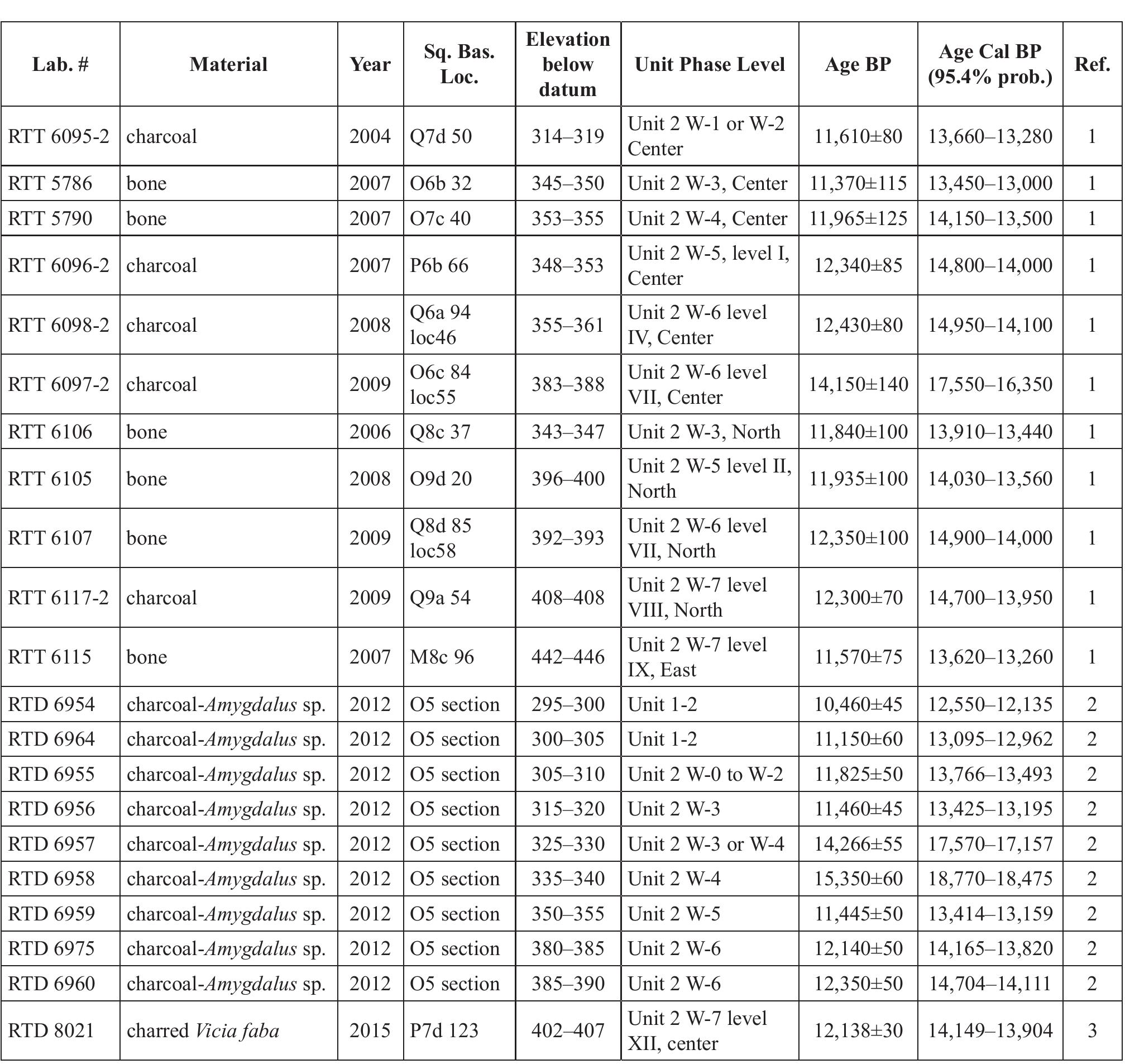
The site of el-Wad Cave, and especially the adjacent terrace, is one of the deepest and most comp... more The site of el-Wad Cave, and especially the adjacent terrace, is one of the deepest and most complex Natufian sites in the Mediterranean Levant. The northeast terrace of el-Wad has been excavated by us since 1994, revealing a rich Late Natufian layer and thick, multi-phased Early Natufian deposits. Here we focus on the 2007-2012 excavation seasons at el-Wad Terrace (EWT) and provide a detailed, updated account of the stratigraphy, sedimentology and dating of the site, the abundant Early Natufian architectural features and lithics, the ground stone tools assemblage and a primary burial of an adult woman.

