Papers by Sarath Chandran

Classical material testing techniques experience limitations for material model parameter identif... more Classical material testing techniques experience limitations for material model parameter identification especially when heterogeneous strain fields occur. Indeed, when only global test parameters such as force and elongation are used to calculate material parameters, significant discrepancies are often observed between finite element simulations of the test and the actual test. These discrepancies can be attributed to inconsistencies in sample machining, material variations and testing conditions, however, also to the material parameter determination based on global data. Major improvements can be obtained when full field comparison of the test data with finite element analysis is considered to calculate the constitutive model parameters. In this study, a coupled numerical- experimental technique has been developed to estimate the fracture parameters of both ductile and brittle materials. The approach is applied to a set of smooth and notched specimens of a dual phase steel targeti...

Dynamic fracture of a pipeline steel
The occurrence of a crack propagating along a pipeline is a catastrophic event, which involves bo... more The occurrence of a crack propagating along a pipeline is a catastrophic event, which involves both economic losses and environmental damage. Therefore, the study of the fracture initiation and propagation properties of a pipeline is an essential part of its integrity assessment. Fracture prediction, however, is a challenging task, since it requires knowledge of the interaction between the dynamic forces driving crack growth, and the resistance forces opposing fracture propagation. Moreover, plenty of material properties should be taken into account. Aiming at a better understanding of the plastic hardening, damage and fracture properties of an API X70 pipeline steel, and how these are affected by the strain rate, in present contribution, a comprehensive set of test results is presented. The influence of loading conditions is studied by performing static and dynamic experiments with different stress triaxialities: tensile tests on smooth and notched samples and compression tests on ...
Engineering Fracture Mechanics, 2021
This is a PDF file of an article that has undergone enhancements after acceptance, such as the ad... more This is a PDF file of an article that has undergone enhancements after acceptance, such as the addition of a cover page and metadata, and formatting for readability, but it is not yet the definitive version of record. This version will undergo additional copyediting, typesetting and review before it is published in its final form, but we are providing this version to give early visibility of the article. Please note that, during the production process, errors may be discovered which could affect the content, and all legal disclaimers that apply to the journal pertain.

Procedia Structural Integrity, 2018
During their operation, modern aircraft engine components are subjected to increasingly demanding... more During their operation, modern aircraft engine components are subjected to increasingly demanding operating conditions, especially the high pressure turbine (HPT) blades. Such conditions cause these parts to undergo different types of time-dependent degradation, one of which is creep. A model using the finite element method (FEM) was developed, in order to be able to predict the creep behaviour of HPT blades. Flight data records (FDR) for a specific aircraft, provided by a commercial aviation company, were used to obtain thermal and mechanical data for three different flight cycles. In order to create the 3D model needed for the FEM analysis, a HPT blade scrap was scanned, and its chemical composition and material properties were obtained. The data that was gathered was fed into the FEM model and different simulations were run, first with a simplified 3D rectangular block shape, in order to better establish the model, and then with the real 3D mesh obtained from the blade scrap. The overall expected behaviour in terms of displacement was observed, in particular at the trailing edge of the blade. Therefore such a model can be useful in the goal of predicting turbine blade life, given a set of FDR data.
Procedia Engineering, 2017

European Journal of Mechanics - A/Solids, 2021
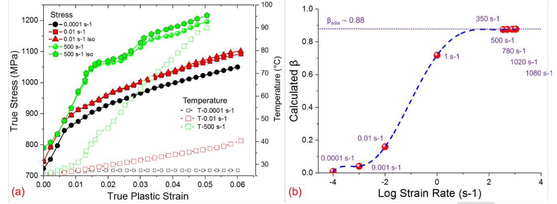
To assess the effect of stress state and strain rate on damage and fracture of a commercial DP100... more To assess the effect of stress state and strain rate on damage and fracture of a commercial DP1000 steel with a very fine microstructure, an extensive series of tests were performed. Using finite element simulations, eight different sample geometries, including a dogbone, a central hole, a shear and several notched samples, were designed to achieve both proportional and nonproportional stress states using conventional test benches. Tested at quasi-static, intermediate and, dynamic deformation rates, in total 175 tests were performed. Local strain fields were obtained by digital image correlation. A correction procedure was worked out to eliminate the influence of thermal softening. After testing, scanning electron microscopy was employed to analyse the fracture surfaces. Tests and fractography allowed to draw systematic conclusions on the response of the DP1000 steel. A two-stage strain rate sensitivity of strength is found with a gradually increasing slope at low strain rates and a much steeper rise at high strain rates, which is further amplified at higher triaxiality stress states. The experimentally derived fracture loci revealed a dominant, detrimental impact of the stress triaxiality that is most pronounced at intermediate strain rates. A remarkable, non-monotonic evolution of the fracture strain with strain rate is observed: the highest values were obtained at intermediate rates. Scanning electron microscopy images of the fracture surfaces indicate a void-assisted ductile fracture, though with the occurrence of brittle features triggered at dynamic strain rates. Fracture morphology and dimple features are heavily dependent on stress state, strain rate and loading path.

