Papers by Vincentius Rumawas

ICSOT 2010 - Developments In Ship Design And Construction, Nov 11, 2010
Research shows that more than 80% of accidents at sea were caused by human related factors. Some ... more Research shows that more than 80% of accidents at sea were caused by human related factors. Some experts implied that less adequate design is one significant element that may lead to human errors. There are several ways to discover whether a design has considered human factors, i.e., to refer to the design specification, to consult the designers, to conduct a direct observation through a site visit or through a model, to interrogate the users, or to look into the system that regulates the design. This paper applied the content analysis methodology to explore how the human factors have been covered in the design of marine systems. Various documents such as rules, design guidelines, standards and basic textbooks have been analyzed. The results indicate that there are extensive references that cover human factors in designing marine systems. They are published with different degrees of enforcement, some are prescriptive and some are obligatory. 1.
Most fatal accidents at sea were caused by small incidents that escalated into uncontrolled sever... more Most fatal accidents at sea were caused by small incidents that escalated into uncontrolled severe events. This research is trying to develop a model to calculate the probability of fatal accidents, given a critical incident has already occurred. The focus of the study is on the human factors. Hardware reliability perspective is adopted. The vessel is considered as a system to be protected by several barriers. The crew are modelled as the active barriers and distinguished into different functions: to perceive, decide and act. Markov diagram is utilized to model different situations on the vessel. A mathematical model to calculate the probability of failure on emergency is formulated. A new parameter is defined showing the survivability of a vessel, given a critical incident took place.

Addressing Human Factors in Ship Design : Shall We?
This chapter will discuss how human factors are addressed in ship design, their implementations a... more This chapter will discuss how human factors are addressed in ship design, their implementations and challenges. Research suggests that more than 80% of accidents and incidents at sea are influenced by human errors and human-related factors (Baker & Seah, 2004; International Maritime Organization, 2012; McCafferty & Baker, 2006). The contemporary view is that human error is a consequence of deeper issues with the system, combination of issues such as poor design, poor training, mental overload and fatigue (Dekker, 2005). Issues of design flaws have been reported for quite a while, and it is implied that less adequate design is one significant contributor that instigates human errors (Miller, 1999; Reason, 2000). There is an indication of a gap between existing knowledge (standards, criteria and requirements) and existing ship designs (Rumawas & Asbjornslett, 2010a, 2011a). Some lessons seemed to be too slowly learned in the maritime industry (Grundevik, Lundh, & Wagner, 2009; Lutzhof...
Offshore supply vessels design and operation
ESREL 2011, 2011

Studi Perbedaan Tingkat Pendidikan Dan Pengaruh Hardiness Terhadap Stres Kerja Serta Dampak Stres Kerja Terhadap Kinerja Karyawan Pada Sebuah Perusahaan Manufaktur DI Pasuruan
Penelitian ini bertujuan untuk melihat pengaruh tingkat pendidikan (Xl) dan hardiness (X2) terhad... more Penelitian ini bertujuan untuk melihat pengaruh tingkat pendidikan (Xl) dan hardiness (X2) terhadap stres kerja (Y), dan untuk melihat dampak stres kerja (Y) terhadap kinerja (Z). Tingkat pendidikan dalam kerangka teoritis merupakan salah satu variabel karakteristik individu (ind ivid ual differences) yangberfungsi sebagai variabel antaseden terhadap stres kerja, dan dalam penelitian ini akan dibedakan atas 3 tingkat pendidikan untuk diuji apakah stres kerja yang terjadi benar-benar berbeda. Hard iness dalam kerangka teoritis mempunyai hubungan negatif terhadap stres kerja, semakin tinggi hardiness, stres yang terjadi akan menjadi semakin keeil. Penelitian menguji hubungan ini dan mencoba mengungkap fungsi prediktifnya dengan analisa regresi. Penelitian inijuga akan membuktikan hubungan kinerja dengan stres atau arousal yang secara teoritis membentuk fungsi U-terbalik, atau polinomial terbalik. Populasi penelitian diambil dari para staf pria, berusia antara 20 -40 tahun, pengalaman ...

International Journal of Maritime Engineering, 2014
Research shows that more than 80% of accidents at sea were caused by human related factors. Some ... more Research shows that more than 80% of accidents at sea were caused by human related factors. Some experts implied that less than adequate design is one significant element that may lead to human errors. There are several ways to discover whether a design has considered human factors, i.e., to refer to the design specification, to consult the designers, to conduct a direct observation through a site visit or through a model, to interview the users, or to look into the system that regulates the design. This paper applied a content analysis methodology to explore how human factors have been covered in the design of marine systems. Various documents such as rules, regulations, design guidelines, standards and other texts have been analysed. The results indicate that there are extensive references that cover human factors in designing ships. They are published with different degrees of enforcement, some are prescriptive and some are obligatory but still optional. The topic is developing v...