Our compilation of zooarchaeological data from a series of important archaeological sites spannin... more Our compilation of zooarchaeological data from a series of important archaeological sites spanning the Epipaleolithic through Pre-Pottery Neolithic B periods in the Mediterranean Hills of the southern Levant contributes to major debates about the beginnings of ungulate management in Southwest Asia. The data support an onset of ungulate management practices by the Early PPNB (10,500–10,000 cal. BP), more than 500 years earlier than previously thought for this region. There is a clear developmental connection between reduced hunting intensity and the uptake of ungulate management, confirming that this process began in response to local, density-dependent demographic factors. The early process of goat domestication in the southern Levant appears to have been overwhelmingly local. This may have been true for cattle and pigs as well. Nevertheless, the loose synchrony of animal management trends across Southwest Asia was undoubtedly enabled by large-scale social networks that transmitted knowledge. The results add to growing evidence that animal management processes followed multiple regional evolutionary pathways within the Fertile Crescent. Because of its profound impact on all aspects of human sociocultural life, the forager-farmer transition has been subject to intense scrutiny. Its investigation has an especially rich and dynamic history in Southwest Asia, home to the earliest evidence for plant and animal management and domestication 1,2. Although the amount and quality of data have increased tremendously over the last few decades, the details of domestication processes and associated explanatory models are under continual revision. Current controversies concern the timing, background conditions, and nature of domestication trends. While the Fertile Crescent is widely recognized as a heartland of plant and animal domestication, there is less agreement about the areas over which certain species came under management and human-induced genetic alteration 1,3. Early indications of the ungulate domestication process include human control over the reproduction or culling of wild type animals, rather than evidence of extensive genetic or morphologic changes. Did management lead to domestic variants in only one place, or were there concurrent evolutionary hotspots where local conditions catalyzed diverse modes and pathways to change 4,5 ? Because domestication is a process that brings about changes at the level of populations, it may be impossible to pin it to a single location of origin 6,7. Nor is this process unidirectional; it may include reversals, dead ends, interruptions, and multiple episodes of genetic introgression 7–9. Like others 7–9 , we view the process of domesti-cation as a continuum characterized by intensifying human-animal interactions. These range from controlling the movements of wild animals to selective culling, and ultimately, the selective breeding of animals in a captive environment. Here, we explore the early stages of the domestication process when all animals retained the wild phenotype (a.k.a. morphologically wild). We use the term managed to distinguish morphologically wild animals under human control from domesticated individuals that have undergone phenotypic change as the result of long-term human intervention 9. We focus especially on the lesser known, incipient part of the management process, before animals were selectively culled or bred. This scale of interaction is termed " game management " by Zeder 6 or " control in the wild " by Vigne et al. 9 and may include translocation or protection, restriction of movements, or

The Epipaleolithic sequence of the southern Levant (ca. 24,000-11,500 cal. BP) reflects the shift... more The Epipaleolithic sequence of the southern Levant (ca. 24,000-11,500 cal. BP) reflects the shift from mobile to sedentary foraging societies, eventually paving the way to nascent villages, domestication and farming. Early and middle Epipaleolithic cultures (locally, the Kebaran and the Geometric Kebaran) generally produce an archaeological signature of mobile foragers, while the late Epipaleolithic Natufian Culture is renowned for the regular and intensified appearance of durable architecture, cemeteries, groundstones and art, joined with a broad-spectrum economy, and therefore indicates a more complex and sedentary society. Epipaleolithic archaeofaunas have been thoroughly investigated to detect shifts in site-occupation intensity, including changes in prey