Dynamic testing of sheet metals has become more important due to the need for more reliable vehic... more Dynamic testing of sheet metals has become more important due to the need for more reliable vehicle crashworthiness assessments in the automotive industry. The study presents a comprehensive set of experimental results that covers a wide range of stress states on a dual phase automotive sheet steel. Split Hopkinson bar tensile (SHBT) tests are performed on dogbone shaped samples to obtain the plastic hardening properties at high strain rates. A set of purpose designed sample geometries comprising of three notched dogbone tension samples is tested at high strain rates to characterise the dynamic damage and fracture properties under well controlled stress states. The geometry of the samples is optimised with the aid of finite element analysis. During the tests, high speed photography together with digital image correlation are implemented to acquire full field measurements and to gain more insight into the localisation of strains at high strain rates. An experimental-numerical approach is proposed to effectively determine the fracture characteristics of the dual phase steel under extreme conditions. A modified Bai-Wierzbicki model is implemented to assess the damage initiation and subsequent failure. Additionally, the fracture mechanisms are studied utilizing scanning electron microscopy.

The dynamic behavior of materials must be considered when determining the crashworthiness of a ve... more The dynamic behavior of materials must be considered when determining the crashworthiness of a vehicle and the safe design of the vehicle components. Series of mechanical tests at wide ranges of stress and strain rates are essential to identify the material's damage and fracture behavior identical to realistic conditions. In the present contribution, an extensive experimental program has been developed to assess the dynamic fracture properties of dual phase steel (DP-K 1000). Various tensile specimen geometries covering wide range of stress states are employed for testing at quasi static conditions. The limitations imposed on the sample geometries by clamping technique and requirements of high strain rate test based on split Hopkinson bar test principle restrict the use of static geometries for the dynamic range. An optimization approach based on finite element simulations has been adopted to determine the most suitable dimensions for various tensile specimen geometries quantified by stress triaxiality. The possibility of introducing a standard for dynamic sample geometries has also been investigated. Moreover, the influence of transition zone on the deformation of the specimen has been analyzed and incorporated into the optimization strategy. The optimized specimen geometries are finally adopted for dynamic material testing so as to derive enough inputs for constitutive material modeling and to facilitate fundamental material research.

The occurrence of a crack propagating along a pipeline is a catastrophic event, which involves bo... more The occurrence of a crack propagating along a pipeline is a catastrophic event, which involves both economic losses and environmental damage. Therefore, the study of the fracture initiation and propagation properties of a pipeline is an essential part of its integrity assessment. Fracture prediction, however, is a challenging task, since it requires knowledge of the interaction between the dynamic forces driving crack growth, and the resistance forces opposing fracture propagation. Moreover, plenty of material properties should be taken into account. Aiming at a better understanding of the plastic hardening, damage and fracture properties of an API 5L X70 pipeline steel, and how these are affected by the strain rate, in present contribution, a comprehensive set of test results is presented. The program includes static and dynamic tensile tests on smooth and notched samples, and compression tests on cylindrical samples. Test result analysis is supported by finite element (FE) modelling. As such, the study aims at providing data needed for both fundamental material research and constitutive material modelling.
Purpose-Identification of critical success factors (CSFs) for any continuous improvement initiati... more Purpose-Identification of critical success factors (CSFs) for any continuous improvement initiative is important as it allows the organizations to focus their efforts on these factors to ensure a success. The purpose of this paper is to present CSFs for the effective implementation of Lean Six Sigma, to analyse the implementation of Lean Six Sigma focussing on the CSFs identified in the literature.

The paper deals with the concept, introduction and implementation approach of Total Productive Ma... more The paper deals with the concept, introduction and implementation approach of Total Productive Maintenance (TPM) in detail. TPM is a maintenance program which involves a newly defined concept for maintaining plants and equipment This paper will define TPM history, benefits, it's (TPM) strengths as a maintenance philosophy, its implementation approach, difficulties in its implementation and cost of implementing TPM. The paper also deals with the organization structure required for TPM implementation and shows that how the organization structure affects the results of TPM. The paper also discuss about the right ingredients required for successful TPM implementation. TPM is to Maintenance very much as Total Quality is to Production. The goal of the TPM program is to markedly increase production while, at the same time, increasing employee morale and job satisfaction. The results of implementing TPM program in terms of increased plant efficiency and productivity are outstanding. The paper concludes that the implementation of TPM is definitely not an easy task, which is considerably burdened by organizational, behavioural and other barriers, and necessitates the difficult mission to change peoples' mind-sets from a traditional maintenance approach.

Purpose-Identification of critical success factors (CSFs) for any continuous improvement initiati... more Purpose-Identification of critical success factors (CSFs) for any continuous improvement initiative is important as it allows the organizations to focus their efforts on these factors to ensure a success. The purpose of this paper is to present CSFs for the effective implementation of Lean Six Sigma, to analyse the implementation of Lean Six Sigma focussing on the CSFs identified in the literature. Design/Methodology/Approach-The paper uses a literature search and comparative analysis complemented with examples from previous case studies. Findings-Analysis of the key findings highlighted that the most important factors are management commitment, cultural change, linking Lean Six Sigma to business strategy and leadership styles. The results also revealed that the least important factors are linking Lean Six Sigma to HR rewards and extending it to supply chain. Practical Implications-The awareness of CSF, in combination with an awareness of similarities between the methods, can potentially guide organization in implementation of existing change efforts, and also prepare them for the next widely popular change method-when it arrives. Research Limitations-The research is primarily based on information developed from the analysis of the literature and few data from the case studies. It lacks the comprehensive analysis with respect to LSS practitioners and enough supporting data from the company's view due to time constrictions. Originality/Value-The paper presents the comparison of the aspects such as goals, approaches, structures and tools. Although there are number of papers published on CSFs of Lean and Six Sigma, it was found that there is a dearth of literature on CSFs of LSS implementation. The results showed that the most and least important factors are for the successful implementation of Lean Six Sigma, providing valuable insights for organizations which will be embarking on this journey.
Uploads
Papers by Sarath Chandran