Human Factors in Ship Design and Operation: A Preliminary Survey of the Theoretical Construct
International Journal of Maritime Engineering, 2021
This technical note presents an analysis of the underlying factors of human factors in ship desig... more This technical note presents an analysis of the underlying factors of human factors in ship design based on questionnaires distributed on two offshore supply vessels operating in the Norwegian Sea. The concept of human factors in ship design is still evolving. The purpose of this paper is to present a preliminary model of the human factors construct by using a factor analysis method. The results confirm the existence of controllability, workability and habitability as the principal factors of human factors in ship design. Three other factors that emerged are cargo facilities, reliability, automation and maintainability (RAM) and interfacing complexity. Bridging variables found between these factors include elements such as safety, manoeuvring, engine room and bridge design. A preliminary model of how the components or parts relate to human factors in ship design and operation is developed. The model also indicates the parties who are responsible for the various aspects of ship desi...

Human Factors on Offshore Supply Vessels in the Norwegian Sea – an Explanatory Survey
International Journal of Maritime Engineering, 2021
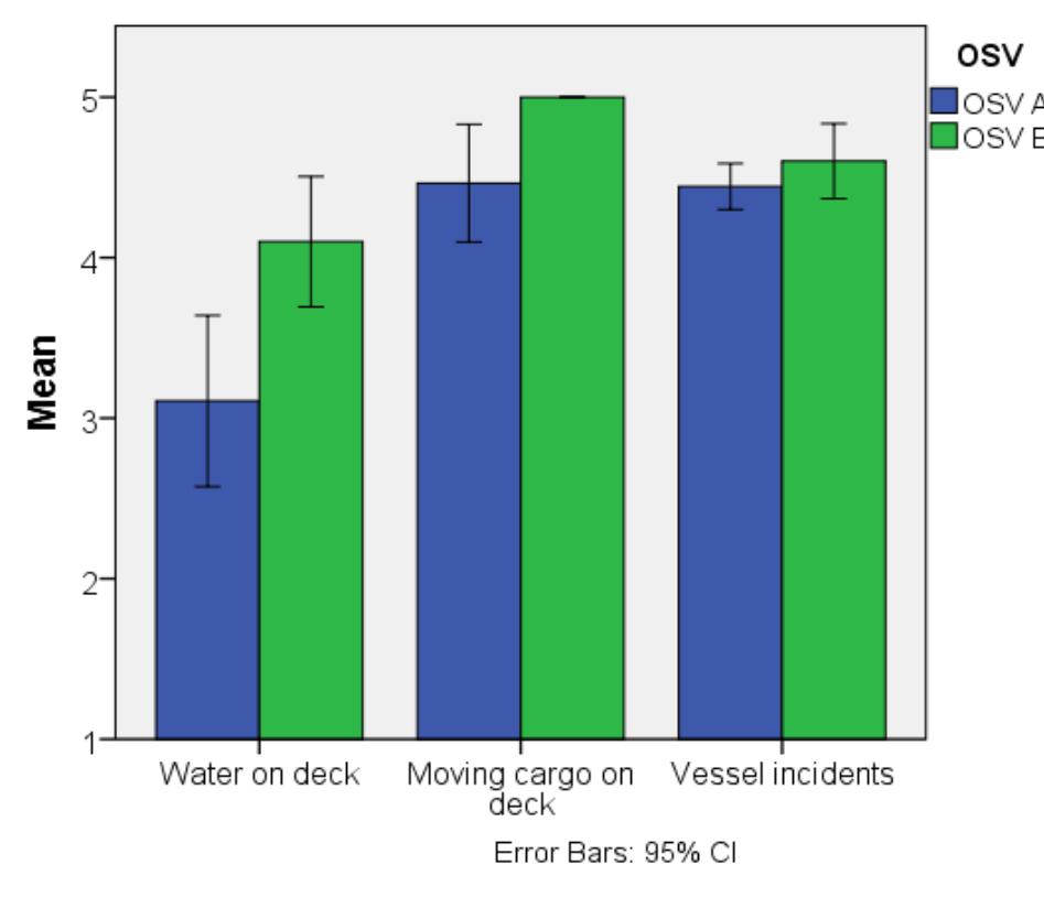
A survey of human factors on two state-of-the-art offshore supply vessels (OSVs) operating in the... more A survey of human factors on two state-of-the-art offshore supply vessels (OSVs) operating in the Norwegian Sea was performed by means of questionnaires. The purpose of the study was to examine whether human factors had been adequately addressed in ship design, how they were regarded by the crews, and whether design decisions were believed to have an effect on incidents on-board. The concept of human factors in ship design was operationalised into eight dimensions: habitability, workability, controllability, maintainability, manoeuvrability, survivability, occupational health and safety (OHS), and system safety. Inferential statistics were applied in order to draw conclusions, including means comparisons and multivariate regression analyses. The results show that human factors were given significant importance in the ship design. The level of accomplishment of human factors differs from one dimension to another. The highest satisfactory dimension was OHS and maintainability was the ...