abundances, ungulate culling patterns and carcass processing habits, but carcass transport decisions received less attention. The transition to sedentary living in the Natufian would entail the exploitation of a defined and contracted territory around the site. In this case, central-place foraging theory predicts that ungulates will be hunted in the site's proximity and hence will be carried away in a more complete form, undergoing minimal or no field butchery. Therefore, we predict that skeletal-element profiles in sedentary Natufian hamlets will be more complete than in pre-Natufian camps, used by mobile foragers. We test this prediction by constructing detailed skeletal-element profiles and examining skeletal-element evenness. The results indicate that ungulate carcasses were transported significantly more completely in the Natufian assemblages, supporting our prediction. We further zoom in to explore the differential distribution of skeletal element abundances within a Natufian hamlet, showing the discard and attrition patterns that eventually produced our skeletal-element record. The results of our analysis of skeletal-element evenness correspond to other archaeological proxies for increased site-occupation intensity and territorial contraction in the Natufian.

Research on the sedentarization and intensification processes in the Epipaleolithic period of the... more Research on the sedentarization and intensification processes in the Epipaleolithic period of the Levant, which culminated in the Natufian Culture, often turns to the earlier Epipaleolithic cultures to discern the roots of these important developments. Specifically, the investigation of Geometric Kebaran sites in the Mediterranean southern Levant, using up-to date research methods, may enable robust comparisons between the latest pre-Natufian Epipaleolithic phase and the Natufian phase. A site that has played a key role in all discussions of the pre-Natufian Epipaleolithic is Neve David, inside the modern city of Haifa, which was investigated between 1984 and 1990 by one of us (D. Kaufman). Here we provide a summary of the previous fieldwork at the site, followed by a report on our renewed project at Neve David which commenced on September 2014. We present new studies on the geomorphology and sedimentology, accounts of the new lithic and faunal assemblages, and the first microbotanical (phytolith) data from the site. We conclude that rich Epipaleolithic layers are still preserved at Neve David, and that they are thicker and more spread than previously estimated. The renewed fieldwork at the site, in conjunction with revisiting the materials collected in the previous campaign, has significant potential to contribute to the insufficient knowledge of the pre-Natufian Epipaleolithic in the Mediterranean southern Levant.

One of the hallmarks of the Natufian Culture of the Levant, a terminal Pleistocene sedentary fora... more One of the hallmarks of the Natufian Culture of the Levant, a terminal Pleistocene sedentary foraging society (ca. 15,000–11,700 cal. BP), is a ubiquitous bone industry. During the past eighty years, Natufian worked-bone assemblages have been subjected to detailed stylistic, technological, and traceological analyses. Here we extract further information on the production, use, and disposal of bone artifacts in the Early–Late Natufian sequence of el-Wad Terrace (Mount Carmel, Israel), first by fully integrating them into a comprehensive zooarchaeological and taphonomic study, and then by examining their distribution and preservation patterns in relation to architectural features. On-site production, which generally followed butchery and consumption and which was an extension of these activities, occurred at el-Wad. It made use of discarded butchery refuse, such as gazelle feet and cracked gazelle limb bones. Bone beads were crafted just outside of the dwelling structure and generally used in domestic contexts, as were other bone artifacts. Fragmentation and burning patterns show that the worked items were discarded with other faunal refuse in the place of use and underwent a similar taphonomic history to the total faunal assemblage. Diachronically, a quantitative reduction in bone artifacts and the dwindling use of bone ornaments are noted in the Late Natufian. We see the integration of the study of bone artifacts with zooarchaeology and general and contextual taphonomy as being critical for fully understanding of Natufian technological behavior, site formation processes, use of space, and changes through time.
Uploads
Epipaleolithic by Reuven Yeshurun