International Journal of Maritime Engineering, 2014
Most serious accidents at sea are caused by minor incidents that escalated into an uncontrolled s... more Most serious accidents at sea are caused by minor incidents that escalated into an uncontrolled situation. This study is aiming to develop a model to investigate the likelihood of fatal accidents, given that a critical incident has already occurred. The focus of the study is on human behaviour, adopting a hardware reliability perspective. The vessel is considered as a safety-critical system to be protected by several barriers. The crew role is modelled as active barriers and distinguishing between different functions: perception, decision and action. A Markov approach is proposed to model different situations on the vessel. A mathematical model to estimate the probability of failure in an emergency situation is formulated. A new parameter is defined for the survivability of a vessel, given that a critical incident has taken place. The methods were applied to examine ship-platform collisions cases and the results show strong benefits for diagnosing and evaluating accidents from a hum...
Human Factors in Ship Design and Operation: Experiential Learning
.................................................................................................... more ................................................................................................................................................. i Preface ................................................................................................................................................... iii Acknowledgements .......................................................................................................................... v
Human Factors Evaluation in Ship Design: A Case Study on Offshore Supply Vessels in the Norwegian Sea, Part I: Theoretical Background and Technical Constructs

SUMMARY This technical note presents an analysis of the underlying factors of human factors in sh... more SUMMARY This technical note presents an analysis of the underlying factors of human factors in ship design based on questionnaires distributed on two offshore supply vessels operating in the Norwegian Sea. The concept of human factors in ship design is still evolving. The purpose of this paper is to present a preliminary model of the human factors construct by using a factor analysis method. The results confirm the existence of controllability, workability and habitability as the principal factors of human factors in ship design. Three other factors that emerged are cargo facilities, reliability, automation and maintainability (RAM) and interfacing complexity. Bridging variables found between these factors include elements such as safety, manoeuvring, engine room and bridge design. A preliminary model of how the components or parts relate to human factors in ship design and operation is developed. The model also indicates the parties who are responsible for the various aspects of ship design from a human factors perspective.

SUMMARY A survey of human factors on two state-of-the-art offshore supply vessels (OSVs) operatin... more SUMMARY A survey of human factors on two state-of-the-art offshore supply vessels (OSVs) operating in the Norwegian Sea was performed by means of questionnaires. The purpose of the study was to examine whether human factors had been adequately addressed in ship design, how they were regarded by the crews, and whether design decisions were believed to have an effect on incidents on-board. The concept of human factors in ship design was operationalised into eight dimensions: habitability, workability, controllability, maintainability, manoeuvrability, survivability, occupational health and safety (OHS), and system safety. Inferential statistics were applied in order to draw conclusions, including means comparisons and multivariate regression analyses. The results show that human factors were given significant importance in the ship design. The level of accomplishment of human factors differs from one dimension to another. The highest satisfactory dimension was OHS and maintainability was the lowest, but still considered adequate. Design is revealed to have an impact on human factor ratings. Further, OSV design and human factor ratings are identified as having effects on particular incidents on board.

SUMMARY Most serious accidents at sea are caused by minor incidents that escalated into an uncont... more SUMMARY Most serious accidents at sea are caused by minor incidents that escalated into an uncontrolled situation. This study is aiming to develop a model to investigate the likelihood of fatal accidents, given that a critical incident has already occurred. The focus of the study is on human behaviour, adopting a hardware reliability perspective. The vessel is considered as a safety-critical system to be protected by several barriers. The crew role is modelled as active barriers and distinguishing between different functions: perception, decision and action. A Markov approach is proposed to model different situations on the vessel. A mathematical model to estimate the probability of failure in an emergency situation is formulated. A new parameter is defined for the survivability of a vessel, given that a critical incident has taken place. The methods were applied to examine ship-platform collisions cases and the results show strong benefits for diagnosing and evaluating accidents from a human factors perspective as well as for training purposes.

SUMMARY Research shows that more than 80% of accidents at sea were caused by human related factor... more SUMMARY Research shows that more than 80% of accidents at sea were caused by human related factors. Some experts implied that less than adequate design is one significant element that may lead to human errors. There are several ways to discover whether a design has considered human factors, i.e., to refer to the design specification, to consult the designers, to conduct a direct observation through a site visit or through a model, to interview the users, or to look into the system that regulates the design. This paper applied a content analysis methodology to explore how human factors have been covered in the design of marine systems. Various documents such as rules, regulations, design guidelines, standards and other texts have been analysed. The results indicate that there are extensive references that cover human factors in designing ships. They are published with different degrees of enforcement, some are prescriptive and some are obligatory but still optional. The topic is developing very rapidly. A more assertive measure is required from the regulators to endorse human factors into implementation.
Uploads
Papers by Vincentius Rumawas